临床前痴呆评分与血浆磷酸化tau-217相关。

IF 4.4 Q1 CLINICAL NEUROLOGY
Qi Huang, Erin M Jonaitis, Rachel L Studer, Rachael Wilson, Ramiro Eduardo Rea Reyes, Henrik Zetterberg, Lianlian Du, Bruce P Hermann, Sterling C Johnson, Rebecca E Langhough
{"title":"临床前痴呆评分与血浆磷酸化tau-217相关。","authors":"Qi Huang, Erin M Jonaitis, Rachel L Studer, Rachael Wilson, Ramiro Eduardo Rea Reyes, Henrik Zetterberg, Lianlian Du, Bruce P Hermann, Sterling C Johnson, Rebecca E Langhough","doi":"10.1002/dad2.70179","DOIUrl":null,"url":null,"abstract":"<p><strong>Introduction: </strong>Simple screening tools are critical for assessing Alzheimer's disease (AD)-related pre-dementia changes. This study investigated longitudinal scores from the Quick Dementia Rating System (QDRS), a brief study partner-reported measure, in relation to baseline levels of the AD biomarker plasma pTau217 in individuals unimpaired at baseline.</p><p><strong>Methods: </strong>Data from the Wisconsin Registry for Alzheimer's Prevention (N = 639) were used to examine whether baseline plasma pTau217 (ALZpath assay on Quanterix platform) modified QDRS or Preclinical Alzheimer's Cognitive Composite (PACC3) trajectories (mixed-effects models; time = age). pTau217*age interaction effects (e.g., high vs low pTau217 simple age slopes) were compared across outcomes.</p><p><strong>Results: </strong>Higher baseline pTau217 levels were associated with faster functional (QDRS) and cognitive (PACC3) decline. Effect sizes were similar between PACC3 and QDRS. Exploratory analyses showed increased risk of transitioning to impaired QDRS classifications in those with high-baseline pTau217.</p><p><strong>Discussion: </strong>This study demonstrates the utility of QDRS for tracking pre-dementia AD-related decline.</p>","PeriodicalId":53226,"journal":{"name":"Alzheimer''s and Dementia: Diagnosis, Assessment and Disease Monitoring","volume":"17 3","pages":"e70179"},"PeriodicalIF":4.4000,"publicationDate":"2025-09-07","publicationTypes":"Journal Article","fieldsOfStudy":null,"isOpenAccess":false,"openAccessPdf":"https://www.ncbi.nlm.nih.gov/pmc/articles/PMC12414725/pdf/","citationCount":"0","resultStr":"{\"title\":\"Preclinical dementia rating scores are associated with plasma phosphorylated tau-217.\",\"authors\":\"Qi Huang, Erin M Jonaitis, Rachel L Studer, Rachael Wilson, Ramiro Eduardo Rea Reyes, Henrik Zetterberg, Lianlian Du, Bruce P Hermann, Sterling C Johnson, Rebecca E Langhough\",\"doi\":\"10.1002/dad2.70179\",\"DOIUrl\":null,\"url\":null,\"abstract\":\"<p><strong>Introduction: </strong>Simple screening tools are critical for assessing Alzheimer's disease (AD)-related pre-dementia changes. This study investigated longitudinal scores from the Quick Dementia Rating System (QDRS), a brief study partner-reported measure, in relation to baseline levels of the AD biomarker plasma pTau217 in individuals unimpaired at baseline.</p><p><strong>Methods: </strong>Data from the Wisconsin Registry for Alzheimer's Prevention (N = 639) were used to examine whether baseline plasma pTau217 (ALZpath assay on Quanterix platform) modified QDRS or Preclinical Alzheimer's Cognitive Composite (PACC3) trajectories (mixed-effects models; time = age). pTau217*age interaction effects (e.g., high vs low pTau217 simple age slopes) were compared across outcomes.</p><p><strong>Results: </strong>Higher baseline pTau217 levels were associated with faster functional (QDRS) and cognitive (PACC3) decline. Effect sizes were similar between PACC3 and QDRS. Exploratory analyses showed increased risk of transitioning to impaired QDRS classifications in those with high-baseline pTau217.</p><p><strong>Discussion: </strong>This study demonstrates the utility of QDRS for tracking pre-dementia AD-related decline.</p>\",\"PeriodicalId\":53226,\"journal\":{\"name\":\"Alzheimer''s and Dementia: Diagnosis, Assessment and Disease Monitoring\",\"volume\":\"17 3\",\"pages\":\"e70179\"},\"PeriodicalIF\":4.4000,\"publicationDate\":\"2025-09-07\",\"publicationTypes\":\"Journal Article\",\"fieldsOfStudy\":null,\"isOpenAccess\":false,\"openAccessPdf\":\"https://www.ncbi.nlm.nih.gov/pmc/articles/PMC12414725/pdf/\",\"citationCount\":\"0\",\"resultStr\":null,\"platform\":\"Semanticscholar\",\"paperid\":null,\"PeriodicalName\":\"Alzheimer''s and Dementia: Diagnosis, Assessment and Disease Monitoring\",\"FirstCategoryId\":\"1085\",\"ListUrlMain\":\"https://doi.org/10.1002/dad2.70179\",\"RegionNum\":0,\"RegionCategory\":null,\"ArticlePicture\":[],\"TitleCN\":null,\"AbstractTextCN\":null,\"PMCID\":null,\"EPubDate\":\"2025/7/1 0:00:00\",\"PubModel\":\"eCollection\",\"JCR\":\"Q1\",\"JCRName\":\"CLINICAL NEUROLOGY\",\"Score\":null,\"Total\":0}","platform":"Semanticscholar","paperid":null,"PeriodicalName":"Alzheimer''s and Dementia: Diagnosis, Assessment and Disease Monitoring","FirstCategoryId":"1085","ListUrlMain":"https://doi.org/10.1002/dad2.70179","RegionNum":0,"RegionCategory":null,"ArticlePicture":[],"TitleCN":null,"AbstractTextCN":null,"PMCID":null,"EPubDate":"2025/7/1 0:00:00","PubModel":"eCollection","JCR":"Q1","JCRName":"CLINICAL NEUROLOGY","Score":null,"Total":0}
引用次数: 0

