波浪状弯曲通道中微极流体流动的几何效应

IF 4.6 2区 物理与天体物理 Q1 PHYSICS, MULTIDISCIPLINARY
Nnamdi Fidelis Okechi
{"title":"波浪状弯曲通道中微极流体流动的几何效应","authors":"Nnamdi Fidelis Okechi","doi":"10.1016/j.cjph.2025.08.019","DOIUrl":null,"url":null,"abstract":"<div><div>This study examines the effects of geometry on the steady flow of an incompressible viscous fluid with rigid microparticles. The flow is confined within a curved channel characterized by sinusoids defined by amplitude, wavelength and phase shift. Homogeneous boundary conditions are used to express the behaviours of the fluid and particle velocity vectors at the prescribed boundaries. Through the analytical solutions of the flow model, the modification in the flow field due to the effects of the geometric parameters as well as the physical parameters is elucidated. The results notably indicate that, for small relative amplitude and arbitrary wavelength, the presence of boundary waviness can induce an additional component of angular velocity, consequently, the flow is subjected to the influence of more than one length scale parameter. However, for long wavelength and arbitrary amplitude, the mentioned angular velocity component does not exist, and the flow becomes influenced by a single length scale parameter. Furthermore, the presence of microparticles in the fluid reduces its flow when compared to the flow of a Newtonian fluid. Nevertheless, the tendency of the micropolar flow enhancement is observed, depending on the parameters characterizing the rheology of the fluid and geometry of the boundaries of the flow domain.</div></div>","PeriodicalId":10340,"journal":{"name":"Chinese Journal of Physics","volume":"97 ","pages":"Pages 1423-1444"},"PeriodicalIF":4.6000,"publicationDate":"2025-08-15","publicationTypes":"Journal Article","fieldsOfStudy":null,"isOpenAccess":false,"openAccessPdf":"","citationCount":"0","resultStr":"{\"title\":\"Geometry effects on a micropolar fluid flow in a wavy curved channel\",\"authors\":\"Nnamdi Fidelis Okechi\",\"doi\":\"10.1016/j.cjph.2025.08.019\",\"DOIUrl\":null,\"url\":null,\"abstract\":\"<div><div>This study examines the effects of geometry on the steady flow of an incompressible viscous fluid with rigid microparticles. The flow is confined within a curved channel characterized by sinusoids defined by amplitude, wavelength and phase shift. Homogeneous boundary conditions are used to express the behaviours of the fluid and particle velocity vectors at the prescribed boundaries. Through the analytical solutions of the flow model, the modification in the flow field due to the effects of the geometric parameters as well as the physical parameters is elucidated. The results notably indicate that, for small relative amplitude and arbitrary wavelength, the presence of boundary waviness can induce an additional component of angular velocity, consequently, the flow is subjected to the influence of more than one length scale parameter. However, for long wavelength and arbitrary amplitude, the mentioned angular velocity component does not exist, and the flow becomes influenced by a single length scale parameter. Furthermore, the presence of microparticles in the fluid reduces its flow when compared to the flow of a Newtonian fluid. Nevertheless, the tendency of the micropolar flow enhancement is observed, depending on the parameters characterizing the rheology of the fluid and geometry of the boundaries of the flow domain.</div></div>\",\"PeriodicalId\":10340,\"journal\":{\"name\":\"Chinese Journal of Physics\",\"volume\":\"97 \",\"pages\":\"Pages 1423-1444\"},\"PeriodicalIF\":4.6000,\"publicationDate\":\"2025-08-15\",\"publicationTypes\":\"Journal Article\",\"fieldsOfStudy\":null,\"isOpenAccess\":false,\"openAccessPdf\":\"\",\"citationCount\":\"0\",\"resultStr\":null,\"platform\":\"Semanticscholar\",\"paperid\":null,\"PeriodicalName\":\"Chinese Journal of Physics\",\"FirstCategoryId\":\"101\",\"ListUrlMain\":\"https://www.sciencedirect.com/science/article/pii/S0577907325003247\",\"RegionNum\":2,\"RegionCategory\":\"物理与天体物理\",\"ArticlePicture\":[],\"TitleCN\":null,\"AbstractTextCN\":null,\"PMCID\":null,\"EPubDate\":\"\",\"PubModel\":\"\",\"JCR\":\"Q1\",\"JCRName\":\"PHYSICS, MULTIDISCIPLINARY\",\"Score\":null,\"Total\":0}","platform":"Semanticscholar","paperid":null,"PeriodicalName":"Chinese Journal of Physics","FirstCategoryId":"101","ListUrlMain":"https://www.sciencedirect.com/science/article/pii/S0577907325003247","RegionNum":2,"RegionCategory":"物理与天体物理","ArticlePicture":[],"TitleCN":null,"AbstractTextCN":null,"PMCID":null,"EPubDate":"","PubModel":"","JCR":"Q1","JCRName":"PHYSICS, MULTIDISCIPLINARY","Score":null,"Total":0}
引用次数: 0

