加强非洲社区抗微生物药物管理:对社区卫生和动物卫生工作者的作用、挑战和机遇的系统回顾。

Q1 Medicine
Wellcome Open Research Pub Date : 2025-07-09 eCollection Date: 2025-01-01 DOI:10.12688/wellcomeopenres.24387.1
Conrad Tumwine, Reuben Kiggundu, Fahad Lwaigale, Herman Mwanja, Hannigton Katumba, Mackline Hope, J P Waswa, Flavia Dhikusooka, Vivian Twemanye, Andrew Kambugu, Francis Kakooza, Dathan Byonanebye
{"title":"加强非洲社区抗微生物药物管理:对社区卫生和动物卫生工作者的作用、挑战和机遇的系统回顾。","authors":"Conrad Tumwine, Reuben Kiggundu, Fahad Lwaigale, Herman Mwanja, Hannigton Katumba, Mackline Hope, J P Waswa, Flavia Dhikusooka, Vivian Twemanye, Andrew Kambugu, Francis Kakooza, Dathan Byonanebye","doi":"10.12688/wellcomeopenres.24387.1","DOIUrl":null,"url":null,"abstract":"<p><p>Antimicrobial resistance (AMR) remains a critical global health challenge, and is mainly due to inappropriate antimicrobial use in human and animal health sectors. This systematic review examines the roles of Community Animal Health Workers (CAHWs) and Community Health Workers (CHWs) in antimicrobial stewardship (AMS) across Africa where AMR burden is highest and AMS programs are limited. Following PRISMA guidelines, this systematic review analyzed 16 studies (2017-2024) from nine African nations. We identified seven key roles of CAHWs and CHWs in AMS: 1) provision of clinical services (13 studies); 2) community mobilization (8 studies); 3) health promotion (7 studies); 4) provision of preventive services (5 studies); 5) epidemiological surveillance (4 studies); 6) advocacy (2 studies), and 7) medical waste management (2 studies). Despite their roles, challenges such as lack of supportive legislation (3 studies), inadequate remuneration (2 studies), and total reliance on foreign funding hinder AMS program sustainability. While most studies (14 studies) indicated that CAHWs and CHWs had received AMS training, their roles in the national AMR strategies remain unclear. CAHW and CHWs could be leveraged in advancing health promotion, raising AMR awareness, supporting AMR surveillance, enhancing integrated management of diseases, and improving waste management within One Health frameworks. To realize this potential, there is a need to formalize CAHW/CHW roles through targeted legislation, specialized training and sustainable funding. This evidence highlights the critical need for policy reforms to harness their potential in strengthening health systems and curbing AMR across Africa. PROSPERO registration number: CRD420251027215.</p>","PeriodicalId":23677,"journal":{"name":"Wellcome Open Research","volume":"10 ","pages":"346"},"PeriodicalIF":0.0000,"publicationDate":"2025-07-09","publicationTypes":"Journal Article","fieldsOfStudy":null,"isOpenAccess":false,"openAccessPdf":"https://www.ncbi.nlm.nih.gov/pmc/articles/PMC12411836/pdf/","citationCount":"0","resultStr":"{\"title\":\"Strengthening Community Antimicrobial Stewardship in Africa: A Systematic Review of the Roles, Challenges, and Opportunities of Community Health and Animal Health Workers.\",\"authors\":\"Conrad Tumwine, Reuben Kiggundu, Fahad Lwaigale, Herman Mwanja, Hannigton Katumba, Mackline Hope, J P Waswa, Flavia Dhikusooka, Vivian Twemanye, Andrew Kambugu, Francis Kakooza, Dathan Byonanebye\",\"doi\":\"10.12688/wellcomeopenres.24387.1\",\"DOIUrl\":null,\"url\":null,\"abstract\":\"<p><p>Antimicrobial resistance (AMR) remains a critical global health challenge, and is mainly due to inappropriate antimicrobial use in human and animal health sectors. This systematic review examines the roles of Community Animal Health Workers (CAHWs) and Community Health Workers (CHWs) in antimicrobial stewardship (AMS) across Africa where AMR burden is highest and AMS programs are limited. Following PRISMA guidelines, this systematic review analyzed 16 studies (2017-2024) from nine African nations. We identified seven key roles of CAHWs and CHWs in AMS: 1) provision of clinical services (13 studies); 2) community mobilization (8 studies); 3) health promotion (7 studies); 4) provision of preventive services (5 studies); 5) epidemiological surveillance (4 studies); 6) advocacy (2 studies), and 7) medical waste management (2 studies). Despite their roles, challenges such as lack of supportive legislation (3 studies), inadequate remuneration (2 studies), and total reliance on foreign funding hinder AMS program sustainability. While most studies (14 studies) indicated that CAHWs and CHWs had received AMS training, their roles in the national AMR strategies remain unclear. CAHW and CHWs could be leveraged in advancing health promotion, raising AMR awareness, supporting AMR surveillance, enhancing integrated management of diseases, and improving waste management within One Health frameworks. To realize this potential, there is a need to formalize CAHW/CHW roles through targeted legislation, specialized training and sustainable funding. This evidence highlights the critical need for policy reforms to harness their potential in strengthening health systems and curbing AMR across Africa. PROSPERO registration number: CRD420251027215.</p>\",\"PeriodicalId\":23677,\"journal\":{\"name\":\"Wellcome Open Research\",\"volume\":\"10 \",\"pages\":\"346\"},\"PeriodicalIF\":0.0000,\"publicationDate\":\"2025-07-09\",\"publicationTypes\":\"Journal Article\",\"fieldsOfStudy\":null,\"isOpenAccess\":false,\"openAccessPdf\":\"https://www.ncbi.nlm.nih.gov/pmc/articles/PMC12411836/pdf/\",\"citationCount\":\"0\",\"resultStr\":null,\"platform\":\"Semanticscholar\",\"paperid\":null,\"PeriodicalName\":\"Wellcome Open Research\",\"FirstCategoryId\":\"1085\",\"ListUrlMain\":\"https://doi.org/10.12688/wellcomeopenres.24387.1\",\"RegionNum\":0,\"RegionCategory\":null,\"ArticlePicture\":[],\"TitleCN\":null,\"AbstractTextCN\":null,\"PMCID\":null,\"EPubDate\":\"2025/1/1 0:00:00\",\"PubModel\":\"eCollection\",\"JCR\":\"Q1\",\"JCRName\":\"Medicine\",\"Score\":null,\"Total\":0}","platform":"Semanticscholar","paperid":null,"PeriodicalName":"Wellcome Open Research","FirstCategoryId":"1085","ListUrlMain":"https://doi.org/10.12688/wellcomeopenres.24387.1","RegionNum":0,"RegionCategory":null,"ArticlePicture":[],"TitleCN":null,"AbstractTextCN":null,"PMCID":null,"EPubDate":"2025/1/1 0:00:00","PubModel":"eCollection","JCR":"Q1","JCRName":"Medicine","Score":null,"Total":0}
引用次数: 0

