CKD-CAREMEAU队列中根据慢性肾病病因的肾衰竭风险方程表现。

IF 4.6 2区 医学 Q1 UROLOGY & NEPHROLOGY
Clinical Kidney Journal Pub Date : 2025-08-13 eCollection Date: 2025-09-01 DOI:10.1093/ckj/sfaf258
Julien Prouvot, Pedram Ahmadpoor, Edouard Clemmer, Florian Garo, Emilie Pambrun, Sylvain Cariou, Pascal Reboul, Ziyad Messikh, Olivier Moranne
{"title":"CKD-CAREMEAU队列中根据慢性肾病病因的肾衰竭风险方程表现。","authors":"Julien Prouvot, Pedram Ahmadpoor, Edouard Clemmer, Florian Garo, Emilie Pambrun, Sylvain Cariou, Pascal Reboul, Ziyad Messikh, Olivier Moranne","doi":"10.1093/ckj/sfaf258","DOIUrl":null,"url":null,"abstract":"<p><strong>Background: </strong>The Kidney Failure Risk Equation (KFRE) is a prognostic score for predicting kidney replacement therapy (KRT) at 5 years in patients with chronic kidney disease (CKD). Some studies show that the score performs poorly for certain etiologies of CKD but not all have been evaluated. The aim of this study was to evaluate the performance of the KFRE score according to the etiology of the CKD.</p><p><strong>Methods: </strong>The CKD-CAREMEAU cohort, which included all patients who consulted a nephrologist for CKD between 2008 and 2017, was used. Patients were monitored for 5 years and the observed event was KRT, completed by the French REIN registry (Reseau Epidemiologique et Information en Néphrologie). Performance was evaluated by calibration (individual approach) and discrimination (populational approach), using observed vs predicted risk curves and the area under curve, respectively, according to each etiology.</p><p><strong>Results: </strong>A total of 3191 patients were included in the study, median age 71 (interquartile range 61-80) years, 1921 (60%) of whom were men, and the median estimated glomerular filtration rate was 41 (28-80) mL/min/1.73 m². The main etiologies of CKD were vascular; 1164 patients (37%), diabetic; 667 (21%), glomerular; 512 (16%), tubulointerstitial; 459 (14%), polycystic; 121 (4%) and unclassified; and 268(8%). Discrimination was satisfactory for all etiologies, but calibration was unsatisfactory for polycystic, tubulointerstitial and unclassified (multiple or unknown) etiologies, without correlation with age.</p><p><strong>Conclusions: </strong>Predictive performance of the KFRE score at 5 years varies according to the etiology of CKD, without impact on discrimination, but with a significant impact on calibration, and poor performance for polycystic, tubulointerstitial and multiple/unknown etiologies. These limitations should be known in order to develop new prognostic tools.</p>","PeriodicalId":10435,"journal":{"name":"Clinical Kidney Journal","volume":"18 9","pages":"sfaf258"},"PeriodicalIF":4.6000,"publicationDate":"2025-08-13","publicationTypes":"Journal Article","fieldsOfStudy":null,"isOpenAccess":false,"openAccessPdf":"https://www.ncbi.nlm.nih.gov/pmc/articles/PMC12415514/pdf/","citationCount":"0","resultStr":"{\"title\":\"Kidney Failure Risk Equation performance according to the etiology of chronic kidney disease in the CKD-CAREMEAU cohort.\",\"authors\":\"Julien Prouvot, Pedram Ahmadpoor, Edouard Clemmer, Florian Garo, Emilie Pambrun, Sylvain Cariou, Pascal Reboul, Ziyad Messikh, Olivier Moranne\",\"doi\":\"10.1093/ckj/sfaf258\",\"DOIUrl\":null,\"url\":null,\"abstract\":\"<p><strong>Background: </strong>The Kidney Failure Risk Equation (KFRE) is a prognostic score for predicting kidney replacement therapy (KRT) at 5 years in patients with chronic kidney disease (CKD). Some studies show that the score performs poorly for certain etiologies of CKD but not all have been evaluated. The aim of this study was to evaluate the performance of the KFRE score according to the etiology of the CKD.</p><p><strong>Methods: </strong>The CKD-CAREMEAU cohort, which included all patients who consulted a nephrologist for CKD between 2008 and 2017, was used. Patients were monitored for 5 years and the observed event was KRT, completed by the French REIN registry (Reseau Epidemiologique et Information en Néphrologie). Performance was evaluated by calibration (individual approach) and discrimination (populational approach), using observed vs predicted risk curves and the area under curve, respectively, according to each etiology.</p><p><strong>Results: </strong>A total of 3191 patients were included in the study, median age 71 (interquartile range 61-80) years, 1921 (60%) of whom were men, and the median estimated glomerular filtration rate was 41 (28-80) mL/min/1.73 m². The main etiologies of CKD were vascular; 1164 patients (37%), diabetic; 667 (21%), glomerular; 512 (16%), tubulointerstitial; 459 (14%), polycystic; 121 (4%) and unclassified; and 268(8%). Discrimination was satisfactory for all etiologies, but calibration was unsatisfactory for polycystic, tubulointerstitial and unclassified (multiple or unknown) etiologies, without correlation with age.</p><p><strong>Conclusions: </strong>Predictive performance of the KFRE score at 5 years varies according to the etiology of CKD, without impact on discrimination, but with a significant impact on calibration, and poor performance for polycystic, tubulointerstitial and multiple/unknown etiologies. These limitations should be known in order to develop new prognostic tools.</p>\",\"PeriodicalId\":10435,\"journal\":{\"name\":\"Clinical Kidney Journal\",\"volume\":\"18 9\",\"pages\":\"sfaf258\"},\"PeriodicalIF\":4.6000,\"publicationDate\":\"2025-08-13\",\"publicationTypes\":\"Journal Article\",\"fieldsOfStudy\":null,\"isOpenAccess\":false,\"openAccessPdf\":\"https://www.ncbi.nlm.nih.gov/pmc/articles/PMC12415514/pdf/\",\"citationCount\":\"0\",\"resultStr\":null,\"platform\":\"Semanticscholar\",\"paperid\":null,\"PeriodicalName\":\"Clinical Kidney Journal\",\"FirstCategoryId\":\"3\",\"ListUrlMain\":\"https://doi.org/10.1093/ckj/sfaf258\",\"RegionNum\":2,\"RegionCategory\":\"医学\",\"ArticlePicture\":[],\"TitleCN\":null,\"AbstractTextCN\":null,\"PMCID\":null,\"EPubDate\":\"2025/9/1 0:00:00\",\"PubModel\":\"eCollection\",\"JCR\":\"Q1\",\"JCRName\":\"UROLOGY & NEPHROLOGY\",\"Score\":null,\"Total\":0}","platform":"Semanticscholar","paperid":null,"PeriodicalName":"Clinical Kidney Journal","FirstCategoryId":"3","ListUrlMain":"https://doi.org/10.1093/ckj/sfaf258","RegionNum":2,"RegionCategory":"医学","ArticlePicture":[],"TitleCN":null,"AbstractTextCN":null,"PMCID":null,"EPubDate":"2025/9/1 0:00:00","PubModel":"eCollection","JCR":"Q1","JCRName":"UROLOGY & NEPHROLOGY","Score":null,"Total":0}
引用次数: 0