摘要

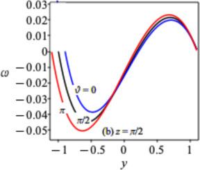
本研究考察了几何形状对具有刚性微粒的不可压缩粘性流体稳定流动的影响。流动被限制在一个弯曲的通道内,其特征是由振幅、波长和相移定义的正弦波。采用均匀边界条件来表示流体和粒子速度矢量在规定边界处的行为。通过流动模型的解析解,阐明了几何参数和物理参数对流场的影响。结果表明,在相对幅值较小、波长任意的情况下,边界波纹的存在会引起角速度分量的增加,从而使流动受到多个长度尺度参数的影响。然而,对于长波和任意幅值,上述角速度分量不存在,流动受到单一长度尺度参数的影响。此外,与牛顿流体的流动相比,流体中微粒的存在减少了其流动。然而,观察到微极流增强的趋势,取决于表征流体流变学的参数和流域边界的几何形状。
本文章由计算机程序翻译,如有差异,请以英文原文为准。

Geometry effects on a micropolar fluid flow in a wavy curved channel

Geometry effects on a micropolar fluid flow in a wavy curved channel
This study examines the effects of geometry on the steady flow of an incompressible viscous fluid with rigid microparticles. The flow is confined within a curved channel characterized by sinusoids defined by amplitude, wavelength and phase shift. Homogeneous boundary conditions are used to express the behaviours of the fluid and particle velocity vectors at the prescribed boundaries. Through the analytical solutions of the flow model, the modification in the flow field due to the effects of the geometric parameters as well as the physical parameters is elucidated. The results notably indicate that, for small relative amplitude and arbitrary wavelength, the presence of boundary waviness can induce an additional component of angular velocity, consequently, the flow is subjected to the influence of more than one length scale parameter. However, for long wavelength and arbitrary amplitude, the mentioned angular velocity component does not exist, and the flow becomes influenced by a single length scale parameter. Furthermore, the presence of microparticles in the fluid reduces its flow when compared to the flow of a Newtonian fluid. Nevertheless, the tendency of the micropolar flow enhancement is observed, depending on the parameters characterizing the rheology of the fluid and geometry of the boundaries of the flow domain.
求助全文
通过发布文献求助,成功后即可免费获取论文全文。 去求助
来源期刊
Chinese Journal of Physics
Chinese Journal of Physics 物理-物理:综合
CiteScore
8.50
自引率
10.00%
发文量
361
审稿时长
44 days
期刊介绍: The Chinese Journal of Physics publishes important advances in various branches in physics, including statistical and biophysical physics, condensed matter physics, atomic/molecular physics, optics, particle physics and nuclear physics. The editors welcome manuscripts on: -General Physics: Statistical and Quantum Mechanics, etc.- Gravitation and Astrophysics- Elementary Particles and Fields- Nuclear Physics- Atomic, Molecular, and Optical Physics- Quantum Information and Quantum Computation- Fluid Dynamics, Nonlinear Dynamics, Chaos, and Complex Networks- Plasma and Beam Physics- Condensed Matter: Structure, etc.- Condensed Matter: Electronic Properties, etc.- Polymer, Soft Matter, Biological, and Interdisciplinary Physics. CJP publishes regular research papers, feature articles and review papers.
×
引用
GB/T 7714-2015
复制
MLA
复制
APA
复制
导出至
BibTeX EndNote RefMan NoteFirst NoteExpress
×
提示
您的信息不完整,为了账户安全,请先补充。
现在去补充
×
提示
您因"违规操作"
具体请查看互助需知
我知道了
×
提示
确定
请完成安全验证×
copy
已复制链接
快去分享给好友吧!
我知道了
右上角分享
点击右上角分享
0
联系我们:info@booksci.cn Book学术提供免费学术资源搜索服务,方便国内外学者检索中英文文献。致力于提供最便捷和优质的服务体验。 Copyright © 2023 布克学术 All rights reserved.
京ICP备2023020795号-1
ghs 京公网安备 11010802042870号
Book学术文献互助
Book学术文献互助群
群 号:604180095
Book学术官方微信