身体肌肉量与脂肪量:NAFLD和肝纤维化的性别特异性关联。

IF 3.9 2区 医学 Q2 BIOCHEMISTRY & MOLECULAR BIOLOGY
Konstantinos Volaklis, Dennis Freuer, Christa Meisinger, Jakob Linseisen
{"title":"身体肌肉量与脂肪量:NAFLD和肝纤维化的性别特异性关联。","authors":"Konstantinos Volaklis, Dennis Freuer, Christa Meisinger, Jakob Linseisen","doi":"10.1186/s12944-025-02694-4","DOIUrl":null,"url":null,"abstract":"<p><strong>Background: </strong>This study aimed to investigate the gender-specific associations of skeletal muscle mass and fat mass with non-alcoholic fatty liver disease (NAFLD) and NAFLD-related liver fibrosis in two population-based studies.</p><p><strong>Methods: </strong>Analyses were based on data from the MEGA (n = 238) and the MEIA study (n = 594) conducted between 2018 and 2023 in Augsburg, Germany. Bioelectrical impedance analysis was used to evaluate relative skeletal muscle mass (rSM) and SM index (SMI) as well as relative fat mass (rFM) and FM index (FMI); furthermore, the fat-to-muscle ratio was built. The fatty liver index (FLI) was calculated to identify NAFLD. To estimate the degree of liver fibrosis, liver stiffness was assessed in the MEGA study using ultrasound elastography. Multivariable gamma regression models with log-link were used to analyze the respective associations.</p><p><strong>Results: </strong>After adjusting for confounders, FMI and rFM (p < 0.001) as well as SMI (p < 0.001) were significantly positive associated with FLI. The associations were non-linear, and effect modification by gender (p<sub>gender-interaction</sub> < 0.001) existed in all models except for SMI, while age modified the rSM and SMI results. The effect estimates for FMI and rFMI were higher in men than in women but approached each other at the high FMI range. Increasing rSM was inversely associated with FMI. The fat-to-muscle ratio was positively associated with FLI in men and women. However, no associations were found between the exposure variables and liver fibrosis.</p><p><strong>Conclusions: </strong>This population-based study demonstrated gender-specific positive associations between fat mass parameters and FLI, and an inverse association with rSM. Furthermore, for rSM effect modification by age was observed. Neither in men nor in women associations between body composition and liver fibrosis could be identified.</p>","PeriodicalId":18073,"journal":{"name":"Lipids in Health and Disease","volume":"24 1","pages":"278"},"PeriodicalIF":3.9000,"publicationDate":"2025-09-09","publicationTypes":"Journal Article","fieldsOfStudy":null,"isOpenAccess":false,"openAccessPdf":"https://www.ncbi.nlm.nih.gov/pmc/articles/PMC12418690/pdf/","citationCount":"0","resultStr":"{\"title\":\"Body muscle mass versus fat mass: gender-specific associations with NAFLD and liver fibrosis.\",\"authors\":\"Konstantinos Volaklis, Dennis Freuer, Christa Meisinger, Jakob Linseisen\",\"doi\":\"10.1186/s12944-025-02694-4\",\"DOIUrl\":null,\"url\":null,\"abstract\":\"<p><strong>Background: </strong>This study aimed to investigate the gender-specific associations of skeletal muscle mass and fat mass with non-alcoholic fatty liver disease (NAFLD) and NAFLD-related liver fibrosis in two population-based studies.</p><p><strong>Methods: </strong>Analyses were based on data from the MEGA (n = 238) and the MEIA study (n = 594) conducted between 2018 and 2023 in Augsburg, Germany. Bioelectrical impedance analysis was used to evaluate relative skeletal muscle mass (rSM) and SM index (SMI) as well as relative fat mass (rFM) and FM index (FMI); furthermore, the fat-to-muscle ratio was built. The fatty liver index (FLI) was calculated to identify NAFLD. To estimate the degree of liver fibrosis, liver stiffness was assessed in the MEGA study using ultrasound elastography. Multivariable gamma regression models with log-link were used to analyze the respective associations.</p><p><strong>Results: </strong>After adjusting for confounders, FMI and rFM (p < 0.001) as well as SMI (p < 0.001) were significantly positive associated with FLI. The associations were non-linear, and effect modification by gender (p<sub>gender-interaction</sub> < 0.001) existed in all models except for SMI, while age modified the rSM and SMI results. The effect estimates for FMI and rFMI were higher in men than in women but approached each other at the high FMI range. Increasing rSM was inversely associated with FMI. The fat-to-muscle ratio was positively associated with FLI in men and women. However, no associations were found between the exposure variables and liver fibrosis.</p><p><strong>Conclusions: </strong>This population-based study demonstrated gender-specific positive associations between fat mass parameters and FLI, and an inverse association with rSM. Furthermore, for rSM effect modification by age was observed. Neither in men nor in women associations between body composition and liver fibrosis could be identified.</p>\",\"PeriodicalId\":18073,\"journal\":{\"name\":\"Lipids in Health and Disease\",\"volume\":\"24 1\",\"pages\":\"278\"},\"PeriodicalIF\":3.9000,\"publicationDate\":\"2025-09-09\",\"publicationTypes\":\"Journal Article\",\"fieldsOfStudy\":null,\"isOpenAccess\":false,\"openAccessPdf\":\"https://www.ncbi.nlm.nih.gov/pmc/articles/PMC12418690/pdf/\",\"citationCount\":\"0\",\"resultStr\":null,\"platform\":\"Semanticscholar\",\"paperid\":null,\"PeriodicalName\":\"Lipids in Health and Disease\",\"FirstCategoryId\":\"3\",\"ListUrlMain\":\"https://doi.org/10.1186/s12944-025-02694-4\",\"RegionNum\":2,\"RegionCategory\":\"医学\",\"ArticlePicture\":[],\"TitleCN\":null,\"AbstractTextCN\":null,\"PMCID\":null,\"EPubDate\":\"\",\"PubModel\":\"\",\"JCR\":\"Q2\",\"JCRName\":\"BIOCHEMISTRY & MOLECULAR BIOLOGY\",\"Score\":null,\"Total\":0}","platform":"Semanticscholar","paperid":null,"PeriodicalName":"Lipids in Health and Disease","FirstCategoryId":"3","ListUrlMain":"https://doi.org/10.1186/s12944-025-02694-4","RegionNum":2,"RegionCategory":"医学","ArticlePicture":[],"TitleCN":null,"AbstractTextCN":null,"PMCID":null,"EPubDate":"","PubModel":"","JCR":"Q2","JCRName":"BIOCHEMISTRY & MOLECULAR BIOLOGY","Score":null,"Total":0}
引用次数: 0

