长叶靛蓝对沙氏疟原虫感染肺组织形态计量学分析及免疫生物学研究。

IF 1.7 4区 生物学 Q3 BIOLOGY
Open Life Sciences Pub Date : 2025-08-20 eCollection Date: 2025-01-01 DOI:10.1515/biol-2025-1110
Mutee Murshed, Jameel Al-Tamimi, Hossam Ebaid, Saleh Al-Quraishy
{"title":"长叶靛蓝对沙氏疟原虫感染肺组织形态计量学分析及免疫生物学研究。","authors":"Mutee Murshed, Jameel Al-Tamimi, Hossam Ebaid, Saleh Al-Quraishy","doi":"10.1515/biol-2025-1110","DOIUrl":null,"url":null,"abstract":"<p><p>The present study aimed to evaluate the therapeutic potential of <i>Indigofera oblongifolia</i> with silver nanoparticles (AgNPs) and chloroquine (CQ) 10 mg/kg in treating lung inflammation caused by <i>Plasmodium chabaudi</i> infection in a mouse model. Fifty female C57BL/6 mice were divided into five groups: control, <i>Indigofera oblongifolia</i> leaf extract (IOLE) AgNPs treated, <i>P. chabaudi</i> infected, infected and IOLE AgNPs treated, infected and CQ 10 mg/kg treated. Lung histopathology was assessed using microscopic analysis and immunohistochemistry investigation for TNF-α and IL-6. The results showed that the positive control of AgNPs slightly triggered proinflammatory cytokines and created an oxidative stress status in lung tissue. The group IOLE AgNPs treatment significantly restored the normal organization of the control lung tissue. It reduced alveolar and septal congestion, edema, and necrosis compared to the infected lung. Therefore <i>I. oblongifolia</i> as a natural medical plant displayed significant antimalarial and anti-oxidant properties effectively, reducing inflammatory signs and cytokine levels in <i>P. chabaudi</i>-infected lungs and treating the harmful impact of AgNPs in <i>P. chabaudi</i>-infected + <i>I. oblongifolia</i> with AgNPs lung. While CQ shows limited efficiency, it showed moderate improvement in the histological architecture such as thicker alveolar and bronchiolar walls and restricted expansion. However, the septal and alveolar congestion, hemosiderin concentration, edema, and necrotic cells were still present. Also, immunohistochemistry expression of proinflammatory cytokines is still expressed. In conclusion, this study highlights the therapeutic potential of <i>I. oblongifolia</i> for malaria management. Also, this study uniquely explored the combined influences of <i>I. oblongifolia</i> leaf extract and AgNPs on lung inflammation caused by <i>P. chabaudi</i> infection. Previous studies may have explored these components separately, but the current study examines their synergistic potential in treating malaria-related lung pathology. Consequently, the study compared the efficacy of <i>I. oblongifolia</i> with that of CQ, revealing that the latter exhibited limited efficiency due to drug resistance and its inability to restore the normal features of its histology. This comparison highlights the potential impact <i>of I. oblongifolia</i> as a more effective alternative in malaria treatment, particularly in cases where conventional drugs fail.</p>","PeriodicalId":19605,"journal":{"name":"Open Life Sciences","volume":"20 1","pages":"20251110"},"PeriodicalIF":1.7000,"publicationDate":"2025-08-20","publicationTypes":"Journal Article","fieldsOfStudy":null,"isOpenAccess":false,"openAccessPdf":"https://www.ncbi.nlm.nih.gov/pmc/articles/PMC12412376/pdf/","citationCount":"0","resultStr":"{\"title\":\"Morphometric analysis and immunobiological investigation of <i>Indigofera oblongifolia</i> on the infected lung with <i>Plasmodium chabaudi</i>.