特发性常压脑积水的盲法步态评估:与临床和患者报告结果的可靠性和相关性。

IF 6.2 1区 医学 Q1 NEUROSCIENCES
Maria Ekblom, Dag Nyholm, Lena Zetterberg, Katarina Laurell, Johan Virhammar
{"title":"特发性常压脑积水的盲法步态评估:与临床和患者报告结果的可靠性和相关性。","authors":"Maria Ekblom, Dag Nyholm, Lena Zetterberg, Katarina Laurell, Johan Virhammar","doi":"10.1186/s12987-025-00704-2","DOIUrl":null,"url":null,"abstract":"<p><strong>Background: </strong>Idiopathic normal pressure hydrocephalus (iNPH) predominantly manifests with gait disturbances, yet clinical assessments are vulnerable to confirmation bias, particularly post-shunt surgery. Blinded video evaluations are a method to enhance objectivity in gait assessment, but their reliability has never been systematically investigated. The aim was to evaluate the inter-rater reliability of blinded gait assessments in iNPH patients and to investigate how these assessments correlate with the Hellström iNPH scale and patient-reported health status following shunt surgery.</p><p><strong>Methods: </strong>Thirty-nine patients (mean age 75.5 years) diagnosed with iNPH between 2019 and 2023 were recorded performing Timed Up and Go (TUG) test before and after shunt surgery. Patients who required a walking aid were excluded. Four specialized raters, blinded to timepoint, evaluated gait pattern and graded improvement. Inter-rater agreement was quantified by Krippendorff's α; Spearman's ρ assessed correlations between graded improvement, Hellström iNPH scale changes, and EuroQol 5-Dimension 5-Level Visual Analogue Scale (EQ-VAS) differences.</p><p><strong>Results: </strong>Agreement on video graded improvements was strong (α = 0.80, 95% CI: 0.76-0.84), whereas agreement on specific gait patterns was moderate (α = 0.53, 95% CI: 0.43-0.62). Graded improvement scores correlated moderately with changes in the Hellström iNPH scale (ρ = 0.67, p < 0.01) and showed fair correlation with EQ-VAS (ρ = 0.37, p < 0.01).</p><p><strong>Conclusions: </strong>Blinded video assessments reliably captured postoperative gait improvements in iNPH and showed strong inter-rater agreement. While specific gait pattern ratings were less consistent, combining structured video scoring with clinical scales can improve outcome evaluation. More refined tools are needed to better detect subtle changes in gait and to reflect patient-perceived recovery.</p>","PeriodicalId":12321,"journal":{"name":"Fluids and Barriers of the CNS","volume":"22 1","pages":"91"},"PeriodicalIF":6.2000,"publicationDate":"2025-09-08","publicationTypes":"Journal Article","fieldsOfStudy":null,"isOpenAccess":false,"openAccessPdf":"https://www.ncbi.nlm.nih.gov/pmc/articles/PMC12418656/pdf/","citationCount":"0","resultStr":"{\"title\":\"Blinded gait assessment in idiopathic normal pressure hydrocephalus: reliability and correlation with clinical and patient-reported outcomes.\",\"authors\":\"Maria Ekblom, Dag Nyholm, Lena Zetterberg, Katarina Laurell, Johan Virhammar\",\"doi\":\"10.1186/s12987-025-00704-2\",\"DOIUrl\":null,\"url\":null,\"abstract\":\"<p><strong>Background: </strong>Idiopathic normal pressure hydrocephalus (iNPH) predominantly manifests with gait disturbances, yet clinical assessments are vulnerable to confirmation bias, particularly post-shunt surgery. Blinded video evaluations are a method to enhance objectivity in gait assessment, but their reliability has never been systematically investigated. The aim was to evaluate the inter-rater reliability of blinded gait assessments in iNPH patients and to investigate how these assessments correlate with the Hellström iNPH scale and patient-reported health status following shunt surgery.</p><p><strong>Methods: </strong>Thirty-nine patients (mean age 75.5 years) diagnosed with iNPH between 2019 and 2023 were recorded performing Timed Up and Go (TUG) test before and after shunt surgery. Patients who required a walking aid were excluded. Four specialized raters, blinded to timepoint, evaluated gait pattern and graded improvement. Inter-rater agreement was quantified by Krippendorff's α; Spearman's ρ assessed correlations between graded improvement, Hellström iNPH scale changes, and EuroQol 5-Dimension 5-Level Visual Analogue Scale (EQ-VAS) differences.</p><p><strong>Results: </strong>Agreement on video graded improvements was strong (α = 0.80, 95% CI: 0.76-0.84), whereas agreement on specific gait patterns was moderate (α = 0.53, 95% CI: 0.43-0.62). Graded improvement scores correlated moderately with changes in the Hellström iNPH scale (ρ = 0.67, p < 0.01) and showed fair correlation with EQ-VAS (ρ = 0.37, p < 0.01).</p><p><strong>Conclusions: </strong>Blinded video assessments reliably captured postoperative gait improvements in iNPH and showed strong inter-rater agreement. While specific gait pattern ratings were less consistent, combining structured video scoring with clinical scales can improve outcome evaluation. More refined tools are needed to better detect subtle changes in gait and to reflect patient-perceived recovery.</p>\",\"PeriodicalId\":12321,\"journal\":{\"name\":\"Fluids and Barriers of the CNS\",\"volume\":\"22 1\",\"pages\":\"91\"},\"PeriodicalIF\":6.2000,\"publicationDate\":\"2025-09-08\",\"publicationTypes\":\"Journal Article\",\"fieldsOfStudy\":null,\"isOpenAccess\":false,\"openAccessPdf\":\"https://www.ncbi.nlm.nih.gov/pmc/articles/PMC12418656/pdf/\",\"citationCount\":\"0\",\"resultStr\":null,\"platform\":\"Semanticscholar\",\"paperid\":null,\"PeriodicalName\":\"Fluids and Barriers of the CNS\",\"FirstCategoryId\":\"3\",\"ListUrlMain\":\"https://doi.org/10.1186/s12987-025-00704-2\",\"RegionNum\":1,\"RegionCategory\":\"医学\",\"ArticlePicture\":[],\"TitleCN\":null,\"AbstractTextCN\":null,\"PMCID\":null,\"EPubDate\":\"\",\"PubModel\":\"\",\"JCR\":\"Q1\",\"JCRName\":\"NEUROSCIENCES\",\"Score\":null,\"Total\":0}","platform":"Semanticscholar","paperid":null,"PeriodicalName":"Fluids and Barriers of the CNS","FirstCategoryId":"3","ListUrlMain":"https://doi.org/10.1186/s12987-025-00704-2","RegionNum":1,"RegionCategory":"医学","ArticlePicture":[],"TitleCN":null,"AbstractTextCN":null,"PMCID":null,"EPubDate":"","PubModel":"","JCR":"Q1","JCRName":"NEUROSCIENCES","Score":null,"Total":0}
引用次数: 0