摘要

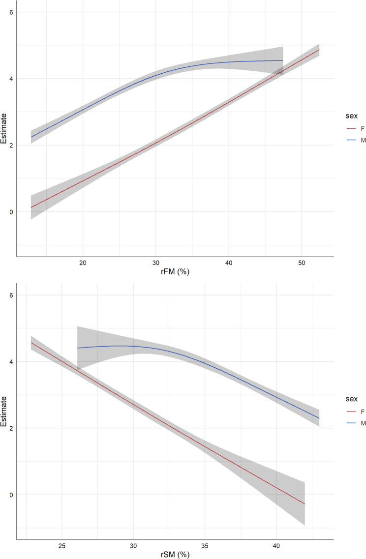
背景:本研究旨在调查两项基于人群的研究中骨骼肌量和脂肪量与非酒精性脂肪性肝病(NAFLD)和NAFLD相关肝纤维化的性别特异性关联。方法:分析基于2018年至2023年在德国奥格斯堡进行的MEGA (n = 238)和MEIA研究(n = 594)的数据。采用生物电阻抗分析法评价相对骨骼肌质量(rSM)和相对骨骼肌质量指数(SMI)以及相对脂肪质量(rFM)和相对脂肪质量指数(FMI);此外,还建立了脂肪与肌肉的比例。计算脂肪肝指数(FLI)来识别NAFLD。为了估计肝纤维化的程度,在MEGA研究中使用超声弹性成像评估肝脏硬度。采用log-link多变量伽玛回归模型分析各自的关联。结果:调整混杂因素后,除SMI外,所有模型均存在FMI和rFM (p性别交互作用< 0.001),而年龄修改了rSM和SMI结果。男性对FMI和rFMI的影响估计高于女性,但在高FMI范围内彼此接近。rSM的增加与FMI呈负相关。在男性和女性中,脂肪与肌肉的比例与FLI呈正相关。然而,没有发现暴露变量与肝纤维化之间的关联。结论:这项基于人群的研究表明,脂肪质量参数与FLI之间存在性别特异性正相关,与rSM呈负相关。此外,观察到年龄对rSM效应的影响。无论是男性还是女性,身体成分与肝纤维化之间的关系都无法确定。
本文章由计算机程序翻译,如有差异,请以英文原文为准。

Body muscle mass versus fat mass: gender-specific associations with NAFLD and liver fibrosis.