摘要

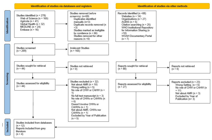
抗微生物药物耐药性仍然是一项重大的全球卫生挑战,其主要原因是人类和动物卫生部门不适当使用抗微生物药物。本系统综述探讨了社区动物卫生工作者(CAHWs)和社区卫生工作者(CHWs)在非洲抗菌素管理(AMS)中的作用。非洲抗菌素耐药性负担最重,AMS项目有限。根据PRISMA的指导方针,本系统综述分析了来自9个非洲国家的16项研究(2017-2024)。我们确定了CAHWs和CHWs在AMS中的七个关键作用:1)提供临床服务(13项研究);2)社区动员(8项研究);3)健康促进(7项研究);4)提供预防服务(5项研究);5)流行病学监测(4项研究);6)宣传(2项研究);7)医疗废物管理(2项研究)。尽管他们发挥了作用,但缺乏支持性立法(3项研究)、报酬不足(2项研究)以及完全依赖外国资金等挑战阻碍了AMS项目的可持续性。虽然大多数研究(14项研究)表明CAHWs和chw接受了AMS培训,但他们在国家抗微生物药物耐药性战略中的作用仍不清楚。CAHW和chw可用于促进健康,提高抗菌素耐药性认识,支持抗菌素耐药性监测,加强疾病综合管理,以及在“一个健康”框架内改善废物管理。为了实现这一潜力,有必要通过有针对性的立法、专门培训和可持续的供资,使农村卫生工作者/社区卫生工作者的作用正式化。这一证据突出表明,迫切需要进行政策改革,以利用它们在加强整个非洲的卫生系统和遏制耐药性方面的潜力。普洛斯彼罗注册号:CRD420251027215。
本文章由计算机程序翻译,如有差异,请以英文原文为准。

Strengthening Community Antimicrobial Stewardship in Africa: A Systematic Review of the Roles, Challenges, and Opportunities of Community Health and Animal Health Workers.