摘要

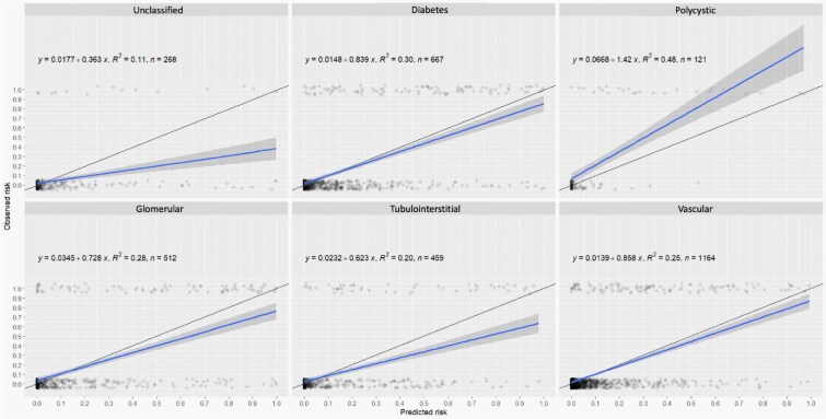
背景:肾衰竭风险方程(KFRE)是预测慢性肾脏疾病(CKD)患者5年肾脏替代治疗(KRT)的预后评分。一些研究表明,该评分对CKD的某些病因表现不佳,但并非所有病因都得到了评估。本研究的目的是根据CKD的病因来评估KFRE评分的表现。方法:采用CKD- caremeau队列,包括2008年至2017年期间因CKD咨询肾病专家的所有患者。对患者进行为期5年的监测,观察到的事件是KRT,由法国REIN登记处(Reseau Epidemiologique et Information en n phrology)完成。根据每种病因,分别使用观察到的与预测的风险曲线和曲线下面积,通过校准(个体方法)和判别(群体方法)对效果进行评估。结果:研究共纳入3191例患者,中位年龄71岁(四分位间距61-80),其中1921例(60%)为男性,肾小球滤过率中位估计为41 (28-80)mL/min/1.73 m²。CKD的主要病因是血管;1164例(37%),糖尿病;肾小球667例(21%);512例(16%)为小管间质性;459例(14%)为多囊性;121(4%)和未分类;和268年(8%)。所有病因的鉴别都令人满意,但对多囊性、小管间质性和未分类(多种或未知)病因的校正不令人满意,与年龄无关。结论:5年KFRE评分的预测性能因CKD病因而异,对区分没有影响,但对校准有显著影响,对多囊性、小管间质性和多种/未知病因的预测性能较差。为了开发新的预后工具,应该了解这些局限性。
本文章由计算机程序翻译,如有差异,请以英文原文为准。

