神经发散型与典型型儿童家长压力水平及应对策略的比较分析。

Frontiers in child and adolescent psychiatry Pub Date : 2025-08-22 eCollection Date: 2025-01-01 DOI:10.3389/frcha.2025.1619993
Lessa A Méndez-Lara, Rodrigo Ramirez-Rodriguez, Edgar Santos, Angel Puig-Lagunes
{"title":"神经发散型与典型型儿童家长压力水平及应对策略的比较分析。","authors":"Lessa A Méndez-Lara, Rodrigo Ramirez-Rodriguez, Edgar Santos, Angel Puig-Lagunes","doi":"10.3389/frcha.2025.1619993","DOIUrl":null,"url":null,"abstract":"<p><p>Parents of children with autism spectrum disorder (ASD) and attention deficit hyperactivity disorder (ADHD) face unique challenges that may significantly increase stress levels, potentially impacting the emotional well-being of the entire family. In Mexico, limited research has examined the association between parental stress and coping strategies among families with children with developmental disabilities. This study aimed to compare stress levels and coping strategies among parents of children with ASD, ADHD, and neurotypical developing (NTD) children, as well as to analyze differences in coping styles across these groups. A cross-sectional, descriptive-comparative design was employed with 212 parents of children aged 3 to 5 years, with a formal clinical diagnosis made by a pediatric neurologist. Participants completed validated questionnaires assessing parental stress and coping styles. Results revealed that parents of children with ASD and ADHD reported significantly higher stress levels (<i>M</i> = 116.7 and <i>M</i> = 88.1, respectively) compared to parents of NTD children (<i>M</i> = 67.2). Significant differences in coping strategies were observed (<i>p</i> < .001); 100% of ASD/ADHD parents used emotion-focused coping, whereas 94.93% of NTD parents used problem-focused coping. These findings emphasize the importance of designing interventions to support coping and stress regulation in parents of children with developmental disorders.</p>","PeriodicalId":73074,"journal":{"name":"Frontiers in child and adolescent psychiatry","volume":"4 ","pages":"1619993"},"PeriodicalIF":0.0000,"publicationDate":"2025-08-22","publicationTypes":"Journal Article","fieldsOfStudy":null,"isOpenAccess":false,"openAccessPdf":"https://www.ncbi.nlm.nih.gov/pmc/articles/PMC12411201/pdf/","citationCount":"0","resultStr":"{\"title\":\"Comparative analysis of stress levels and coping strategies in parents of neurodivergent and neurotypical children.\",\"authors\":\"Lessa A Méndez-Lara, Rodrigo Ramirez-Rodriguez, Edgar Santos, Angel Puig-Lagunes\",\"doi\":\"10.3389/frcha.2025.1619993\",\"DOIUrl\":null,\"url\":null,\"abstract\":\"<p><p>Parents of children with autism spectrum disorder (ASD) and attention deficit hyperactivity disorder (ADHD) face unique challenges that may significantly increase stress levels, potentially impacting the emotional well-being of the entire family. In Mexico, limited research has examined the association between parental stress and coping strategies among families with children with developmental disabilities. This study aimed to compare stress levels and coping strategies among parents of children with ASD, ADHD, and neurotypical developing (NTD) children, as well as to analyze differences in coping styles across these groups. A cross-sectional, descriptive-comparative design was employed with 212 parents of children aged 3 to 5 years, with a formal clinical diagnosis made by a pediatric neurologist. Participants completed validated questionnaires assessing parental stress and coping styles. Results revealed that parents of children with ASD and ADHD reported significantly higher stress levels (<i>M</i> = 116.7 and <i>M</i> = 88.1, respectively) compared to parents of NTD children (<i>M</i> = 67.2). Significant differences in coping strategies were observed (<i>p</i> < .001); 100% of ASD/ADHD parents used emotion-focused coping, whereas 94.93% of NTD parents used problem-focused coping. These findings emphasize the importance of designing interventions to support coping and stress regulation in parents of children with developmental disorders.</p>\",\"PeriodicalId\":73074,\"journal\":{\"name\":\"Frontiers in child and adolescent psychiatry\",\"volume\":\"4 \",\"pages\":\"1619993\"},\"PeriodicalIF\":0.0000,\"publicationDate\":\"2025-08-22\",\"publicationTypes\":\"Journal Article\",\"fieldsOfStudy\":null,\"isOpenAccess\":false,\"openAccessPdf\":\"https://www.ncbi.nlm.nih.gov/pmc/articles/PMC12411201/pdf/\",\"citationCount\":\"0\",\"resultStr\":null,\"platform\":\"Semanticscholar\",\"paperid\":null,\"PeriodicalName\":\"Frontiers in child and adolescent psychiatry\",\"FirstCategoryId\":\"1085\",\"ListUrlMain\":\"https://doi.org/10.3389/frcha.2025.1619993\",\"RegionNum\":0,\"RegionCategory\":null,\"ArticlePicture\":[],\"TitleCN\":null,\"AbstractTextCN\":null,\"PMCID\":null,\"EPubDate\":\"2025/1/1 0:00:00\",\"PubModel\":\"eCollection\",\"JCR\":\"\",\"JCRName\":\"\",\"Score\":null,\"Total\":0}","platform":"Semanticscholar","paperid":null,"PeriodicalName":"Frontiers in child and adolescent psychiatry","FirstCategoryId":"1085","ListUrlMain":"https://doi.org/10.3389/frcha.2025.1619993","RegionNum":0,"RegionCategory":null,"ArticlePicture":[],"TitleCN":null,"AbstractTextCN":null,"PMCID":null,"EPubDate":"2025/1/1 0:00:00","PubModel":"eCollection","JCR":"","JCRName":"","Score":null,"Total":0}
引用次数: 0