\",\"authors\":\"Mutee Murshed, Jameel Al-Tamimi, Hossam Ebaid, Saleh Al-Quraishy\",\"doi\":\"10.1515/biol-2025-1110\",\"DOIUrl\":null,\"url\":null,\"abstract\":\"<p><p>The present study aimed to evaluate the therapeutic potential of <i>Indigofera oblongifolia</i> with silver nanoparticles (AgNPs) and chloroquine (CQ) 10 mg/kg in treating lung inflammation caused by <i>Plasmodium chabaudi</i> infection in a mouse model. Fifty female C57BL/6 mice were divided into five groups: control, <i>Indigofera oblongifolia</i> leaf extract (IOLE) AgNPs treated, <i>P. chabaudi</i> infected, infected and IOLE AgNPs treated, infected and CQ 10 mg/kg treated. Lung histopathology was assessed using microscopic analysis and immunohistochemistry investigation for TNF-α and IL-6. The results showed that the positive control of AgNPs slightly triggered proinflammatory cytokines and created an oxidative stress status in lung tissue. The group IOLE AgNPs treatment significantly restored the normal organization of the control lung tissue. It reduced alveolar and septal congestion, edema, and necrosis compared to the infected lung. Therefore <i>I. oblongifolia</i> as a natural medical plant displayed significant antimalarial and anti-oxidant properties effectively, reducing inflammatory signs and cytokine levels in <i>P. chabaudi</i>-infected lungs and treating the harmful impact of AgNPs in <i>P. chabaudi</i>-infected + <i>I. oblongifolia</i> with AgNPs lung. While CQ shows limited efficiency, it showed moderate improvement in the histological architecture such as thicker alveolar and bronchiolar walls and restricted expansion. However, the septal and alveolar congestion, hemosiderin concentration, edema, and necrotic cells were still present. Also, immunohistochemistry expression of proinflammatory cytokines is still expressed. In conclusion, this study highlights the therapeutic potential of <i>I. oblongifolia</i> for malaria management. Also, this study uniquely explored the combined influences of <i>I. oblongifolia</i> leaf extract and AgNPs on lung inflammation caused by <i>P. chabaudi</i> infection. Previous studies may have explored these components separately, but the current study examines their synergistic potential in treating malaria-related lung pathology. Consequently, the study compared the efficacy of <i>I. oblongifolia</i> with that of CQ, revealing that the latter exhibited limited efficiency due to drug resistance and its inability to restore the normal features of its histology. This comparison highlights the potential impact <i>of I. oblongifolia</i> as a more effective alternative in malaria treatment, particularly in cases where conventional drugs fail.</p>\",\"PeriodicalId\":19605,\"journal\":{\"name\":\"Open Life Sciences\",\"volume\":\"20 1\",\"pages\":\"20251110\"},\"PeriodicalIF\":1.7000,\"publicationDate\":\"2025-08-20\",\"publicationTypes\":\"Journal Article\",\"fieldsOfStudy\":null,\"isOpenAccess\":false,\"openAccessPdf\":\"https://www.ncbi.nlm.nih.gov/pmc/articles/PMC12412376/pdf/\",\"citationCount\":\"0\",\"resultStr\":null,\"platform\":\"Semanticscholar\",\"paperid\":null,\"PeriodicalName\":\"Open Life Sciences\",\"FirstCategoryId\":\"99\",\"ListUrlMain\":\"https://doi.org/10.1515/biol-2025-1110\",\"RegionNum\":4,\"RegionCategory\":\"生物学\",\"ArticlePicture\":[],\"TitleCN\":null,\"AbstractTextCN\":null,\"PMCID\":null,\"EPubDate\":\"2025/1/1 0:00:00\",\"PubModel\":\"eCollection\",\"JCR\":\"Q3\",\"JCRName\":\"BIOLOGY\",\"Score\":null,\"Total\":0}","platform":"Semanticscholar","paperid":null,"PeriodicalName":"Open Life Sciences","FirstCategoryId":"99","ListUrlMain":"https://doi.org/10.1515/biol-2025-1110","RegionNum":4,"RegionCategory":"生物学","ArticlePicture":[],"TitleCN":null,"AbstractTextCN":null,"PMCID":null,"EPubDate":"2025/1/1 0:00:00","PubModel":"eCollection","JCR":"Q3","JCRName":"BIOLOGY","Score":null,"Total":0}
引用次数: 0

