痔疮和心血管疾病:一项双向孟德尔随机研究。

IF 1.6 4区 医学 Q2 MEDICINE, GENERAL & INTERNAL
Open Medicine Pub Date : 2025-08-19 eCollection Date: 2025-01-01 DOI:10.1515/med-2025-1256
Xin Ge, Weixin Tang, Jingmin Ni
{"title":"痔疮和心血管疾病:一项双向孟德尔随机研究。","authors":"Xin Ge, Weixin Tang, Jingmin Ni","doi":"10.1515/med-2025-1256","DOIUrl":null,"url":null,"abstract":"<p><strong>Background: </strong>Emerging evidence suggests that hemorrhoids are associated with cardiovascular disease (CVD). However, the causal associations between hemorrhoids and CVD remain elusive. This study aimed to investigate potential causal links between hemorrhoids and various heart conditions, including arrhythmia, heart failure, myocardial infarction, atrial fibrillation, and coronary artery disease.</p><p><strong>Methods: </strong>A two-sample bidirectional Mendelian randomization (MR) analysis was conducted using summary statistics of hemorrhoids and CVD from publicly available genome-wide association studies (GWAS). The MR analyses utilized inverse-variance weighted, weighted median, weighted mode, and MR-Egger methods. Sensitivity analyses included Cochran's <i>Q</i> test, MR-Egger regression, MR pleiotropy residual sum and outlier (MR-PRESSO), and leave-one-out analysis. A radial MR analysis was performed after excluding outliers.</p><p><strong>Results: </strong>Genetically determined hemorrhoids did not exhibit a causal effect on arrhythmia (OR = 0.9998, <i>P</i> = 0.83), heart failure (OR = 0.94, <i>P</i> = 0.14), myocardial infarction (OR = 0.94, <i>P</i> = 0.27), atrial fibrillation (OR = 0.98, <i>P</i> = 0.55), or coronary artery disease (OR = 0.99, <i>P</i> = 0.84). The reverse analysis yielded similar results. Consistent results were observed with alternative MR methods, and the absence of significant heterogeneity was confirmed. The radial MR analyses support the conclusions in the forward and reverse analyses.</p><p><strong>Conclusions: </strong>This bidirectional MR analysis did not find statistical causal association between hemorrhoids and CVD, suggesting the possibility of shared risk factors such as obesity and diet. Further prevention strategies for CVD could focus on the management of common risk factors.</p>","PeriodicalId":19715,"journal":{"name":"Open Medicine","volume":"20 1","pages":"20251256"},"PeriodicalIF":1.6000,"publicationDate":"2025-08-19","publicationTypes":"Journal Article","fieldsOfStudy":null,"isOpenAccess":false,"openAccessPdf":"https://www.ncbi.nlm.nih.gov/pmc/articles/PMC12413786/pdf/","citationCount":"0","resultStr":"{\"title\":\"Hemorrhoids and cardiovascular disease: A bidirectional Mendelian randomization study.\",\"authors\":\"Xin Ge, Weixin Tang, Jingmin Ni\",\"doi\":\"10.1515/med-2025-1256\",\"DOIUrl\":null,\"url\":null,\"abstract\":\"<p><strong>Background: </strong>Emerging evidence suggests that hemorrhoids are associated with cardiovascular disease (CVD). However, the causal associations between hemorrhoids and CVD remain elusive. This study aimed to investigate potential causal links between hemorrhoids and various heart conditions, including arrhythmia, heart failure, myocardial infarction, atrial fibrillation, and coronary artery disease.</p><p><strong>Methods: </strong>A two-sample bidirectional Mendelian randomization (MR) analysis was conducted using summary statistics of hemorrhoids and CVD from publicly available genome-wide association studies (GWAS). The MR analyses utilized inverse-variance weighted, weighted median, weighted mode, and MR-Egger methods. Sensitivity analyses included Cochran's <i>Q</i> test, MR-Egger regression, MR pleiotropy residual sum and outlier (MR-PRESSO), and leave-one-out analysis. A radial MR analysis was performed after excluding outliers.</p><p><strong>Results: </strong>Genetically determined hemorrhoids did not exhibit a causal effect on arrhythmia (OR = 0.9998, <i>P</i> = 0.83), heart failure (OR = 0.94, <i>P</i> = 0.14), myocardial infarction (OR = 0.94, <i>P</i> = 0.27), atrial fibrillation (OR = 0.98, <i>P</i> = 0.55), or coronary artery disease (OR = 0.99, <i>P</i> = 0.84). The reverse analysis yielded similar results. Consistent results were observed with alternative MR methods, and the absence of significant heterogeneity was confirmed. The radial MR analyses support the conclusions in the forward and reverse analyses.</p><p><strong>Conclusions: </strong>This bidirectional MR analysis did not find statistical causal association between hemorrhoids and CVD, suggesting the possibility of shared risk factors such as obesity and diet. Further prevention strategies for CVD could focus on the management of common risk factors.</p>\",\"PeriodicalId\":19715,\"journal\":{\"name\":\"Open Medicine\",\"volume\":\"20 1\",\"pages\":\"20251256\"},\"PeriodicalIF\":1.6000,\"publicationDate\":\"2025-08-19\",\"publicationTypes\":\"Journal Article\",\"fieldsOfStudy\":null,\"isOpenAccess\":false,\"openAccessPdf\":\"https://www.ncbi.nlm.nih.gov/pmc/articles/PMC12413786/pdf/\",\"citationCount\":\"0\",\"resultStr\":null,\"platform\":\"Semanticscholar\",\"paperid\":null,\"PeriodicalName\":\"Open Medicine\",\"FirstCategoryId\":\"3\",\"ListUrlMain\":\"https://doi.org/10.1515/med-2025-1256\",\"RegionNum\":4,\"RegionCategory\":\"医学\",\"ArticlePicture\":[],\"TitleCN\":null,\"AbstractTextCN\":null,\"PMCID\":null,\"EPubDate\":\"2025/1/1 0:00:00\",\"PubModel\":\"eCollection\",\"JCR\":\"Q2\",\"JCRName\":\"MEDICINE, GENERAL & INTERNAL\",\"Score\":null,\"Total\":0}","platform":"Semanticscholar","paperid":null,"PeriodicalName":"Open Medicine","FirstCategoryId":"3","ListUrlMain":"https://doi.org/10.1515/med-2025-1256","RegionNum":4,"RegionCategory":"医学","ArticlePicture":[],"TitleCN":null,"AbstractTextCN":null,"PMCID":null,"EPubDate":"2025/1/1 0:00:00","PubModel":"eCollection","JCR":"Q2","JCRName":"MEDICINE, GENERAL & INTERNAL","Score":null,"Total":0}
引用次数: 0

