基于中心复合设计的响应面法优化微纳结构软体动物腹足类贝壳废弃物作为双面光伏组件反射体的性能参数。

IF 5.8 3区 环境科学与生态学 0 ENVIRONMENTAL SCIENCES
Suriya Kala Shakthivel, Prince Winston David, Gurukarthik babu Balachandran, Hariharasudhan Thangaraj
{"title":"基于中心复合设计的响应面法优化微纳结构软体动物腹足类贝壳废弃物作为双面光伏组件反射体的性能参数。","authors":"Suriya Kala Shakthivel,&nbsp;Prince Winston David,&nbsp;Gurukarthik babu Balachandran,&nbsp;Hariharasudhan Thangaraj","doi":"10.1007/s11356-025-36904-4","DOIUrl":null,"url":null,"abstract":"<div><p>Energy production from renewable resources remains a leading focus in sustainable power generation. Recently, bifacial photovoltaic (BPV) systems have gained global attention for their enhanced energy yield. In this study, seashell waste was repurposed as an alternative reflector material for BPV modules. The objective was to evaluate key performance indicators, electrical, mechanical, and optical properties of BPV modules enhanced with these reflectors. An optimization framework based on response surface methodology (RSM) was employed to model and fine-tune system parameters using central composite design (CCD). The influence of stirring speed, stirring time, and concentration on output characteristics such as time of flight (ToF), opacity, and hardness was thoroughly analyzed. The study utilized thermogravimetric analysis (TGA), differential thermal analysis (DTA), UV–Vis spectroscopy, and transmission electron microscopy (TEM) along with real-time electrical performance testing. Results indicate that seashell-based nanocomposites outperformed micro-composites, achieving higher hardness (82.343), opacity (69.332), and ToF (34.712 s). The findings highlight the potential of seashell nanocomposites as sustainable, cost-effective reflector materials in BPV systems.</p></div>","PeriodicalId":545,"journal":{"name":"Environmental Science and Pollution Research","volume":"32 36","pages":"21463 - 21494"},"PeriodicalIF":5.8000,"publicationDate":"2025-09-09","publicationTypes":"Journal Article","fieldsOfStudy":null,"isOpenAccess":false,"openAccessPdf":"","citationCount":"0","resultStr":"{\"title\":\"Optimization on the performance parameters of micro- and nanostructured mollusc gastropod seashell waste as reflector for bifacial photovoltaic module by central composite design-based response surface methodology\",\"authors\":\"Suriya Kala Shakthivel,&nbsp;Prince Winston David,&nbsp;Gurukarthik babu Balachandran,&nbsp;Hariharasudhan Thangaraj\",\"doi\":\"10.1007/s11356-025-36904-4\",\"DOIUrl\":null,\"url\":null,\"abstract\":\"<div><p>Energy production from renewable resources remains a leading focus in sustainable power generation. Recently, bifacial photovoltaic (BPV) systems have gained global attention for their enhanced energy yield. In this study, seashell waste was repurposed as an alternative reflector material for BPV modules. The objective was to evaluate key performance indicators, electrical, mechanical, and optical properties of BPV modules enhanced with these reflectors. An optimization framework based on response surface methodology (RSM) was employed to model and fine-tune system parameters using central composite design (CCD). The influence of stirring speed, stirring time, and concentration on output characteristics such as time of flight (ToF), opacity, and hardness was thoroughly analyzed. The study utilized thermogravimetric analysis (TGA), differential thermal analysis (DTA), UV–Vis spectroscopy, and transmission electron microscopy (TEM) along with real-time electrical performance testing. Results indicate that seashell-based nanocomposites outperformed micro-composites, achieving higher hardness (82.343), opacity (69.332), and ToF (34.712 s). The findings highlight the potential of seashell nanocomposites as sustainable, cost-effective reflector materials in BPV systems.</p></div>\",\"PeriodicalId\":545,\"journal\":{\"name\":\"Environmental Science and Pollution Research\",\"volume\":\"32 36\",\"pages\":\"21463 - 21494\"},\"PeriodicalIF\":5.8000,\"publicationDate\":\"2025-09-09\",\"publicationTypes\":\"Journal Article\",\"fieldsOfStudy\":null,\"isOpenAccess\":false,\"openAccessPdf\":\"\",\"citationCount\":\"0\",\"resultStr\":null,\"platform\":\"Semanticscholar\",\"paperid\":null,\"PeriodicalName\":\"Environmental Science and Pollution Research\",\"FirstCategoryId\":\"93\",\"ListUrlMain\":\"https://link.springer.com/article/10.1007/s11356-025-36904-4\",\"RegionNum\":3,\"RegionCategory\":\"环境科学与生态学\",\"ArticlePicture\":[],\"TitleCN\":null,\"AbstractTextCN\":null,\"PMCID\":null,\"EPubDate\":\"\",\"PubModel\":\"\",\"JCR\":\"0\",\"JCRName\":\"ENVIRONMENTAL SCIENCES\",\"Score\":null,\"Total\":0}","platform":"Semanticscholar","paperid":null,"PeriodicalName":"Environmental Science and Pollution Research","FirstCategoryId":"93","ListUrlMain":"https://link.springer.com/article/10.1007/s11356-025-36904-4","RegionNum":3,"RegionCategory":"环境科学与生态学","ArticlePicture":[],"TitleCN":null,"AbstractTextCN":null,"PMCID":null,"EPubDate":"","PubModel":"","JCR":"0","JCRName":"ENVIRONMENTAL SCIENCES","Score":null,"Total":0}
引用次数: 0

