NHANES 2011-2014:老年人认知能力与锥度指数的关系。

IF 3.5 Q3 PSYCHIATRY
Alpha psychiatry Pub Date : 2025-08-25 eCollection Date: 2025-08-01 DOI:10.31083/AP46031
Fei Chen, Ken Chen
{"title":"NHANES 2011-2014:老年人认知能力与锥度指数的关系。","authors":"Fei Chen, Ken Chen","doi":"10.31083/AP46031","DOIUrl":null,"url":null,"abstract":"<p><strong>Background: </strong>The negative impact of obesity on cognitive function (CF) is well-established; nevertheless, no prior studies have explored the link between conicity index and cognitive performance. This research sought to investigate the link between conicity index and cognitive impairment.</p><p><strong>Methods: </strong>Data were obtained from a cross-sectional analysis of the National Health and Nutrition Examination Survey 2011-2014 (NHANES), with CF evaluated by the total scores of three cognitive tests (TCT), the delayed recall test (DRT), the immediate recall test (IRT), the animal fluency test (AFT), and the digit symbol substitution test (DSST). The conicity index was derived from waist circumference, height, and weight. Multiple linear regression, smooth curve fitting, and subgroup interaction analyses were utilized to explore the correlation between conicity index and cognitive performance.</p><p><strong>Results: </strong>The study included 2752 subjects and the results indicated that increasing conicity index was markedly associated with declining CF. In fully adjusted models, the conicity index was linked to reductions in total cognitive score (β = -16.35, 95% confidence interval (CI): -26.68 to -6.02, <i>p</i> = 0.0019) and DRT (β = -1.52, 95% CI: -2.74 to -0.30, <i>p</i> = 0.0151), IRT (β = -2.93, 95% CI: -5.37 to -0.48, <i>p</i> = 0.0190), AFT (β = -2.03, 95% CI: -4.88 to 0.82, <i>p</i> = 0.1636), and DSST (β = -9.88, 95% CI: -17.11 to -2.65, <i>p</i> = 0.0075) scores. However, the negative association between conicity index and AFT score was not statistically significant.</p><p><strong>Conclusions: </strong>Lower CF is associated with a higher conicity index. The conicity index is useful for the early detection of cognitive decline.</p>","PeriodicalId":72151,"journal":{"name":"Alpha psychiatry","volume":"26 4","pages":"46031"},"PeriodicalIF":3.5000,"publicationDate":"2025-08-25","publicationTypes":"Journal Article","fieldsOfStudy":null,"isOpenAccess":false,"openAccessPdf":"https://www.ncbi.nlm.nih.gov/pmc/articles/PMC12416052/pdf/","citationCount":"0","resultStr":"{\"title\":\"NHANES 2011-2014: Association Between Conicity Index and Cognitive Performance in Older Adults.\",\"authors\":\"Fei Chen, Ken Chen\",\"doi\":\"10.31083/AP46031\",\"DOIUrl\":null,\"url\":null,\"abstract\":\"<p><strong>Background: </strong>The negative impact of obesity on cognitive function (CF) is well-established; nevertheless, no prior studies have explored the link between conicity index and cognitive performance. This research sought to investigate the link between conicity index and cognitive impairment.</p><p><strong>Methods: </strong>Data were obtained from a cross-sectional analysis of the National Health and Nutrition Examination Survey 2011-2014 (NHANES), with CF evaluated by the total scores of three cognitive tests (TCT), the delayed recall test (DRT), the immediate recall test (IRT), the animal fluency test (AFT), and the digit symbol substitution test (DSST). The conicity index was derived from waist circumference, height, and weight. Multiple linear regression, smooth curve fitting, and subgroup interaction analyses were utilized to explore the correlation between conicity index and cognitive performance.</p><p><strong>Results: </strong>The study included 2752 subjects and the results indicated that increasing conicity index was markedly associated with declining CF. In fully adjusted models, the conicity index was linked to reductions in total cognitive score (β = -16.35, 95% confidence interval (CI): -26.68 to -6.02, <i>p</i> = 0.0019) and DRT (β = -1.52, 95% CI: -2.74 to -0.30, <i>p</i> = 0.0151), IRT (β = -2.93, 95% CI: -5.37 to -0.48, <i>p</i> = 0.0190), AFT (β = -2.03, 95% CI: -4.88 to 0.82, <i>p</i> = 0.1636), and DSST (β = -9.88, 95% CI: -17.11 to -2.65, <i>p</i> = 0.0075) scores. However, the negative association between conicity index and AFT score was not statistically significant.</p><p><strong>Conclusions: </strong>Lower CF is associated with a higher conicity index. The conicity index is useful for the early detection of cognitive decline.</p>\",\"PeriodicalId\":72151,\"journal\":{\"name\":\"Alpha psychiatry\",\"volume\":\"26 4\",\"pages\":\"46031\"},\"PeriodicalIF\":3.5000,\"publicationDate\":\"2025-08-25\",\"publicationTypes\":\"Journal Article\",\"fieldsOfStudy\":null,\"isOpenAccess\":false,\"openAccessPdf\":\"https://www.ncbi.nlm.nih.gov/pmc/articles/PMC12416052/pdf/\",\"citationCount\":\"0\",\"resultStr\":null,\"platform\":\"Semanticscholar\",\"paperid\":null,\"PeriodicalName\":\"Alpha psychiatry\",\"FirstCategoryId\":\"1085\",\"ListUrlMain\":\"https://doi.org/10.31083/AP46031\",\"RegionNum\":0,\"RegionCategory\":null,\"ArticlePicture\":[],\"TitleCN\":null,\"AbstractTextCN\":null,\"PMCID\":null,\"EPubDate\":\"2025/8/1 0:00:00\",\"PubModel\":\"eCollection\",\"JCR\":\"Q3\",\"JCRName\":\"PSYCHIATRY\",\"Score\":null,\"Total\":0}","platform":"Semanticscholar","paperid":null,"PeriodicalName":"Alpha psychiatry","FirstCategoryId":"1085","ListUrlMain":"https://doi.org/10.31083/AP46031","RegionNum":0,"RegionCategory":null,"ArticlePicture":[],"TitleCN":null,"AbstractTextCN":null,"PMCID":null,"EPubDate":"2025/8/1 0:00:00","PubModel":"eCollection","JCR":"Q3","JCRName":"PSYCHIATRY","Score":null,"Total":0}
引用次数: 0