摘要

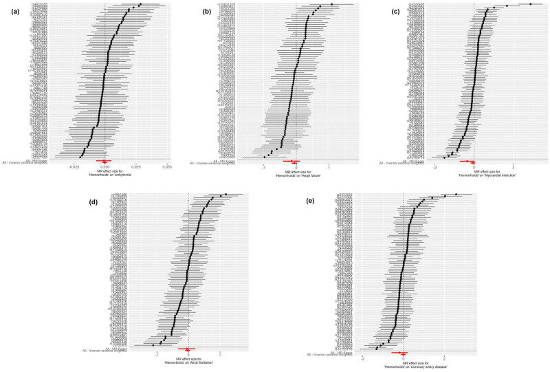
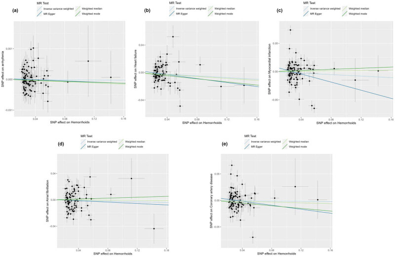
背景:越来越多的证据表明痔疮与心血管疾病(CVD)有关。然而,痔疮和心血管疾病之间的因果关系仍然难以捉摸。本研究旨在探讨痔疮与各种心脏疾病之间的潜在因果关系,包括心律失常、心力衰竭、心肌梗死、心房颤动和冠状动脉疾病。方法:利用公开的全基因组关联研究(GWAS)中痔疮和心血管疾病的汇总统计数据,进行双样本双向孟德尔随机化(MR)分析。磁共振分析采用反方差加权、加权中位数、加权模式和MR- egger方法。敏感性分析包括Cochran’s Q检验、MR- egger回归、MR多效残差和异常值(MR- presso)和留一分析。排除异常值后进行径向磁共振分析。结果:遗传决定的痔疮对心律失常(OR = 0.9998, P = 0.83)、心力衰竭(OR = 0.94, P = 0.14)、心肌梗死(OR = 0.94, P = 0.27)、心房颤动(OR = 0.98, P = 0.55)或冠状动脉疾病(OR = 0.99, P = 0.84)没有因果关系。反向分析得出了类似的结果。用其他MR方法观察到一致的结果,并且没有明显的异质性被证实。径向MR分析支持正向和反向分析的结论。结论:该双向MR分析未发现痔疮和心血管疾病之间存在统计学上的因果关系,提示可能存在肥胖和饮食等共同的危险因素。心血管疾病的进一步预防策略可侧重于共同风险因素的管理。
本文章由计算机程序翻译,如有差异,请以英文原文为准。

