德国坚持抗痴呆治疗:一项涉及567,815例患者的回顾性队列研究

IF 2.8 Q2 NEUROSCIENCES
Journal of Alzheimer's disease reports Pub Date : 2025-09-05 eCollection Date: 2025-01-01 DOI:10.1177/25424823251372924
Miriam Guba-Menzel, Felix S Hussenoeder, Karel Kostev
{"title":"德国坚持抗痴呆治疗:一项涉及567,815例患者的回顾性队列研究","authors":"Miriam Guba-Menzel, Felix S Hussenoeder, Karel Kostev","doi":"10.1177/25424823251372924","DOIUrl":null,"url":null,"abstract":"<p><strong>Background: </strong>Despite the availability of these therapies, maintaining long-term adherence remains a significant challenge.</p><p><strong>Objective: </strong>This retrospective cohort study aimed to investigate 12-month and 5-year persistence with antidementia drug therapy in Germany and to examine the association between demographic and clinical variables and the risk of therapy discontinuation.</p><p><strong>Methods: </strong>Patients aged 60 years or older from the IQVIA Longitudinal Prescription Database who received an initial prescription for antidementia therapy between 2016 and 2023 (index date) were included. Time to discontinuation was estimated using the Kaplan-Meier method, and a multivariable Cox proportional hazards model was used to assess associations between predefined variables and the risk of discontinuation.</p><p><strong>Results: </strong>The study included 567,815 patients (mean age: 80.2 years, 59.1% female). Five years after the index date, 19.8% of dementia patients were still receiving therapy, with a 12-month persistence rate of 53.1%. Cox regression models conducted for the total population revealed that younger age (<70 versus ≥90 years; HR: 1.21; 95% CI: 1.19-1.23; 71-80 years versus ≥90 years; HR: 1.13; 95% CI: 1.11-1.14) was significantly associated with an increased risk of therapy discontinuation. Initiating therapy with memantine was associated with a slightly lower risk of discontinuation compared to donepezil (HR: 0.87; 95% CI: 0.86-0.87).</p><p><strong>Conclusion: </strong>In this study, half of the patients discontinued antidementia therapy within one year and 80% within five years. Younger age was linked to a higher risk of therapy discontinuation, while memantine therapy was associated with improved persistence, potentially reflecting better adherence among patients with more advanced dementia.</p>","PeriodicalId":73594,"journal":{"name":"Journal of Alzheimer's disease reports","volume":"9 ","pages":"25424823251372924"},"PeriodicalIF":2.8000,"publicationDate":"2025-09-05","publicationTypes":"Journal Article","fieldsOfStudy":null,"isOpenAccess":false,"openAccessPdf":"https://www.ncbi.nlm.nih.gov/pmc/articles/PMC12413513/pdf/","citationCount":"0","resultStr":"{\"title\":\"Persistence with antidementia therapy in Germany: A retrospective cohort study of 567,815 patients.\",\"authors\":\"Miriam Guba-Menzel, Felix S Hussenoeder, Karel Kostev\",\"doi\":\"10.1177/25424823251372924\",\"DOIUrl\":null,\"url\":null,\"abstract\":\"<p><strong>Background: </strong>Despite the availability of these therapies, maintaining long-term adherence remains a significant challenge.</p><p><strong>Objective: </strong>This retrospective cohort study aimed to investigate 12-month and 5-year persistence with antidementia drug therapy in Germany and to examine the association between demographic and clinical variables and the risk of therapy discontinuation.</p><p><strong>Methods: </strong>Patients aged 60 years or older from the IQVIA Longitudinal Prescription Database who received an initial prescription for antidementia therapy between 2016 and 2023 (index date) were included. Time to discontinuation was estimated using the Kaplan-Meier method, and a multivariable Cox proportional hazards model was used to assess associations between predefined variables and the risk of discontinuation.</p><p><strong>Results: </strong>The study included 567,815 patients (mean age: 80.2 years, 59.1% female). Five years after the index date, 19.8% of dementia patients were still receiving therapy, with a 12-month persistence rate of 53.1%. Cox regression models conducted for the total population revealed that younger age (<70 versus ≥90 years; HR: 1.21; 95% CI: 1.19-1.23; 71-80 years versus ≥90 years; HR: 1.13; 95% CI: 1.11-1.14) was significantly associated with an increased risk of therapy discontinuation. Initiating therapy with memantine was associated with a slightly lower risk of discontinuation compared to donepezil (HR: 0.87; 95% CI: 0.86-0.87).</p><p><strong>Conclusion: </strong>In this study, half of the patients discontinued antidementia therapy within one year and 80% within five years. Younger age was linked to a higher risk of therapy discontinuation, while memantine therapy was associated with improved persistence, potentially reflecting better adherence among patients with more advanced dementia.</p>\",\"PeriodicalId\":73594,\"journal\":{\"name\":\"Journal of Alzheimer's disease reports\",\"volume\":\"9 \",\"pages\":\"25424823251372924\"},\"PeriodicalIF\":2.8000,\"publicationDate\":\"2025-09-05\",\"publicationTypes\":\"Journal Article\",\"fieldsOfStudy\":null,\"isOpenAccess\":false,\"openAccessPdf\":\"https://www.ncbi.nlm.nih.gov/pmc/articles/PMC12413513/pdf/\",\"citationCount\":\"0\",\"resultStr\":null,\"platform\":\"Semanticscholar\",\"paperid\":null,\"PeriodicalName\":\"Journal of Alzheimer's disease reports\",\"FirstCategoryId\":\"1085\",\"ListUrlMain\":\"https://doi.org/10.1177/25424823251372924\",\"RegionNum\":0,\"RegionCategory\":null,\"ArticlePicture\":[],\"TitleCN\":null,\"AbstractTextCN\":null,\"PMCID\":null,\"EPubDate\":\"2025/1/1 0:00:00\",\"PubModel\":\"eCollection\",\"JCR\":\"Q2\",\"JCRName\":\"NEUROSCIENCES\",\"Score\":null,\"Total\":0}","platform":"Semanticscholar","paperid":null,"PeriodicalName":"Journal of Alzheimer's disease reports","FirstCategoryId":"1085","ListUrlMain":"https://doi.org/10.1177/25424823251372924","RegionNum":0,"RegionCategory":null,"ArticlePicture":[],"TitleCN":null,"AbstractTextCN":null,"PMCID":null,"EPubDate":"2025/1/1 0:00:00","PubModel":"eCollection","JCR":"Q2","JCRName":"NEUROSCIENCES","Score":null,"Total":0}
引用次数: 0