摘要

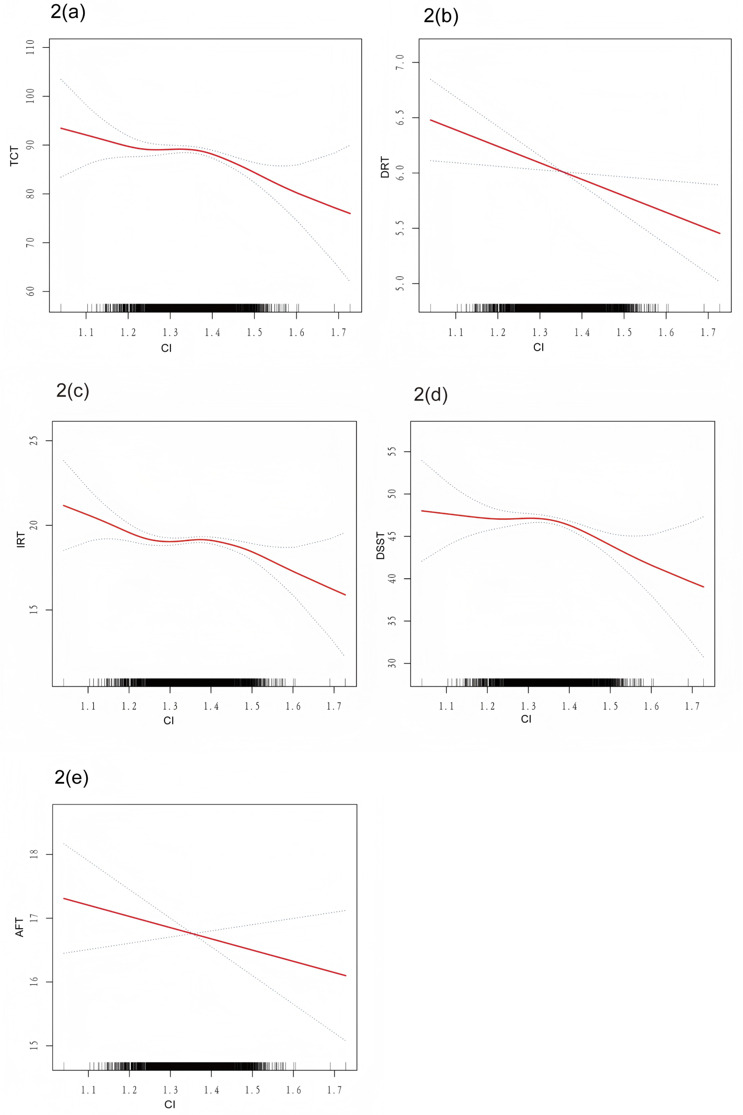
背景:肥胖对认知功能(CF)的负面影响是公认的;然而,目前还没有研究探讨圆锥度指数与认知能力之间的关系。本研究旨在探讨锥度指数与认知障碍之间的联系。方法:数据来自2011-2014年国家健康与营养检查调查(NHANES)的横断面分析,CF通过三项认知测试(TCT)、延迟回忆测试(DRT)、即时回忆测试(IRT)、动物流畅性测试(AFT)和数字符号替代测试(DSST)的总得分来评估。圆锥度指数由腰围、身高和体重得出。采用多元线性回归、光滑曲线拟合和亚组交互作用分析探讨圆锥度指数与认知表现的相关性。结果:研究包括2752例,结果表明,增加圆锥度指数与CF下降显著相关。在充分调整模型,圆锥度指数与减少认知总分(β= -16.35,95%可信区间(CI): -26.68 - -6.02, p = 0.0019), DRT(β= -1.52,95% CI: -2.74 ~ -0.30, p = 0.0151),红外热成像(β= -2.93,95% CI: -5.37 ~ -0.48, p = 0.0190),尾(β= -2.03,95% CI: -4.88 ~ 0.82, p = 0.1636),和DSST(β= -9.88,95%置信区间CI:-17.11至-2.65,p = 0.0075)。然而,锥度指数与AFT评分之间的负相关无统计学意义。结论:较低的CF与较高的锥度指数相关。圆锥度指数对认知能力下降的早期检测是有用的。
本文章由计算机程序翻译,如有差异,请以英文原文为准。

