具有潜在生物活性的蓖麻油酸吡唑衍生物的合成

IF 0.8 4区 化学 Q4 CHEMISTRY, MULTIDISCIPLINARY
G. Y. Ishmuratov, M. P. Yakovleva, I. S. Nazarov, K. M. Saitov
{"title":"具有潜在生物活性的蓖麻油酸吡唑衍生物的合成","authors":"G. Y. Ishmuratov,&nbsp;M. P. Yakovleva,&nbsp;I. S. Nazarov,&nbsp;K. M. Saitov","doi":"10.1134/S1070363225602649","DOIUrl":null,"url":null,"abstract":"<p>An effective approach was developed for the synthesis of a number of pyrazole derivatives of ricinoleic acid, available from natural castor oil. Transesterification of the ricinoleic acid triglyceride to its methyl ester, oxidation to a keto derivative, and acid isomerization resulted in a single α,β-unsaturated ketone of the <i>E</i>-configuration, whose reaction with a number of hydrazides completed the synthesis.</p>","PeriodicalId":761,"journal":{"name":"Russian Journal of General Chemistry","volume":"95 8","pages":"2303 - 2306"},"PeriodicalIF":0.8000,"publicationDate":"2025-09-10","publicationTypes":"Journal Article","fieldsOfStudy":null,"isOpenAccess":false,"openAccessPdf":"","citationCount":"0","resultStr":"{\"title\":\"Synthesis of Potentially Biologically Active Pyrazole Derivatives of Ricinoleic Acid\",\"authors\":\"G. Y. Ishmuratov,&nbsp;M. P. Yakovleva,&nbsp;I. S. Nazarov,&nbsp;K. M. Saitov\",\"doi\":\"10.1134/S1070363225602649\",\"DOIUrl\":null,\"url\":null,\"abstract\":\"<p>An effective approach was developed for the synthesis of a number of pyrazole derivatives of ricinoleic acid, available from natural castor oil. Transesterification of the ricinoleic acid triglyceride to its methyl ester, oxidation to a keto derivative, and acid isomerization resulted in a single α,β-unsaturated ketone of the <i>E</i>-configuration, whose reaction with a number of hydrazides completed the synthesis.</p>\",\"PeriodicalId\":761,\"journal\":{\"name\":\"Russian Journal of General Chemistry\",\"volume\":\"95 8\",\"pages\":\"2303 - 2306\"},\"PeriodicalIF\":0.8000,\"publicationDate\":\"2025-09-10\",\"publicationTypes\":\"Journal Article\",\"fieldsOfStudy\":null,\"isOpenAccess\":false,\"openAccessPdf\":\"\",\"citationCount\":\"0\",\"resultStr\":null,\"platform\":\"Semanticscholar\",\"paperid\":null,\"PeriodicalName\":\"Russian Journal of General Chemistry\",\"FirstCategoryId\":\"92\",\"ListUrlMain\":\"https://link.springer.com/article/10.1134/S1070363225602649\",\"RegionNum\":4,\"RegionCategory\":\"化学\",\"ArticlePicture\":[],\"TitleCN\":null,\"AbstractTextCN\":null,\"PMCID\":null,\"EPubDate\":\"\",\"PubModel\":\"\",\"JCR\":\"Q4\",\"JCRName\":\"CHEMISTRY, MULTIDISCIPLINARY\",\"Score\":null,\"Total\":0}","platform":"Semanticscholar","paperid":null,"PeriodicalName":"Russian Journal of General Chemistry","FirstCategoryId":"92","ListUrlMain":"https://link.springer.com/article/10.1134/S1070363225602649","RegionNum":4,"RegionCategory":"化学","ArticlePicture":[],"TitleCN":null,"AbstractTextCN":null,"PMCID":null,"EPubDate":"","PubModel":"","JCR":"Q4","JCRName":"CHEMISTRY, MULTIDISCIPLINARY","Score":null,"Total":0}
引用次数: 0

摘要

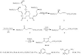
以天然蓖麻油为原料,建立了一种合成蓖麻油酸吡唑衍生物的有效方法。蓖麻油酸甘油三酯经酯交换成甲酯,氧化为酮衍生物,酸异构化得到一个e构型的α,β-不饱和酮,其与若干肼反应完成合成。
本文章由计算机程序翻译,如有差异,请以英文原文为准。

Synthesis of Potentially Biologically Active Pyrazole Derivatives of Ricinoleic Acid

Synthesis of Potentially Biologically Active Pyrazole Derivatives of Ricinoleic Acid

Synthesis of Potentially Biologically Active Pyrazole Derivatives of Ricinoleic Acid

An effective approach was developed for the synthesis of a number of pyrazole derivatives of ricinoleic acid, available from natural castor oil. Transesterification of the ricinoleic acid triglyceride to its methyl ester, oxidation to a keto derivative, and acid isomerization resulted in a single α,β-unsaturated ketone of the E-configuration, whose reaction with a number of hydrazides completed the synthesis.

求助全文
通过发布文献求助,成功后即可免费获取论文全文。 去求助
来源期刊
CiteScore
1.40
自引率
22.20%
发文量
252
审稿时长
2-4 weeks
期刊介绍: Russian Journal of General Chemistry is a journal that covers many problems that are of general interest to the whole community of chemists. The journal is the successor to Russia’s first chemical journal, Zhurnal Russkogo Khimicheskogo Obshchestva (Journal of the Russian Chemical Society ) founded in 1869 to cover all aspects of chemistry. Now the journal is focused on the interdisciplinary areas of chemistry (organometallics, organometalloids, organoinorganic complexes, mechanochemistry, nanochemistry, etc.), new achievements and long-term results in the field. The journal publishes reviews, current scientific papers, letters to the editor, and discussion papers.
×
引用
GB/T 7714-2015
复制
MLA
复制
APA
复制
导出至
BibTeX EndNote RefMan NoteFirst NoteExpress
×
提示
您的信息不完整,为了账户安全,请先补充。
现在去补充
×
提示
您因"违规操作"
具体请查看互助需知
我知道了
×
提示
确定
请完成安全验证×
copy
已复制链接
快去分享给好友吧!
我知道了
右上角分享
点击右上角分享
0
联系我们:info@booksci.cn Book学术提供免费学术资源搜索服务,方便国内外学者检索中英文文献。致力于提供最便捷和优质的服务体验。 Copyright © 2023 布克学术 All rights reserved.
京ICP备2023020795号-1
ghs 京公网安备 11010802042870号
Book学术文献互助
Book学术文献互助群
群 号:604180095
Book学术官方微信