Strengthening Community Antimicrobial Stewardship in Africa: A Systematic Review of the Roles, Challenges, and Opportunities of Community Health and Animal Health Workers.

Antimicrobial resistance (AMR) remains a critical global health challenge, and is mainly due to inappropriate antimicrobial use in human and animal health sectors. This systematic review examines the roles of Community Animal Health Workers (CAHWs) and Community Health Workers (CHWs) in antimicrobial stewardship (AMS) across Africa where AMR burden is highest and AMS programs are limited. Following PRISMA guidelines, this systematic review analyzed 16 studies (2017-2024) from nine African nations. We identified seven key roles of CAHWs and CHWs in AMS: 1) provision of clinical services (13 studies); 2) community mobilization (8 studies); 3) health promotion (7 studies); 4) provision of preventive services (5 studies); 5) epidemiological surveillance (4 studies); 6) advocacy (2 studies), and 7) medical waste management (2 studies). Despite their roles, challenges such as lack of supportive legislation (3 studies), inadequate remuneration (2 studies), and total reliance on foreign funding hinder AMS program sustainability. While most studies (14 studies) indicated that CAHWs and CHWs had received AMS training, their roles in the national AMR strategies remain unclear. CAHW and CHWs could be leveraged in advancing health promotion, raising AMR awareness, supporting AMR surveillance, enhancing integrated management of diseases, and improving waste management within One Health frameworks. To realize this potential, there is a need to formalize CAHW/CHW roles through targeted legislation, specialized training and sustainable funding. This evidence highlights the critical need for policy reforms to harness their potential in strengthening health systems and curbing AMR across Africa. PROSPERO registration number: CRD420251027215.

求助全文
通过发布文献求助,成功后即可免费获取论文全文。 去求助
来源期刊
Wellcome Open Research
Wellcome Open Research Biochemistry, Genetics and Molecular Biology-Biochemistry, Genetics and Molecular Biology (all)
CiteScore
5.50
自引率
0.00%
发文量
426
审稿时长
1 weeks
期刊介绍: Wellcome Open Research publishes scholarly articles reporting any basic scientific, translational and clinical research that has been funded (or co-funded) by Wellcome. Each publication must have at least one author who has been, or still is, a recipient of a Wellcome grant. Articles must be original (not duplications). All research, including clinical trials, systematic reviews, software tools, method articles, and many others, is welcome and will be published irrespective of the perceived level of interest or novelty; confirmatory and negative results, as well as null studies are all suitable. See the full list of article types here. All articles are published using a fully transparent, author-driven model: the authors are solely responsible for the content of their article. Invited peer review takes place openly after publication, and the authors play a crucial role in ensuring that the article is peer-reviewed by independent experts in a timely manner. Articles that pass peer review will be indexed in PubMed and elsewhere. Wellcome Open Research is an Open Research platform: all articles are published open access; the publishing and peer-review processes are fully transparent; and authors are asked to include detailed descriptions of methods and to provide full and easy access to source data underlying the results to improve reproducibility.
×
引用
GB/T 7714-2015
复制
MLA
复制
APA
复制
导出至
BibTeX EndNote RefMan NoteFirst NoteExpress
×
提示
您的信息不完整,为了账户安全,请先补充。
现在去补充
×
提示
您因"违规操作"
具体请查看互助需知
我知道了
×
提示
确定
请完成安全验证×
copy
已复制链接
快去分享给好友吧!
我知道了
右上角分享
点击右上角分享
0
联系我们:info@booksci.cn Book学术提供免费学术资源搜索服务,方便国内外学者检索中英文文献。致力于提供最便捷和优质的服务体验。 Copyright © 2023 布克学术 All rights reserved.
京ICP备2023020795号-1
ghs 京公网安备 11010802042870号
Book学术文献互助
Book学术文献互助群
群 号:604180095
Book学术官方微信