摘要

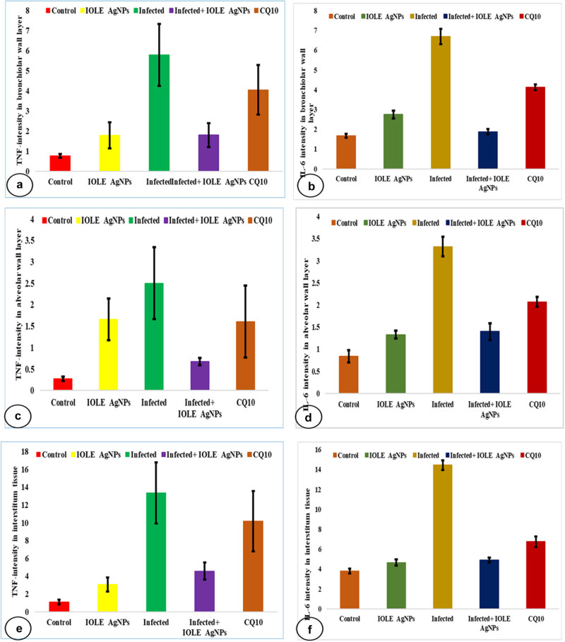
本研究旨在评价银纳米颗粒(AgNPs)和氯喹(CQ) 10 mg/kg对小鼠模型chabaudi疟原虫感染引起的肺部炎症的治疗潜力。将50只雌性C57BL/6小鼠分为5组:对照组、靛蓝叶提取物(IOLE) AgNPs处理组、感染组、感染组和IOLE AgNPs处理组、感染组和CQ 10 mg/kg处理组。采用显微分析和免疫组化检测TNF-α和IL-6评估肺组织病理学。结果表明,AgNPs阳性对照轻微触发促炎细胞因子,并在肺组织中产生氧化应激状态。IOLE AgNPs治疗组明显恢复对照组肺组织的正常组织。与感染的肺相比,它减少了肺泡和间隔充血、水肿和坏死。因此,作为一种天然药用植物,长叶荷叶具有显著的抗疟疾和抗氧化特性,可有效降低chababdi感染肺部的炎症体征和细胞因子水平,治疗AgNPs对chababdi感染+长叶荷叶肺部的有害影响。虽然CQ的疗效有限,但它对组织学结构有中度改善,如肺泡和细支气管壁增厚,扩张受限。然而,鼻中隔和肺泡充血,含铁血黄素浓度,水肿和坏死细胞仍然存在。此外,促炎细胞因子的免疫组化表达仍有表达。综上所述,本研究强调了长叶莲在疟疾管理方面的治疗潜力。此外,本研究还独特地探索了长叶提取物和AgNPs对chabaudi感染引起的肺部炎症的联合影响。以前的研究可能已经分别探索了这些成分,但目前的研究考察了它们在治疗疟疾相关肺部病理方面的协同潜力。因此,本研究比较了黄连叶和黄连叶的疗效,发现黄连叶由于耐药和无法恢复其正常组织学特征,其疗效有限。这一比较突出了一种更有效的替代疟疾治疗方法的潜在影响,特别是在常规药物失效的情况下。
本文章由计算机程序翻译,如有差异,请以英文原文为准。

Morphometric analysis and immunobiological investigation of <i>Indigofera oblongifolia</i> on the infected lung with <i>Plasmodium chabaudi</i>.

Morphometric analysis and immunobiological investigation of <i>Indigofera oblongifolia</i> on the infected lung with <i>Plasmodium chabaudi</i>.

