水介导:2-氨基-6-[1,4-二氧基-3,4-二氢酞-2(1H)-基]-4-(1H-吲哚-3-基)- 4h -吡喃-3,5-二碳腈的高效合成

IF 0.8 4区 化学 Q4 CHEMISTRY, MULTIDISCIPLINARY
K. Kalpana
{"title":"水介导:2-氨基-6-[1,4-二氧基-3,4-二氢酞-2(1H)-基]-4-(1H-吲哚-3-基)- 4h -吡喃-3,5-二碳腈的高效合成","authors":"K. Kalpana","doi":"10.1134/S1070363225601577","DOIUrl":null,"url":null,"abstract":"<p>A novel series of 2-amino-6-(1,4-dioxo-3,4-dihydrophthalazin-2(1<i>H</i>)-yl)-4-(1<i>H</i>-indol-3-yl)-4<i>H</i>pyran-3,5-dicarbonitrile derivatives were produced utilizing water as the reaction medium in a one-pot four-component synthesis with phthalic acid, 2-cyanoacetohydrazide, 1<i>H</i>-indole-3-carbaldehydes, and malononitrile. This one-pot four-component reaction offers the amazing advantages of a simple protocol, low environmental impact, rapid reaction periods, and high yields.</p>","PeriodicalId":761,"journal":{"name":"Russian Journal of General Chemistry","volume":"95 8","pages":"1998 - 2003"},"PeriodicalIF":0.8000,"publicationDate":"2025-09-10","publicationTypes":"Journal Article","fieldsOfStudy":null,"isOpenAccess":false,"openAccessPdf":"","citationCount":"0","resultStr":"{\"title\":\"Water Mediated: An Efficient Synthesis of 2-Amino-6-[1,4-dioxo-3,4-dihydrophthalazin-2(1H)-yl]-4-(1H-indol-3-yl)-4H-pyran-3,5-dicarbonitriles\",\"authors\":\"K. Kalpana\",\"doi\":\"10.1134/S1070363225601577\",\"DOIUrl\":null,\"url\":null,\"abstract\":\"<p>A novel series of 2-amino-6-(1,4-dioxo-3,4-dihydrophthalazin-2(1<i>H</i>)-yl)-4-(1<i>H</i>-indol-3-yl)-4<i>H</i>pyran-3,5-dicarbonitrile derivatives were produced utilizing water as the reaction medium in a one-pot four-component synthesis with phthalic acid, 2-cyanoacetohydrazide, 1<i>H</i>-indole-3-carbaldehydes, and malononitrile. This one-pot four-component reaction offers the amazing advantages of a simple protocol, low environmental impact, rapid reaction periods, and high yields.</p>\",\"PeriodicalId\":761,\"journal\":{\"name\":\"Russian Journal of General Chemistry\",\"volume\":\"95 8\",\"pages\":\"1998 - 2003\"},\"PeriodicalIF\":0.8000,\"publicationDate\":\"2025-09-10\",\"publicationTypes\":\"Journal Article\",\"fieldsOfStudy\":null,\"isOpenAccess\":false,\"openAccessPdf\":\"\",\"citationCount\":\"0\",\"resultStr\":null,\"platform\":\"Semanticscholar\",\"paperid\":null,\"PeriodicalName\":\"Russian Journal of General Chemistry\",\"FirstCategoryId\":\"92\",\"ListUrlMain\":\"https://link.springer.com/article/10.1134/S1070363225601577\",\"RegionNum\":4,\"RegionCategory\":\"化学\",\"ArticlePicture\":[],\"TitleCN\":null,\"AbstractTextCN\":null,\"PMCID\":null,\"EPubDate\":\"\",\"PubModel\":\"\",\"JCR\":\"Q4\",\"JCRName\":\"CHEMISTRY, MULTIDISCIPLINARY\",\"Score\":null,\"Total\":0}","platform":"Semanticscholar","paperid":null,"PeriodicalName":"Russian Journal of General Chemistry","FirstCategoryId":"92","ListUrlMain":"https://link.springer.com/article/10.1134/S1070363225601577","RegionNum":4,"RegionCategory":"化学","ArticlePicture":[],"TitleCN":null,"AbstractTextCN":null,"PMCID":null,"EPubDate":"","PubModel":"","JCR":"Q4","JCRName":"CHEMISTRY, MULTIDISCIPLINARY","Score":null,"Total":0}
引用次数: 0