摘要

简单的筛查工具对于评估阿尔茨海默病(AD)相关的痴呆前期变化至关重要。这项研究调查了快速痴呆评分系统(QDRS)的纵向评分,这是一项简短的研究伙伴报告的测量,与基线时未受损个体的AD生物标志物血浆pta217的基线水平有关。方法:使用来自威斯康星州阿尔茨海默病预防登记处(N = 639)的数据来检查基线血浆pTau217 (Quanterix平台上的ALZpath检测)是否修改了QDRS或临床前阿尔茨海默病认知复合(PACC3)轨迹(混合效应模型,时间=年龄)。比较不同结果的pTau217*年龄相互作用效应(例如,pTau217简单年龄斜率高与低)。结果:较高的基线pTau217水平与更快的功能(QDRS)和认知(PACC3)下降相关。PACC3和QDRS的效应量相似。探索性分析显示,高基线pTau217患者转变为受损QDRS分类的风险增加。讨论:本研究证明了QDRS在追踪痴呆前期ad相关衰退方面的效用。
本文章由计算机程序翻译,如有差异,请以英文原文为准。

Preclinical dementia rating scores are associated with plasma phosphorylated tau-217.

Preclinical dementia rating scores are associated with plasma phosphorylated tau-217.

Preclinical dementia rating scores are associated with plasma phosphorylated tau-217.

Introduction: Simple screening tools are critical for assessing Alzheimer's disease (AD)-related pre-dementia changes. This study investigated longitudinal scores from the Quick Dementia Rating System (QDRS), a brief study partner-reported measure, in relation to baseline levels of the AD biomarker plasma pTau217 in individuals unimpaired at baseline.

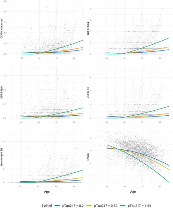
Methods: Data from the Wisconsin Registry for Alzheimer's Prevention (N = 639) were used to examine whether baseline plasma pTau217 (ALZpath assay on Quanterix platform) modified QDRS or Preclinical Alzheimer's Cognitive Composite (PACC3) trajectories (mixed-effects models; time = age). pTau217*age interaction effects (e.g., high vs low pTau217 simple age slopes) were compared across outcomes.

