20-900°范围内类萤石钼酸盐Nd5Mo3O16的结构特征和输运性质С

IF 0.5 4区 材料科学 Q4 CRYSTALLOGRAPHY
E. I. Orlova, E. S. Smirnova, N. V. Lyskov, E. P. Kharitonova, T. A. Sorokin, A. M. Antipin, E. V. Sidorova, N. E. Novikova, N. I. Sorokina, V. I. Voronkova, O. A. Alekseeva
{"title":"20-900°范围内类萤石钼酸盐Nd5Mo3O16的结构特征和输运性质С","authors":"E. I. Orlova,&nbsp;E. S. Smirnova,&nbsp;N. V. Lyskov,&nbsp;E. P. Kharitonova,&nbsp;T. A. Sorokin,&nbsp;A. M. Antipin,&nbsp;E. V. Sidorova,&nbsp;N. E. Novikova,&nbsp;N. I. Sorokina,&nbsp;V. I. Voronkova,&nbsp;O. A. Alekseeva","doi":"10.1134/S1063774525600565","DOIUrl":null,"url":null,"abstract":"<div><p>The structures of lithiated fluorite-like molybdates of the <i>Ln</i><sub>5</sub>Mo<sub>3</sub>O<span>\\(_{{16 + \\delta }}\\)</span> family were studied in the temperature range of 20–777°С (293–1050 К) by accurate X-ray diffraction analysis. A thermally activated redistribution of oxygen ions over the lattice and interstitial positions and reversible changes in the positions occupancies upon heating–cooling were established. The thermal stability, the oxygen ionic conductivity, and dielectric properties of ceramic samples of undoped and Li-containing phases Nd<sub>5</sub>Mo<sub>3</sub>O<span>\\(_{{16 + \\delta }}\\)</span> were investigated in the temperature range of 20–900°С. The study demonstrated the possibility of controlling the functional properties of materials for medium-temperature solid oxide fuel cells.</p></div>","PeriodicalId":527,"journal":{"name":"Crystallography Reports","volume":"70 4","pages":"560 - 567"},"PeriodicalIF":0.5000,"publicationDate":"2025-09-10","publicationTypes":"Journal Article","fieldsOfStudy":null,"isOpenAccess":false,"openAccessPdf":"","citationCount":"0","resultStr":"{\"title\":\"Structural Features and Transport Properties of Lithiated Fluorite-Like Molybdates Nd5Mo3O16 in the Temperature Range of 20–900°С\",\"authors\":\"E. I. Orlova,&nbsp;E. S. Smirnova,&nbsp;N. V. Lyskov,&nbsp;E. P. Kharitonova,&nbsp;T. A. Sorokin,&nbsp;A. M. Antipin,&nbsp;E. V. Sidorova,&nbsp;N. E. Novikova,&nbsp;N. I. Sorokina,&nbsp;V. I. Voronkova,&nbsp;O. A. Alekseeva\",\"doi\":\"10.1134/S1063774525600565\",\"DOIUrl\":null,\"url\":null,\"abstract\":\"<div><p>The structures of lithiated fluorite-like molybdates of the <i>Ln</i><sub>5</sub>Mo<sub>3</sub>O<span>\\\\(_{{16 + \\\\delta }}\\\\)</span> family were studied in the temperature range of 20–777°С (293–1050 К) by accurate X-ray diffraction analysis. A thermally activated redistribution of oxygen ions over the lattice and interstitial positions and reversible changes in the positions occupancies upon heating–cooling were established. The thermal stability, the oxygen ionic conductivity, and dielectric properties of ceramic samples of undoped and Li-containing phases Nd<sub>5</sub>Mo<sub>3</sub>O<span>\\\\(_{{16 + \\\\delta }}\\\\)</span> were investigated in the temperature range of 20–900°С. The study demonstrated the possibility of controlling the functional properties of materials for medium-temperature solid oxide fuel cells.</p></div>\",\"PeriodicalId\":527,\"journal\":{\"name\":\"Crystallography Reports\",\"volume\":\"70 4\",\"pages\":\"560 - 567\"},\"PeriodicalIF\":0.5000,\"publicationDate\":\"2025-09-10\",\"publicationTypes\":\"Journal Article\",\"fieldsOfStudy\":null,\"isOpenAccess\":false,\"openAccessPdf\":\"\",\"citationCount\":\"0\",\"resultStr\":null,\"platform\":\"Semanticscholar\",\"paperid\":null,\"PeriodicalName\":\"Crystallography Reports\",\"FirstCategoryId\":\"88\",\"ListUrlMain\":\"https://link.springer.com/article/10.1134/S1063774525600565\",\"RegionNum\":4,\"RegionCategory\":\"材料科学\",\"ArticlePicture\":[],\"TitleCN\":null,\"AbstractTextCN\":null,\"PMCID\":null,\"EPubDate\":\"\",\"PubModel\":\"\",\"JCR\":\"Q4\",\"JCRName\":\"CRYSTALLOGRAPHY\",\"Score\":null,\"Total\":0}","platform":"Semanticscholar","paperid":null,"PeriodicalName":"Crystallography Reports","FirstCategoryId":"88","ListUrlMain":"https://link.springer.com/article/10.1134/S1063774525600565","RegionNum":4,"RegionCategory":"材料科学","ArticlePicture":[],"TitleCN":null,"AbstractTextCN":null,"PMCID":null,"EPubDate":"","PubModel":"","JCR":"Q4","JCRName":"CRYSTALLOGRAPHY","Score":null,"Total":0}
引用次数: 0