Hemorrhoids and cardiovascular disease: A bidirectional Mendelian randomization study.

Hemorrhoids and cardiovascular disease: A bidirectional Mendelian randomization study.

Hemorrhoids and cardiovascular disease: A bidirectional Mendelian randomization study.

Hemorrhoids and cardiovascular disease: A bidirectional Mendelian randomization study.

Background: Emerging evidence suggests that hemorrhoids are associated with cardiovascular disease (CVD). However, the causal associations between hemorrhoids and CVD remain elusive. This study aimed to investigate potential causal links between hemorrhoids and various heart conditions, including arrhythmia, heart failure, myocardial infarction, atrial fibrillation, and coronary artery disease.

Methods: A two-sample bidirectional Mendelian randomization (MR) analysis was conducted using summary statistics of hemorrhoids and CVD from publicly available genome-wide association studies (GWAS). The MR analyses utilized inverse-variance weighted, weighted median, weighted mode, and MR-Egger methods. Sensitivity analyses included Cochran's Q test, MR-Egger regression, MR pleiotropy residual sum and outlier (MR-PRESSO), and leave-one-out analysis. A radial MR analysis was performed after excluding outliers.

Results: Genetically determined hemorrhoids did not exhibit a causal effect on arrhythmia (OR = 0.9998, P = 0.83), heart failure (OR = 0.94, P = 0.14), myocardial infarction (OR = 0.94, P = 0.27), atrial fibrillation (OR = 0.98, P = 0.55), or coronary artery disease (OR = 0.99, P = 0.84). The reverse analysis yielded similar results. Consistent results were observed with alternative MR methods, and the absence of significant heterogeneity was confirmed. The radial MR analyses support the conclusions in the forward and reverse analyses.

Conclusions: This bidirectional MR analysis did not find statistical causal association between hemorrhoids and CVD, suggesting the possibility of shared risk factors such as obesity and diet. Further prevention strategies for CVD could focus on the management of common risk factors.

求助全文
通过发布文献求助,成功后即可免费获取论文全文。 去求助
来源期刊
Open Medicine
Open Medicine Medicine-General Medicine
CiteScore
3.00
自引率
0.00%
发文量
153
审稿时长
20 weeks
期刊介绍: Open Medicine is an open access journal that provides users with free, instant, and continued access to all content worldwide. The primary goal of the journal has always been a focus on maintaining the high quality of its published content. Its mission is to facilitate the exchange of ideas between medical science researchers from different countries. Papers connected to all fields of medicine and public health are welcomed. Open Medicine accepts submissions of research articles, reviews, case reports, letters to editor and book reviews.
×
引用
GB/T 7714-2015
复制
MLA
复制
APA
复制
导出至
BibTeX EndNote RefMan NoteFirst NoteExpress
×
提示
您的信息不完整,为了账户安全,请先补充。
现在去补充
×
提示
您因"违规操作"
具体请查看互助需知
我知道了
×
提示
确定
请完成安全验证×
copy
已复制链接
快去分享给好友吧!
我知道了
右上角分享
点击右上角分享
0
联系我们:info@booksci.cn Book学术提供免费学术资源搜索服务,方便国内外学者检索中英文文献。致力于提供最便捷和优质的服务体验。 Copyright © 2023 布克学术 All rights reserved.
京ICP备2023020795号-1
ghs 京公网安备 11010802042870号
Book学术文献互助
Book学术文献互助群
群 号:604180095
Book学术官方微信