Morphometric analysis and immunobiological investigation of <i>Indigofera oblongifolia</i> on the infected lung with <i>Plasmodium chabaudi</i>.

Morphometric analysis and immunobiological investigation of Indigofera oblongifolia on the infected lung with Plasmodium chabaudi.

The present study aimed to evaluate the therapeutic potential of Indigofera oblongifolia with silver nanoparticles (AgNPs) and chloroquine (CQ) 10 mg/kg in treating lung inflammation caused by Plasmodium chabaudi infection in a mouse model. Fifty female C57BL/6 mice were divided into five groups: control, Indigofera oblongifolia leaf extract (IOLE) AgNPs treated, P. chabaudi infected, infected and IOLE AgNPs treated, infected and CQ 10 mg/kg treated. Lung histopathology was assessed using microscopic analysis and immunohistochemistry investigation for TNF-α and IL-6. The results showed that the positive control of AgNPs slightly triggered proinflammatory cytokines and created an oxidative stress status in lung tissue. The group IOLE AgNPs treatment significantly restored the normal organization of the control lung tissue. It reduced alveolar and septal congestion, edema, and necrosis compared to the infected lung. Therefore I. oblongifolia as a natural medical plant displayed significant antimalarial and anti-oxidant properties effectively, reducing inflammatory signs and cytokine levels in P. chabaudi-infected lungs and treating the harmful impact of AgNPs in P. chabaudi-infected + I. oblongifolia with AgNPs lung. While CQ shows limited efficiency, it showed moderate improvement in the histological architecture such as thicker alveolar and bronchiolar walls and restricted expansion. However, the septal and alveolar congestion, hemosiderin concentration, edema, and necrotic cells were still present. Also, immunohistochemistry expression of proinflammatory cytokines is still expressed. In conclusion, this study highlights the therapeutic potential of I. oblongifolia for malaria management. Also, this study uniquely explored the combined influences of I. oblongifolia leaf extract and AgNPs on lung inflammation caused by P. chabaudi infection. Previous studies may have explored these components separately, but the current study examines their synergistic potential in treating malaria-related lung pathology. Consequently, the study compared the efficacy of I. oblongifolia with that of CQ, revealing that the latter exhibited limited efficiency due to drug resistance and its inability to restore the normal features of its histology. This comparison highlights the potential impact of I. oblongifolia as a more effective alternative in malaria treatment, particularly in cases where conventional drugs fail.

求助全文
通过发布文献求助,成功后即可免费获取论文全文。 去求助
来源期刊
CiteScore
2.50
自引率
4.50%
发文量
131
审稿时长
43 weeks
期刊介绍: Open Life Sciences (previously Central European Journal of Biology) is a fast growing peer-reviewed journal, devoted to scholarly research in all areas of life sciences, such as molecular biology, plant science, biotechnology, cell biology, biochemistry, biophysics, microbiology and virology, ecology, differentiation and development, genetics and many others. Open Life Sciences assures top quality of published data through critical peer review and editorial involvement throughout the whole publication process. Thanks to the Open Access model of publishing, it also offers unrestricted access to published articles for all users.
×
引用
GB/T 7714-2015
复制
MLA
复制
APA
复制
导出至
BibTeX EndNote RefMan NoteFirst NoteExpress
×
提示
您的信息不完整,为了账户安全,请先补充。
现在去补充
×
提示
您因"违规操作"
具体请查看互助需知
我知道了
×
提示
确定
请完成安全验证×
copy
已复制链接
快去分享给好友吧!
我知道了
右上角分享
点击右上角分享
0
联系我们:info@booksci.cn Book学术提供免费学术资源搜索服务,方便国内外学者检索中英文文献。致力于提供最便捷和优质的服务体验。 Copyright © 2023 布克学术 All rights reserved.
京ICP备2023020795号-1
ghs 京公网安备 11010802042870号
Book学术文献互助
Book学术文献互助群
群 号:604180095
Book学术官方微信