氧气消耗动力学受损和自主神经功能障碍导致肥胖年轻男性在持续运动中疲劳增加。

IF 1.6 Q3 REHABILITATION
Journal of Exercise Rehabilitation Pub Date : 2025-08-31 eCollection Date: 2025-08-01 DOI:10.12965/jer.2550358.179
Jatuporn Phoemsapthawee, Surasak Phoemsapthawee
{"title":"氧气消耗动力学受损和自主神经功能障碍导致肥胖年轻男性在持续运动中疲劳增加。","authors":"Jatuporn Phoemsapthawee, Surasak Phoemsapthawee","doi":"10.12965/jer.2550358.179","DOIUrl":null,"url":null,"abstract":"<p><p>Obesity is associated with reduced exercise tolerance, yet the physiological mechanisms underlying this impairment remain unclear. This study examined whether oxygen uptake (V̇O<sub>2</sub>) kinetics reflect autonomic regulation during prolonged moderate-intensity exercise in normal-weight and obese males. This cross-sectional study included nine normal-weight and nine obese males (aged 20-22) who performed 30 min of constant-load cycling at 70% of ventilatory threshold to assess V̇O<sub>2</sub> kinetics and heart rate variability (HRV) responses. V̇O<sub>2</sub> kinetics parameters-including the time constant (τ), which reflects the rate of cardiopulmonary and muscular adjustment to exercise, and the V̇O<sub>2</sub> drift slope-were analyzed. HRV was assessed at rest and during exercise. Changes in HRV and their correlations with V̇O<sub>2</sub> kinetics and perceived fatigue were evaluated. The obese group had a significantly longer τ than the normal-weight group, despite similar relative intensities. During exercise, HRV indices-including overall HRV, low-frequency, very low-frequency, and the standard deviation along the line of identity (SD2) -were significantly lower in the obese group, indicating attenuated autonomic responsiveness. In the normal-weight group, the slope was strongly correlated with the changes in the root mean square of successive differences, the high-frequency power, the standard deviation perpendicular to the line of identity (SD1), and SD1/SD2 (<i>r</i>=-0.769 to -0.857; <i>P</i><0.05), whereas these associations were absent in the obese group. These findings suggest that in normal-weight individuals, V̇O<sub>2</sub> kinetics are closely linked to autonomic modulation during prolonged exercise, whereas this link is disrupted in obesity, potentially leading to reduced aerobic efficiency and greater exercise intolerance.</p>","PeriodicalId":15771,"journal":{"name":"Journal of Exercise Rehabilitation","volume":"21 4","pages":"219-230"},"PeriodicalIF":1.6000,"publicationDate":"2025-08-31","publicationTypes":"Journal Article","fieldsOfStudy":null,"isOpenAccess":false,"openAccessPdf":"https://www.ncbi.nlm.nih.gov/pmc/articles/PMC12409150/pdf/","citationCount":"0","resultStr":"{\"title\":\"Impaired oxygen consumption kinetics and autonomic dysfunction contribute to increased fatigue in obese young males during sustained exercise.\",\"authors\":\"Jatuporn Phoemsapthawee, Surasak Phoemsapthawee\",\"doi\":\"10.12965/jer.2550358.179\",\"DOIUrl\":null,\"url\":null,\"abstract\":\"<p><p>Obesity is associated with reduced exercise tolerance, yet the physiological mechanisms underlying this impairment remain unclear. This study examined whether oxygen uptake (V̇O<sub>2</sub>) kinetics reflect autonomic regulation during prolonged moderate-intensity exercise in normal-weight and obese males. This cross-sectional study included nine normal-weight and nine obese males (aged 20-22) who performed 30 min of constant-load cycling at 70% of ventilatory threshold to assess V̇O<sub>2</sub> kinetics and heart rate variability (HRV) responses. V̇O<sub>2</sub> kinetics parameters-including the time constant (τ), which reflects the rate of cardiopulmonary and muscular adjustment to exercise, and the V̇O<sub>2</sub> drift slope-were analyzed. HRV was assessed at rest and during exercise. Changes in HRV and their correlations with V̇O<sub>2</sub> kinetics and perceived fatigue were evaluated. The obese group had a significantly longer τ than the normal-weight group, despite similar relative intensities. During exercise, HRV indices-including overall HRV, low-frequency, very low-frequency, and the standard deviation along the line of identity (SD2) -were significantly lower in the obese group, indicating attenuated autonomic responsiveness. In the normal-weight group, the slope was strongly correlated with the changes in the root mean square of successive differences, the high-frequency power, the standard deviation perpendicular to the line of identity (SD1), and SD1/SD2 (<i>r</i>=-0.769 to -0.857; <i>P</i><0.05), whereas these associations were absent in the obese group. These findings suggest that in normal-weight individuals, V̇O<sub>2</sub> kinetics are closely linked to autonomic modulation during prolonged exercise, whereas this link is disrupted in obesity, potentially leading to reduced aerobic efficiency and greater exercise intolerance.</p>\",\"PeriodicalId\":15771,\"journal\":{\"name\":\"Journal of Exercise Rehabilitation\",\"volume\":\"21 4\",\"pages\":\"219-230\"},\"PeriodicalIF\":1.6000,\"publicationDate\":\"2025-08-31\",\"publicationTypes\":\"Journal Article\",\"fieldsOfStudy\":null,\"isOpenAccess\":false,\"openAccessPdf\":\"https://www.ncbi.nlm.nih.gov/pmc/articles/PMC12409150/pdf/\",\"citationCount\":\"0\",\"resultStr\":null,\"platform\":\"Semanticscholar\",\"paperid\":null,\"PeriodicalName\":\"Journal of Exercise Rehabilitation\",\"FirstCategoryId\":\"1085\",\"ListUrlMain\":\"https://doi.org/10.12965/jer.2550358.179\",\"RegionNum\":0,\"RegionCategory\":null,\"ArticlePicture\":[],\"TitleCN\":null,\"AbstractTextCN\":null,\"PMCID\":null,\"EPubDate\":\"2025/8/1 0:00:00\",\"PubModel\":\"eCollection\",\"JCR\":\"Q3\",\"JCRName\":\"REHABILITATION\",\"Score\":null,\"Total\":0}","platform":"Semanticscholar","paperid":null,"PeriodicalName":"Journal of Exercise Rehabilitation","FirstCategoryId":"1085","ListUrlMain":"https://doi.org/10.12965/jer.2550358.179","RegionNum":0,"RegionCategory":null,"ArticlePicture":[],"TitleCN":null,"AbstractTextCN":null,"PMCID":null,"EPubDate":"2025/8/1 0:00:00","PubModel":"eCollection","JCR":"Q3","JCRName":"REHABILITATION","Score":null,"Total":0}
引用次数: 0