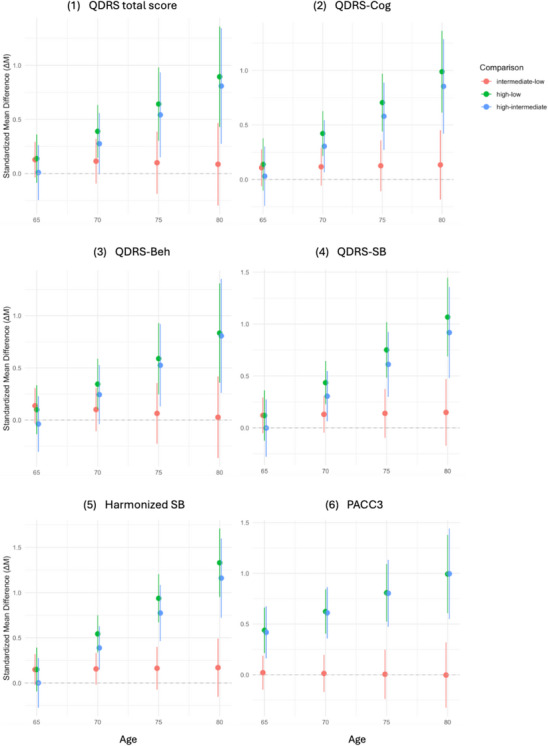
Results: Higher baseline pTau217 levels were associated with faster functional (QDRS) and cognitive (PACC3) decline. Effect sizes were similar between PACC3 and QDRS. Exploratory analyses showed increased risk of transitioning to impaired QDRS classifications in those with high-baseline pTau217.

Discussion: This study demonstrates the utility of QDRS for tracking pre-dementia AD-related decline.

求助全文
通过发布文献求助,成功后即可免费获取论文全文。 去求助
来源期刊
CiteScore
7.80
自引率
7.50%
发文量
101
审稿时长
8 weeks
期刊介绍: Alzheimer''s & Dementia: Diagnosis, Assessment & Disease Monitoring (DADM) is an open access, peer-reviewed, journal from the Alzheimer''s Association® that will publish new research that reports the discovery, development and validation of instruments, technologies, algorithms, and innovative processes. Papers will cover a range of topics interested in the early and accurate detection of individuals with memory complaints and/or among asymptomatic individuals at elevated risk for various forms of memory disorders. The expectation for published papers will be to translate fundamental knowledge about the neurobiology of the disease into practical reports that describe both the conceptual and methodological aspects of the submitted scientific inquiry. Published topics will explore the development of biomarkers, surrogate markers, and conceptual/methodological challenges. Publication priority will be given to papers that 1) describe putative surrogate markers that accurately track disease progression, 2) biomarkers that fulfill international regulatory requirements, 3) reports from large, well-characterized population-based cohorts that comprise the heterogeneity and diversity of asymptomatic individuals and 4) algorithmic development that considers multi-marker arrays (e.g., integrated-omics, genetics, biofluids, imaging, etc.) and advanced computational analytics and technologies.
×
引用
GB/T 7714-2015
复制
MLA
复制
APA
复制
导出至
BibTeX EndNote RefMan NoteFirst NoteExpress
×
提示
您的信息不完整,为了账户安全,请先补充。
现在去补充
×
提示
您因"违规操作"
具体请查看互助需知
我知道了
×
提示
确定
请完成安全验证×
copy
已复制链接
快去分享给好友吧!
我知道了
右上角分享
点击右上角分享
0
联系我们:info@booksci.cn Book学术提供免费学术资源搜索服务,方便国内外学者检索中英文文献。致力于提供最便捷和优质的服务体验。 Copyright © 2023 布克学术 All rights reserved.
京ICP备2023020795号-1
ghs 京公网安备 11010802042870号
Book学术文献互助
Book学术文献互助群
群 号:604180095
Book学术官方微信