摘要

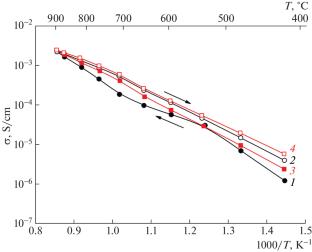
在20 ~ 777°С (293 ~ 1050 К)温度范围内,用精确的x射线衍射分析研究了ln5mo30o \(_{{16 + \delta }}\)家族类萤石钼酸盐的结构。建立了氧离子在晶格和间隙位置上的热激活再分配以及在加热-冷却时位置占用的可逆变化。在20 ~ 900°С的温度范围内,研究了未掺杂和含锂相nd5mo30o \(_{{16 + \delta }}\)陶瓷样品的热稳定性、氧离子电导率和介电性能。该研究证明了控制中温固体氧化物燃料电池材料功能特性的可能性。
本文章由计算机程序翻译,如有差异,请以英文原文为准。

Structural Features and Transport Properties of Lithiated Fluorite-Like Molybdates Nd5Mo3O16 in the Temperature Range of 20–900°С

Structural Features and Transport Properties of Lithiated Fluorite-Like Molybdates Nd5Mo3O16 in the Temperature Range of 20–900°С

Structural Features and Transport Properties of Lithiated Fluorite-Like Molybdates Nd5Mo3O16 in the Temperature Range of 20–900°С

The structures of lithiated fluorite-like molybdates of the Ln5Mo3O\(_{{16 + \delta }}\) family were studied in the temperature range of 20–777°С (293–1050 К) by accurate X-ray diffraction analysis. A thermally activated redistribution of oxygen ions over the lattice and interstitial positions and reversible changes in the positions occupancies upon heating–cooling were established. The thermal stability, the oxygen ionic conductivity, and dielectric properties of ceramic samples of undoped and Li-containing phases Nd5Mo3O\(_{{16 + \delta }}\) were investigated in the temperature range of 20–900°С. The study demonstrated the possibility of controlling the functional properties of materials for medium-temperature solid oxide fuel cells.

求助全文
通过发布文献求助,成功后即可免费获取论文全文。 去求助
来源期刊
Crystallography Reports
Crystallography Reports 化学-晶体学
CiteScore
1.10
自引率
28.60%
发文量
96
审稿时长
4-8 weeks
期刊介绍: Crystallography Reports is a journal that publishes original articles short communications, and reviews on various aspects of crystallography: diffraction and scattering of X-rays, electrons, and neutrons, determination of crystal structure of inorganic and organic substances, including proteins and other biological substances; UV-VIS and IR spectroscopy; growth, imperfect structure and physical properties of crystals; thin films, liquid crystals, nanomaterials, partially disordered systems, and the methods of studies.
×
引用
GB/T 7714-2015
复制
MLA
复制
APA
复制
导出至
BibTeX EndNote RefMan NoteFirst NoteExpress
×
提示
您的信息不完整,为了账户安全,请先补充。
现在去补充
×
提示
您因"违规操作"
具体请查看互助需知
我知道了
×
提示
确定
请完成安全验证×
copy
已复制链接
快去分享给好友吧!
我知道了
右上角分享
点击右上角分享
0
联系我们:info@booksci.cn Book学术提供免费学术资源搜索服务,方便国内外学者检索中英文文献。致力于提供最便捷和优质的服务体验。 Copyright © 2023 布克学术 All rights reserved.
京ICP备2023020795号-1
ghs 京公网安备 11010802042870号
Book学术文献互助
Book学术文献互助群
群 号:604180095
Book学术官方微信