儿童重症监护后随访需求调查

IF 2 4区 医学 Q2 PEDIATRICS
Paediatrics & child health Pub Date : 2025-03-30 eCollection Date: 2025-08-01 DOI:10.1093/pch/pxaf001
Oliver Venettacci, Nazanine Gholami, Elaine Gilfoyle, Christopher Parshuram, Christina Maratta
{"title":"儿童重症监护后随访需求调查","authors":"Oliver Venettacci, Nazanine Gholami, Elaine Gilfoyle, Christopher Parshuram, Christina Maratta","doi":"10.1093/pch/pxaf001","DOIUrl":null,"url":null,"abstract":"<p><strong>Objectives: </strong>This survey aims to describe the perceived needs for follow-up, and the actual follow-up received, by caregivers of Paediatric Intensive Care Unit (PICU) survivors. It explores PICU survivors' existing healthcare usage, primary care and specialist follow-up, and return to school and work for patients and their caregivers, respectively.</p><p><strong>Methods: </strong>A cross-sectional survey of patients surviving their PICU admission at a quaternary care children's hospital. Patients admitted less than 24 hours or who were not expected to survive were excluded. Descriptive statistics were used to describe characteristics and responses, and Likert scale responses were summarized.</p><p><strong>Results: </strong>Of the 139 patients consented, 62 (45%) completed the survey. Among children who attended school/daycare, 34% had not returned within 3 months of PICU discharge and 23% of those children returning to school required a new specialized education plan. Among employed caregivers, 38% had missed more than 1 month of employment. After discharge, 39% of patients had follow-up scheduled with a hospital specialist and 53% had new allied health follow-up. Of the respondents, 59% agreed or strongly agreed that follow-up after PICU would be beneficial for their child, and 84% agreed or strongly agreed that they would attend an in-person PICU follow-up appointment.</p><p><strong>Conclusions: </strong>This survey demonstrates a perceived need for follow-up among some caregivers of PICU survivors, an ongoing reliance on healthcare services, and school absenteeism following PICU admission. Further work is required to better delineate the ideal timing and format of follow-up, as well as the population most likely to benefit.</p>","PeriodicalId":19730,"journal":{"name":"Paediatrics & child health","volume":"30 5","pages":"395-401"},"PeriodicalIF":2.0000,"publicationDate":"2025-03-30","publicationTypes":"Journal Article","fieldsOfStudy":null,"isOpenAccess":false,"openAccessPdf":"https://www.ncbi.nlm.nih.gov/pmc/articles/PMC12408465/pdf/","citationCount":"0","resultStr":"{\"title\":\"Follow-up needs after paediatric critical care: A survey.\",\"authors\":\"Oliver Venettacci, Nazanine Gholami, Elaine Gilfoyle, Christopher Parshuram, Christina Maratta\",\"doi\":\"10.1093/pch/pxaf001\",\"DOIUrl\":null,\"url\":null,\"abstract\":\"<p><strong>Objectives: </strong>This survey aims to describe the perceived needs for follow-up, and the actual follow-up received, by caregivers of Paediatric Intensive Care Unit (PICU) survivors. It explores PICU survivors' existing healthcare usage, primary care and specialist follow-up, and return to school and work for patients and their caregivers, respectively.</p><p><strong>Methods: </strong>A cross-sectional survey of patients surviving their PICU admission at a quaternary care children's hospital. Patients admitted less than 24 hours or who were not expected to survive were excluded. Descriptive statistics were used to describe characteristics and responses, and Likert scale responses were summarized.</p><p><strong>Results: </strong>Of the 139 patients consented, 62 (45%) completed the survey. Among children who attended school/daycare, 34% had not returned within 3 months of PICU discharge and 23% of those children returning to school required a new specialized education plan. Among employed caregivers, 38% had missed more than 1 month of employment. After discharge, 39% of patients had follow-up scheduled with a hospital specialist and 53% had new allied health follow-up. Of the respondents, 59% agreed or strongly agreed that follow-up after PICU would be beneficial for their child, and 84% agreed or strongly agreed that they would attend an in-person PICU follow-up appointment.</p><p><strong>Conclusions: </strong>This survey demonstrates a perceived need for follow-up among some caregivers of PICU survivors, an ongoing reliance on healthcare services, and school absenteeism following PICU admission. Further work is required to better delineate the ideal timing and format of follow-up, as well as the population most likely to benefit.</p>\",\"PeriodicalId\":19730,\"journal\":{\"name\":\"Paediatrics & child health\",\"volume\":\"30 5\",\"pages\":\"395-401\"},\"PeriodicalIF\":2.0000,\"publicationDate\":\"2025-03-30\",\"publicationTypes\":\"Journal Article\",\"fieldsOfStudy\":null,\"isOpenAccess\":false,\"openAccessPdf\":\"https://www.ncbi.nlm.nih.gov/pmc/articles/PMC12408465/pdf/\",\"citationCount\":\"0\",\"resultStr\":null,\"platform\":\"Semanticscholar\",\"paperid\":null,\"PeriodicalName\":\"Paediatrics & child health\",\"FirstCategoryId\":\"3\",\"ListUrlMain\":\"https://doi.org/10.1093/pch/pxaf001\",\"RegionNum\":4,\"RegionCategory\":\"医学\",\"ArticlePicture\":[],\"TitleCN\":null,\"AbstractTextCN\":null,\"PMCID\":null,\"EPubDate\":\"2025/8/1 0:00:00\",\"PubModel\":\"eCollection\",\"JCR\":\"Q2\",\"JCRName\":\"PEDIATRICS\",\"Score\":null,\"Total\":0}","platform":"Semanticscholar","paperid":null,"PeriodicalName":"Paediatrics & child health","FirstCategoryId":"3","ListUrlMain":"https://doi.org/10.1093/pch/pxaf001","RegionNum":4,"RegionCategory":"医学","ArticlePicture":[],"TitleCN":null,"AbstractTextCN":null,"PMCID":null,"EPubDate":"2025/8/1 0:00:00","PubModel":"eCollection","JCR":"Q2","JCRName":"PEDIATRICS","Score":null,"Total":0}
引用次数: 0