摘要

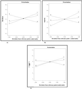
利用可再生资源生产能源仍然是可持续发电的主要重点。近年来,双面光伏(bifacial photovoltaic, BPV)系统因其提高能源产量而受到全球关注。在这项研究中,贝壳废物被重新利用作为BPV模块的替代反射材料。目的是评估使用这些反射器增强的BPV模块的关键性能指标、电气、机械和光学性能。基于响应面法(RSM)的优化框架,采用中心复合设计(CCD)对系统参数进行建模和微调。深入分析了搅拌速度、搅拌时间和搅拌浓度对飞行时间(ToF)、不透明度和硬度等输出特性的影响。该研究利用热重分析(TGA)、差热分析(DTA)、紫外可见光谱和透射电子显微镜(TEM)以及实时电气性能测试。结果表明,贝基纳米复合材料的硬度(82.343)、不透明度(69.332)和ToF (34.712 s)均优于微复合材料。这些发现突出了贝壳纳米复合材料作为BPV系统中可持续的、具有成本效益的反射材料的潜力。
本文章由计算机程序翻译,如有差异,请以英文原文为准。

Optimization on the performance parameters of micro- and nanostructured mollusc gastropod seashell waste as reflector for bifacial photovoltaic module by central composite design-based response surface methodology

Optimization on the performance parameters of micro- and nanostructured mollusc gastropod seashell waste as reflector for bifacial photovoltaic module by central composite design-based response surface methodology

Energy production from renewable resources remains a leading focus in sustainable power generation. Recently, bifacial photovoltaic (BPV) systems have gained global attention for their enhanced energy yield. In this study, seashell waste was repurposed as an alternative reflector material for BPV modules. The objective was to evaluate key performance indicators, electrical, mechanical, and optical properties of BPV modules enhanced with these reflectors. An optimization framework based on response surface methodology (RSM) was employed to model and fine-tune system parameters using central composite design (CCD). The influence of stirring speed, stirring time, and concentration on output characteristics such as time of flight (ToF), opacity, and hardness was thoroughly analyzed. The study utilized thermogravimetric analysis (TGA), differential thermal analysis (DTA), UV–Vis spectroscopy, and transmission electron microscopy (TEM) along with real-time electrical performance testing. Results indicate that seashell-based nanocomposites outperformed micro-composites, achieving higher hardness (82.343), opacity (69.332), and ToF (34.712 s). The findings highlight the potential of seashell nanocomposites as sustainable, cost-effective reflector materials in BPV systems.

求助全文
通过发布文献求助,成功后即可免费获取论文全文。 去求助
来源期刊
CiteScore
8.70
自引率
17.20%
发文量
6549
审稿时长
3.8 months
期刊介绍: Environmental Science and Pollution Research (ESPR) serves the international community in all areas of Environmental Science and related subjects with emphasis on chemical compounds. This includes: - Terrestrial Biology and Ecology - Aquatic Biology and Ecology - Atmospheric Chemistry - Environmental Microbiology/Biobased Energy Sources - Phytoremediation and Ecosystem Restoration - Environmental Analyses and Monitoring - Assessment of Risks and Interactions of Pollutants in the Environment - Conservation Biology and Sustainable Agriculture - Impact of Chemicals/Pollutants on Human and Animal Health It reports from a broad interdisciplinary outlook.
×
引用
GB/T 7714-2015
复制
MLA
复制
APA
复制
导出至
BibTeX EndNote RefMan NoteFirst NoteExpress
×
提示
您的信息不完整,为了账户安全,请先补充。
现在去补充
×
提示
您因"违规操作"
具体请查看互助需知
我知道了
×
提示
确定
请完成安全验证×
copy
已复制链接
快去分享给好友吧!
我知道了
右上角分享
点击右上角分享
0
联系我们:info@booksci.cn Book学术提供免费学术资源搜索服务,方便国内外学者检索中英文文献。致力于提供最便捷和优质的服务体验。 Copyright © 2023 布克学术 All rights reserved.
京ICP备2023020795号-1
ghs 京公网安备 11010802042870号
Book学术文献互助
Book学术文献互助群
群 号:604180095
Book学术官方微信