摘要

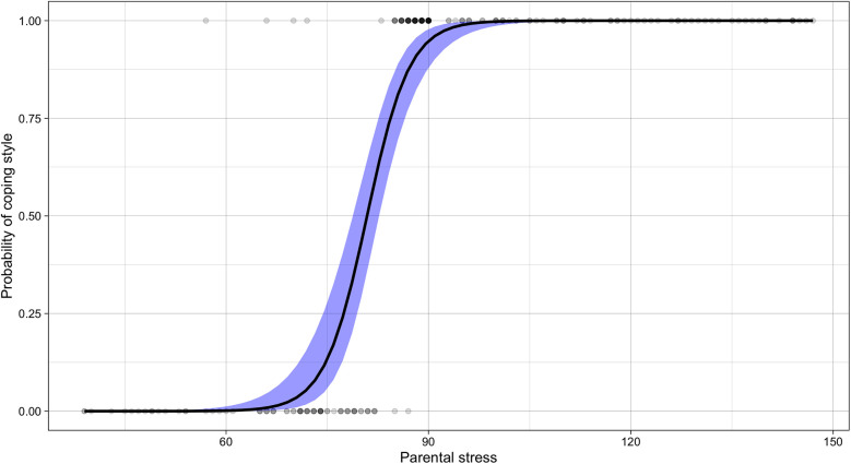
患有自闭症谱系障碍(ASD)和注意力缺陷多动障碍(ADHD)儿童的父母面临着独特的挑战,可能会显著增加压力水平,潜在地影响整个家庭的情感健康。在墨西哥,有限的研究调查了有发育障碍儿童的家庭中父母压力与应对策略之间的关系。本研究旨在比较自闭症谱系障碍(ASD)、多动症(ADHD)和神经性发育(NTD)儿童的父母的压力水平和应对策略,并分析这些群体在应对方式上的差异。采用横断面描述性比较设计对212名3至5岁儿童的父母进行研究,并由儿科神经科医生进行正式的临床诊断。参与者完成了评估父母压力和应对方式的有效问卷。结果显示,ASD和ADHD患儿的父母报告的压力水平(M = 116.7和M = 88.1)明显高于NTD患儿的父母(M = 67.2)。在应对策略上观察到显著差异(p
本文章由计算机程序翻译,如有差异,请以英文原文为准。

Comparative analysis of stress levels and coping strategies in parents of neurodivergent and neurotypical children.

Comparative analysis of stress levels and coping strategies in parents of neurodivergent and neurotypical children.

Comparative analysis of stress levels and coping strategies in parents of neurodivergent and neurotypical children.

Comparative analysis of stress levels and coping strategies in parents of neurodivergent and neurotypical children.

Parents of children with autism spectrum disorder (ASD) and attention deficit hyperactivity disorder (ADHD) face unique challenges that may significantly increase stress levels, potentially impacting the emotional well-being of the entire family. In Mexico, limited research has examined the association between parental stress and coping strategies among families with children with developmental disabilities. This study aimed to compare stress levels and coping strategies among parents of children with ASD, ADHD, and neurotypical developing (NTD) children, as well as to analyze differences in coping styles across these groups. A cross-sectional, descriptive-comparative design was employed with 212 parents of children aged 3 to 5 years, with a formal clinical diagnosis made by a pediatric neurologist. Participants completed validated questionnaires assessing parental stress and coping styles. Results revealed that parents of children with ASD and ADHD reported significantly higher stress levels (M = 116.7 and M = 88.1, respectively) compared to parents of NTD children (M = 67.2). Significant differences in coping strategies were observed (p < .001); 100% of ASD/ADHD parents used emotion-focused coping, whereas 94.93% of NTD parents used problem-focused coping. These findings emphasize the importance of designing interventions to support coping and stress regulation in parents of children with developmental disorders.

求助全文
通过发布文献求助,成功后即可免费获取论文全文。 去求助
来源期刊
自引率
0.00%
发文量
0
×
引用
GB/T 7714-2015
复制
MLA
复制
APA
复制
导出至
BibTeX EndNote RefMan NoteFirst NoteExpress
×
提示
您的信息不完整,为了账户安全,请先补充。
现在去补充
×
提示
您因"违规操作"
具体请查看互助需知
我知道了
×
提示
确定
请完成安全验证×
copy
已复制链接
快去分享给好友吧!
我知道了
右上角分享
点击右上角分享
0
联系我们:info@booksci.cn Book学术提供免费学术资源搜索服务,方便国内外学者检索中英文文献。致力于提供最便捷和优质的服务体验。 Copyright © 2023 布克学术 All rights reserved.
京ICP备2023020795号-1
ghs 京公网安备 11010802042870号
Book学术文献互助
Book学术文献互助群
群 号:604180095
Book学术官方微信