摘要

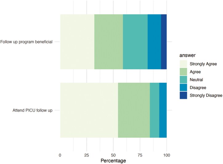
目的:本调查旨在描述儿科重症监护病房(PICU)幸存者的护理人员对随访的感知需求和实际随访情况。它分别探讨了重症监护室幸存者现有的医疗保健使用情况、初级保健和专科随访,以及患者及其护理人员重返学校和工作。方法:对某四科儿童医院PICU住院存活患者进行横断面调查。入院时间少于24小时或预计无法存活的患者被排除在外。描述性统计用于描述特征和反应,并总结李克特量表反应。结果:139名同意的患者中,62名(45%)完成了调查。在上学/日托的儿童中,34%的儿童在PICU出院后3个月内未返回学校,23%的儿童返回学校需要新的专业教育计划。在受雇的护理人员中,38%的人没有工作超过1个月。出院后,39%的患者接受了医院专科医生的随访,53%的患者接受了新的联合健康随访。在受访者中,59%的人同意或强烈同意PICU后随访对他们的孩子有益,84%的人同意或强烈同意他们将亲自参加PICU随访预约。结论:本调查表明,一些PICU幸存者的护理人员认为需要随访,对医疗服务的持续依赖,以及PICU入院后的缺勤。需要进一步的工作来更好地确定理想的随访时间和形式,以及最有可能受益的人群。
本文章由计算机程序翻译,如有差异,请以英文原文为准。

Follow-up needs after paediatric critical care: A survey.

Follow-up needs after paediatric critical care: A survey.

Follow-up needs after paediatric critical care: A survey.

Objectives: This survey aims to describe the perceived needs for follow-up, and the actual follow-up received, by caregivers of Paediatric Intensive Care Unit (PICU) survivors. It explores PICU survivors' existing healthcare usage, primary care and specialist follow-up, and return to school and work for patients and their caregivers, respectively.

Methods: A cross-sectional survey of patients surviving their PICU admission at a quaternary care children's hospital. Patients admitted less than 24 hours or who were not expected to survive were excluded. Descriptive statistics were used to describe characteristics and responses, and Likert scale responses were summarized.

Results: Of the 139 patients consented, 62 (45%) completed the survey. Among children who attended school/daycare, 34% had not returned within 3 months of PICU discharge and 23% of those children returning to school required a new specialized education plan. Among employed caregivers, 38% had missed more than 1 month of employment. After discharge, 39% of patients had follow-up scheduled with a hospital specialist and 53% had new allied health follow-up. Of the respondents, 59% agreed or strongly agreed that follow-up after PICU would be beneficial for their child, and 84% agreed or strongly agreed that they would attend an in-person PICU follow-up appointment.

Conclusions: This survey demonstrates a perceived need for follow-up among some caregivers of PICU survivors, an ongoing reliance on healthcare services, and school absenteeism following PICU admission. Further work is required to better delineate the ideal timing and format of follow-up, as well as the population most likely to benefit.

求助全文
通过发布文献求助,成功后即可免费获取论文全文。 去求助
来源期刊
Paediatrics & child health
Paediatrics & child health 医学-小儿科
CiteScore
2.10
自引率
5.30%
发文量
208
审稿时长
>12 weeks
期刊介绍: Paediatrics & Child Health (PCH) is the official journal of the Canadian Paediatric Society, and the only peer-reviewed paediatric journal in Canada. Its mission is to advocate for the health and well-being of all Canadian children and youth and to educate child and youth health professionals across the country. PCH reaches 8,000 paediatricians, family physicians and other child and youth health professionals, as well as ministers and officials in various levels of government who are involved with child and youth health policy in Canada.
×
引用
GB/T 7714-2015
复制
MLA
复制
APA
复制
导出至
BibTeX EndNote RefMan NoteFirst NoteExpress
×
提示
您的信息不完整,为了账户安全,请先补充。
现在去补充
×
提示
您因"违规操作"
具体请查看互助需知
我知道了
×
提示
确定
请完成安全验证×
copy
已复制链接
快去分享给好友吧!
我知道了
右上角分享
点击右上角分享
0
联系我们:info@booksci.cn Book学术提供免费学术资源搜索服务,方便国内外学者检索中英文文献。致力于提供最便捷和优质的服务体验。 Copyright © 2023 布克学术 All rights reserved.
京ICP备2023020795号-1
ghs 京公网安备 11010802042870号
Book学术文献互助
Book学术文献互助群
群 号:604180095
Book学术官方微信