摘要

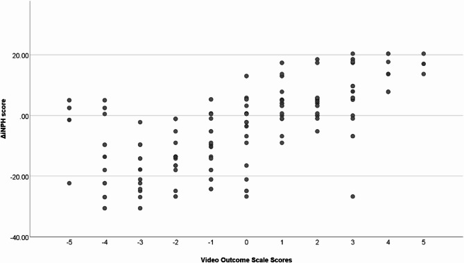
背景:特发性常压脑积水(iNPH)主要表现为步态障碍,但临床评估容易受到确认偏差的影响,特别是分流手术后。盲法视频评估是提高步态评估客观性的一种方法,但其可靠性从未被系统地研究过。目的是评估iNPH患者的盲法步态评估的评分间可靠性,并研究这些评估与Hellström iNPH量表和分流手术后患者报告的健康状况之间的关系。方法:记录2019年至2023年间确诊为iNPH的39例患者(平均年龄75.5岁)在分流手术前后进行了Timed Up and Go (TUG)测试。需要助行器的患者被排除在外。四名专门的评分者,不知道时间点,评估步态模式和分级改善。评价间一致性用Krippendorff α量化;Spearman’s ρ评估了分级改善、Hellström iNPH量表变化和EuroQol 5维5级视觉模拟量表(EQ-VAS)差异之间的相关性。结果:视频分级改善的一致性很强(α = 0.80, 95% CI: 0.76-0.84),而特定步态模式的一致性中等(α = 0.53, 95% CI: 0.43-0.62)。分级改善评分与Hellström iNPH量表的变化适度相关(ρ = 0.67, p)。结论:盲法视频评估可靠地捕捉到iNPH术后步态改善,并显示出很强的评分间一致性。虽然特定的步态模式评分不太一致,但将结构化视频评分与临床量表相结合可以改善结果评估。需要更精细的工具来更好地检测步态的细微变化,并反映患者感知的恢复。
本文章由计算机程序翻译,如有差异,请以英文原文为准。

Blinded gait assessment in idiopathic normal pressure hydrocephalus: reliability and correlation with clinical and patient-reported outcomes.