Body muscle mass versus fat mass: gender-specific associations with NAFLD and liver fibrosis.

Body muscle mass versus fat mass: gender-specific associations with NAFLD and liver fibrosis.

Body muscle mass versus fat mass: gender-specific associations with NAFLD and liver fibrosis.

Background: This study aimed to investigate the gender-specific associations of skeletal muscle mass and fat mass with non-alcoholic fatty liver disease (NAFLD) and NAFLD-related liver fibrosis in two population-based studies.

Methods: Analyses were based on data from the MEGA (n = 238) and the MEIA study (n = 594) conducted between 2018 and 2023 in Augsburg, Germany. Bioelectrical impedance analysis was used to evaluate relative skeletal muscle mass (rSM) and SM index (SMI) as well as relative fat mass (rFM) and FM index (FMI); furthermore, the fat-to-muscle ratio was built. The fatty liver index (FLI) was calculated to identify NAFLD. To estimate the degree of liver fibrosis, liver stiffness was assessed in the MEGA study using ultrasound elastography. Multivariable gamma regression models with log-link were used to analyze the respective associations.

Results: After adjusting for confounders, FMI and rFM (p < 0.001) as well as SMI (p < 0.001) were significantly positive associated with FLI. The associations were non-linear, and effect modification by gender (pgender-interaction < 0.001) existed in all models except for SMI, while age modified the rSM and SMI results. The effect estimates for FMI and rFMI were higher in men than in women but approached each other at the high FMI range. Increasing rSM was inversely associated with FMI. The fat-to-muscle ratio was positively associated with FLI in men and women. However, no associations were found between the exposure variables and liver fibrosis.

Conclusions: This population-based study demonstrated gender-specific positive associations between fat mass parameters and FLI, and an inverse association with rSM. Furthermore, for rSM effect modification by age was observed. Neither in men nor in women associations between body composition and liver fibrosis could be identified.

求助全文
通过发布文献求助,成功后即可免费获取论文全文。 去求助
来源期刊
Lipids in Health and Disease
Lipids in Health and Disease 生物-生化与分子生物学
CiteScore
7.70
自引率
2.20%
发文量
122
审稿时长
3-8 weeks
期刊介绍: Lipids in Health and Disease is an open access, peer-reviewed, journal that publishes articles on all aspects of lipids: their biochemistry, pharmacology, toxicology, role in health and disease, and the synthesis of new lipid compounds. Lipids in Health and Disease is aimed at all scientists, health professionals and physicians interested in the area of lipids. Lipids are defined here in their broadest sense, to include: cholesterol, essential fatty acids, saturated fatty acids, phospholipids, inositol lipids, second messenger lipids, enzymes and synthetic machinery that is involved in the metabolism of various lipids in the cells and tissues, and also various aspects of lipid transport, etc. In addition, the journal also publishes research that investigates and defines the role of lipids in various physiological processes, pathology and disease. In particular, the journal aims to bridge the gap between the bench and the clinic by publishing articles that are particularly relevant to human diseases and the role of lipids in the management of various diseases.
×
引用
GB/T 7714-2015
复制
MLA
复制
APA
复制
导出至
BibTeX EndNote RefMan NoteFirst NoteExpress
×
提示
您的信息不完整,为了账户安全,请先补充。
现在去补充
×
提示
您因"违规操作"
具体请查看互助需知
我知道了
×
提示
确定
请完成安全验证×
copy
已复制链接
快去分享给好友吧!
我知道了
右上角分享
点击右上角分享
0
联系我们:info@booksci.cn Book学术提供免费学术资源搜索服务,方便国内外学者检索中英文文献。致力于提供最便捷和优质的服务体验。 Copyright © 2023 布克学术 All rights reserved.
京ICP备2023020795号-1
ghs 京公网安备 11010802042870号
Book学术文献互助
Book学术文献互助群
群 号:604180095
Book学术官方微信