摘要

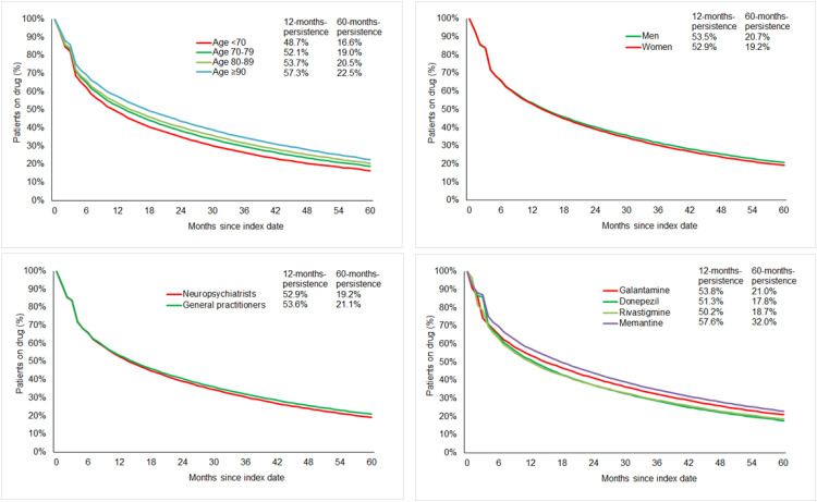
背景:尽管这些疗法的可用性,保持长期坚持仍然是一个重大挑战。目的:这项回顾性队列研究旨在调查德国12个月和5年抗痴呆药物治疗的持久性,并检查人口统计学和临床变量与停药风险之间的关系。方法:纳入来自IQVIA纵向处方数据库的2016年至2023年(索引日期)接受初始抗痴呆治疗处方的60岁及以上患者。使用Kaplan-Meier方法估计停药时间,并使用多变量Cox比例风险模型评估预定义变量与停药风险之间的关联。结果:共纳入567,815例患者,平均年龄80.2岁,女性59.1%。在指标日期5年后,19.8%的痴呆患者仍在接受治疗,12个月的持续率为53.1%。对总体人群进行的Cox回归模型显示,年龄更小(结论:在本研究中,一半的患者在一年内停止抗痴呆治疗,80%的患者在五年内停止抗痴呆治疗。年龄越小,中断治疗的风险越高,而美金刚治疗的持久性越好,这可能反映出晚期痴呆患者的依从性越好。
本文章由计算机程序翻译,如有差异,请以英文原文为准。