NHANES 2011-2014: Association Between Conicity Index and Cognitive Performance in Older Adults.

NHANES 2011-2014: Association Between Conicity Index and Cognitive Performance in Older Adults.

NHANES 2011-2014: Association Between Conicity Index and Cognitive Performance in Older Adults.

Background: The negative impact of obesity on cognitive function (CF) is well-established; nevertheless, no prior studies have explored the link between conicity index and cognitive performance. This research sought to investigate the link between conicity index and cognitive impairment.

Methods: Data were obtained from a cross-sectional analysis of the National Health and Nutrition Examination Survey 2011-2014 (NHANES), with CF evaluated by the total scores of three cognitive tests (TCT), the delayed recall test (DRT), the immediate recall test (IRT), the animal fluency test (AFT), and the digit symbol substitution test (DSST). The conicity index was derived from waist circumference, height, and weight. Multiple linear regression, smooth curve fitting, and subgroup interaction analyses were utilized to explore the correlation between conicity index and cognitive performance.

Results: The study included 2752 subjects and the results indicated that increasing conicity index was markedly associated with declining CF. In fully adjusted models, the conicity index was linked to reductions in total cognitive score (β = -16.35, 95% confidence interval (CI): -26.68 to -6.02, p = 0.0019) and DRT (β = -1.52, 95% CI: -2.74 to -0.30, p = 0.0151), IRT (β = -2.93, 95% CI: -5.37 to -0.48, p = 0.0190), AFT (β = -2.03, 95% CI: -4.88 to 0.82, p = 0.1636), and DSST (β = -9.88, 95% CI: -17.11 to -2.65, p = 0.0075) scores. However, the negative association between conicity index and AFT score was not statistically significant.

Conclusions: Lower CF is associated with a higher conicity index. The conicity index is useful for the early detection of cognitive decline.

求助全文
通过发布文献求助,成功后即可免费获取论文全文。 去求助
来源期刊
自引率
0.00%
发文量
0
×
引用
GB/T 7714-2015
复制
MLA
复制
APA
复制
导出至
BibTeX EndNote RefMan NoteFirst NoteExpress
×
提示
您的信息不完整,为了账户安全,请先补充。
现在去补充
×
提示
您因"违规操作"
具体请查看互助需知
我知道了
×
提示
确定
请完成安全验证×
copy
已复制链接
快去分享给好友吧!
我知道了
右上角分享
点击右上角分享
0
联系我们:info@booksci.cn Book学术提供免费学术资源搜索服务,方便国内外学者检索中英文文献。致力于提供最便捷和优质的服务体验。 Copyright © 2023 布克学术 All rights reserved.
京ICP备2023020795号-1
ghs 京公网安备 11010802042870号
Book学术文献互助
Book学术文献互助群
群 号:604180095
Book学术官方微信