Kidney Failure Risk Equation performance according to the etiology of chronic kidney disease in the CKD-CAREMEAU cohort.

Kidney Failure Risk Equation performance according to the etiology of chronic kidney disease in the CKD-CAREMEAU cohort.

Kidney Failure Risk Equation performance according to the etiology of chronic kidney disease in the CKD-CAREMEAU cohort.

Kidney Failure Risk Equation performance according to the etiology of chronic kidney disease in the CKD-CAREMEAU cohort.

Background: The Kidney Failure Risk Equation (KFRE) is a prognostic score for predicting kidney replacement therapy (KRT) at 5 years in patients with chronic kidney disease (CKD). Some studies show that the score performs poorly for certain etiologies of CKD but not all have been evaluated. The aim of this study was to evaluate the performance of the KFRE score according to the etiology of the CKD.

Methods: The CKD-CAREMEAU cohort, which included all patients who consulted a nephrologist for CKD between 2008 and 2017, was used. Patients were monitored for 5 years and the observed event was KRT, completed by the French REIN registry (Reseau Epidemiologique et Information en Néphrologie). Performance was evaluated by calibration (individual approach) and discrimination (populational approach), using observed vs predicted risk curves and the area under curve, respectively, according to each etiology.

Results: A total of 3191 patients were included in the study, median age 71 (interquartile range 61-80) years, 1921 (60%) of whom were men, and the median estimated glomerular filtration rate was 41 (28-80) mL/min/1.73 m². The main etiologies of CKD were vascular; 1164 patients (37%), diabetic; 667 (21%), glomerular; 512 (16%), tubulointerstitial; 459 (14%), polycystic; 121 (4%) and unclassified; and 268(8%). Discrimination was satisfactory for all etiologies, but calibration was unsatisfactory for polycystic, tubulointerstitial and unclassified (multiple or unknown) etiologies, without correlation with age.

Conclusions: Predictive performance of the KFRE score at 5 years varies according to the etiology of CKD, without impact on discrimination, but with a significant impact on calibration, and poor performance for polycystic, tubulointerstitial and multiple/unknown etiologies. These limitations should be known in order to develop new prognostic tools.

求助全文
通过发布文献求助,成功后即可免费获取论文全文。 去求助
来源期刊
Clinical Kidney Journal
Clinical Kidney Journal Medicine-Transplantation
CiteScore
6.70
自引率
10.90%
发文量
242
审稿时长
8 weeks
期刊介绍: About the Journal Clinical Kidney Journal: Clinical and Translational Nephrology (ckj), an official journal of the ERA-EDTA (European Renal Association-European Dialysis and Transplant Association), is a fully open access, online only journal publishing bimonthly. The journal is an essential educational and training resource integrating clinical, translational and educational research into clinical practice. ckj aims to contribute to a translational research culture among nephrologists and kidney pathologists that helps close the gap between basic researchers and practicing clinicians and promote sorely needed innovation in the Nephrology field. All research articles in this journal have undergone peer review.
×
引用
GB/T 7714-2015
复制
MLA
复制
APA
复制
导出至
BibTeX EndNote RefMan NoteFirst NoteExpress
×
提示
您的信息不完整,为了账户安全,请先补充。
现在去补充
×
提示
您因"违规操作"
具体请查看互助需知
我知道了
×
提示
确定
请完成安全验证×
copy
已复制链接
快去分享给好友吧!
我知道了
右上角分享
点击右上角分享
0
联系我们:info@booksci.cn Book学术提供免费学术资源搜索服务,方便国内外学者检索中英文文献。致力于提供最便捷和优质的服务体验。 Copyright © 2023 布克学术 All rights reserved.
京ICP备2023020795号-1
ghs 京公网安备 11010802042870号
Book学术文献互助
Book学术文献互助群
群 号:604180095
Book学术官方微信