Persistence with antidementia therapy in Germany: A retrospective cohort study of 567,815 patients.

Persistence with antidementia therapy in Germany: A retrospective cohort study of 567,815 patients.

Persistence with antidementia therapy in Germany: A retrospective cohort study of 567,815 patients.

Persistence with antidementia therapy in Germany: A retrospective cohort study of 567,815 patients.

Background: Despite the availability of these therapies, maintaining long-term adherence remains a significant challenge.

Objective: This retrospective cohort study aimed to investigate 12-month and 5-year persistence with antidementia drug therapy in Germany and to examine the association between demographic and clinical variables and the risk of therapy discontinuation.

Methods: Patients aged 60 years or older from the IQVIA Longitudinal Prescription Database who received an initial prescription for antidementia therapy between 2016 and 2023 (index date) were included. Time to discontinuation was estimated using the Kaplan-Meier method, and a multivariable Cox proportional hazards model was used to assess associations between predefined variables and the risk of discontinuation.

Results: The study included 567,815 patients (mean age: 80.2 years, 59.1% female). Five years after the index date, 19.8% of dementia patients were still receiving therapy, with a 12-month persistence rate of 53.1%. Cox regression models conducted for the total population revealed that younger age (<70 versus ≥90 years; HR: 1.21; 95% CI: 1.19-1.23; 71-80 years versus ≥90 years; HR: 1.13; 95% CI: 1.11-1.14) was significantly associated with an increased risk of therapy discontinuation. Initiating therapy with memantine was associated with a slightly lower risk of discontinuation compared to donepezil (HR: 0.87; 95% CI: 0.86-0.87).

Conclusion: In this study, half of the patients discontinued antidementia therapy within one year and 80% within five years. Younger age was linked to a higher risk of therapy discontinuation, while memantine therapy was associated with improved persistence, potentially reflecting better adherence among patients with more advanced dementia.

求助全文
通过发布文献求助,成功后即可免费获取论文全文。 去求助
来源期刊
CiteScore
2.80
自引率
0.00%
发文量
0
×
引用
GB/T 7714-2015
复制
MLA
复制
APA
复制
导出至
BibTeX EndNote RefMan NoteFirst NoteExpress
×
提示
您的信息不完整,为了账户安全,请先补充。
现在去补充
×
提示
您因"违规操作"
具体请查看互助需知
我知道了
×
提示
确定
请完成安全验证×
copy
已复制链接
快去分享给好友吧!
我知道了
右上角分享
点击右上角分享
0
联系我们:info@booksci.cn Book学术提供免费学术资源搜索服务,方便国内外学者检索中英文文献。致力于提供最便捷和优质的服务体验。 Copyright © 2023 布克学术 All rights reserved.
京ICP备2023020795号-1
ghs 京公网安备 11010802042870号
Book学术文献互助
Book学术文献互助群
群 号:604180095
Book学术官方微信