Blinded gait assessment in idiopathic normal pressure hydrocephalus: reliability and correlation with clinical and patient-reported outcomes.

Background: Idiopathic normal pressure hydrocephalus (iNPH) predominantly manifests with gait disturbances, yet clinical assessments are vulnerable to confirmation bias, particularly post-shunt surgery. Blinded video evaluations are a method to enhance objectivity in gait assessment, but their reliability has never been systematically investigated. The aim was to evaluate the inter-rater reliability of blinded gait assessments in iNPH patients and to investigate how these assessments correlate with the Hellström iNPH scale and patient-reported health status following shunt surgery.

Methods: Thirty-nine patients (mean age 75.5 years) diagnosed with iNPH between 2019 and 2023 were recorded performing Timed Up and Go (TUG) test before and after shunt surgery. Patients who required a walking aid were excluded. Four specialized raters, blinded to timepoint, evaluated gait pattern and graded improvement. Inter-rater agreement was quantified by Krippendorff's α; Spearman's ρ assessed correlations between graded improvement, Hellström iNPH scale changes, and EuroQol 5-Dimension 5-Level Visual Analogue Scale (EQ-VAS) differences.

Results: Agreement on video graded improvements was strong (α = 0.80, 95% CI: 0.76-0.84), whereas agreement on specific gait patterns was moderate (α = 0.53, 95% CI: 0.43-0.62). Graded improvement scores correlated moderately with changes in the Hellström iNPH scale (ρ = 0.67, p < 0.01) and showed fair correlation with EQ-VAS (ρ = 0.37, p < 0.01).

Conclusions: Blinded video assessments reliably captured postoperative gait improvements in iNPH and showed strong inter-rater agreement. While specific gait pattern ratings were less consistent, combining structured video scoring with clinical scales can improve outcome evaluation. More refined tools are needed to better detect subtle changes in gait and to reflect patient-perceived recovery.

求助全文
通过发布文献求助,成功后即可免费获取论文全文。 去求助
来源期刊
Fluids and Barriers of the CNS
Fluids and Barriers of the CNS Neuroscience-Developmental Neuroscience
CiteScore
10.70
自引率
8.20%
发文量
94
审稿时长
14 weeks
期刊介绍: "Fluids and Barriers of the CNS" is a scholarly open access journal that specializes in the intricate world of the central nervous system's fluids and barriers, which are pivotal for the health and well-being of the human body. This journal is a peer-reviewed platform that welcomes research manuscripts exploring the full spectrum of CNS fluids and barriers, with a particular focus on their roles in both health and disease. At the heart of this journal's interest is the cerebrospinal fluid (CSF), a vital fluid that circulates within the brain and spinal cord, playing a multifaceted role in the normal functioning of the brain and in various neurological conditions. The journal delves into the composition, circulation, and absorption of CSF, as well as its relationship with the parenchymal interstitial fluid and the neurovascular unit at the blood-brain barrier (BBB).
×
引用
GB/T 7714-2015
复制
MLA
复制
APA
复制
导出至
BibTeX EndNote RefMan NoteFirst NoteExpress
×
提示
您的信息不完整,为了账户安全,请先补充。
现在去补充
×
提示
您因"违规操作"
具体请查看互助需知
我知道了
×
提示
确定
请完成安全验证×
copy
已复制链接
快去分享给好友吧!
我知道了
右上角分享
点击右上角分享
0
联系我们:info@booksci.cn Book学术提供免费学术资源搜索服务,方便国内外学者检索中英文文献。致力于提供最便捷和优质的服务体验。 Copyright © 2023 布克学术 All rights reserved.
京ICP备2023020795号-1
ghs 京公网安备 11010802042870号
Book学术文献互助
Book学术文献互助群
群 号:604180095
Book学术官方微信