摘要

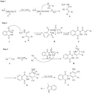
以邻苯二甲酸、2-氰乙酰肼、1H-吲哚-3-醛和丙二腈为原料,以水为反应介质,一锅法合成了一系列新的2-氨基-6-(1,4-二氧基-3,4-二氢酞-2(1H)-基)-4-(1H-吲哚-3-基)-4-氨基-3,5-二腈衍生物。这种一锅四组分反应具有程序简单、对环境影响小、反应周期快、产率高等优点。
本文章由计算机程序翻译,如有差异,请以英文原文为准。

Water Mediated: An Efficient Synthesis of 2-Amino-6-[1,4-dioxo-3,4-dihydrophthalazin-2(1H)-yl]-4-(1H-indol-3-yl)-4H-pyran-3,5-dicarbonitriles

Water Mediated: An Efficient Synthesis of 2-Amino-6-[1,4-dioxo-3,4-dihydrophthalazin-2(1H)-yl]-4-(1H-indol-3-yl)-4H-pyran-3,5-dicarbonitriles

Water Mediated: An Efficient Synthesis of 2-Amino-6-[1,4-dioxo-3,4-dihydrophthalazin-2(1H)-yl]-4-(1H-indol-3-yl)-4H-pyran-3,5-dicarbonitriles

A novel series of 2-amino-6-(1,4-dioxo-3,4-dihydrophthalazin-2(1H)-yl)-4-(1H-indol-3-yl)-4Hpyran-3,5-dicarbonitrile derivatives were produced utilizing water as the reaction medium in a one-pot four-component synthesis with phthalic acid, 2-cyanoacetohydrazide, 1H-indole-3-carbaldehydes, and malononitrile. This one-pot four-component reaction offers the amazing advantages of a simple protocol, low environmental impact, rapid reaction periods, and high yields.

求助全文
通过发布文献求助,成功后即可免费获取论文全文。 去求助
来源期刊
CiteScore
1.40
自引率
22.20%
发文量
252
审稿时长
2-4 weeks
期刊介绍: Russian Journal of General Chemistry is a journal that covers many problems that are of general interest to the whole community of chemists. The journal is the successor to Russia’s first chemical journal, Zhurnal Russkogo Khimicheskogo Obshchestva (Journal of the Russian Chemical Society ) founded in 1869 to cover all aspects of chemistry. Now the journal is focused on the interdisciplinary areas of chemistry (organometallics, organometalloids, organoinorganic complexes, mechanochemistry, nanochemistry, etc.), new achievements and long-term results in the field. The journal publishes reviews, current scientific papers, letters to the editor, and discussion papers.
×
引用
GB/T 7714-2015
复制
MLA
复制
APA
复制
导出至
BibTeX EndNote RefMan NoteFirst NoteExpress
×
提示
您的信息不完整,为了账户安全,请先补充。
现在去补充
×
提示
您因"违规操作"
具体请查看互助需知
我知道了
×
提示
确定
请完成安全验证×
copy
已复制链接
快去分享给好友吧!
我知道了
右上角分享
点击右上角分享
0
联系我们:info@booksci.cn Book学术提供免费学术资源搜索服务,方便国内外学者检索中英文文献。致力于提供最便捷和优质的服务体验。 Copyright © 2023 布克学术 All rights reserved.
京ICP备2023020795号-1
ghs 京公网安备 11010802042870号
Book学术文献互助
Book学术文献互助群
群 号:604180095
Book学术官方微信