摘要

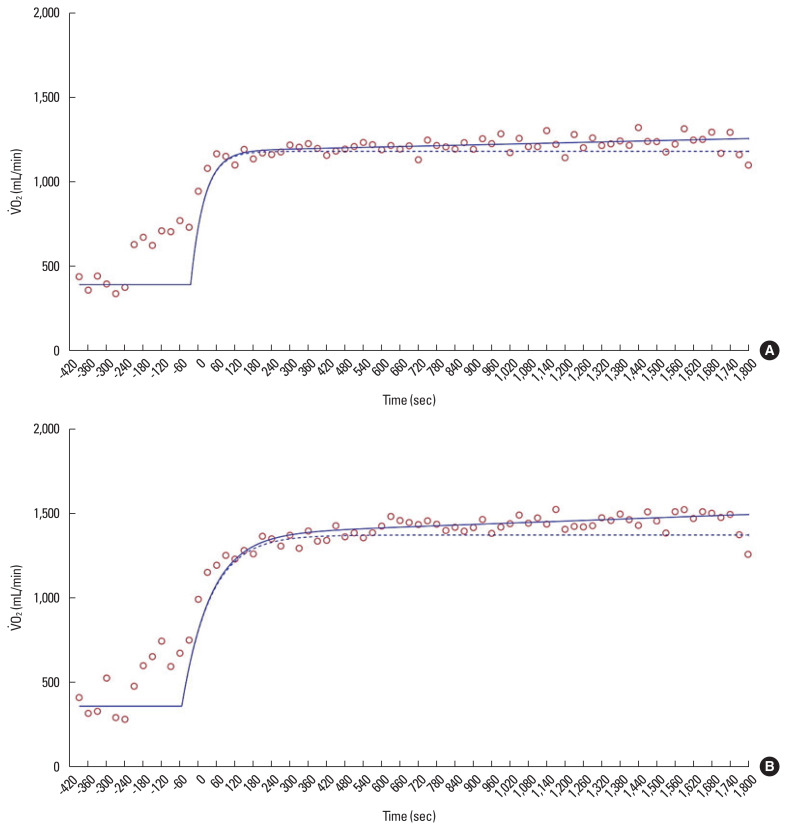
肥胖与运动耐受性降低有关,但这种损害背后的生理机制尚不清楚。本研究考察了正常体重和肥胖男性在长时间中等强度运动中,氧摄取(V / O2)动力学是否反映了自主调节。这项横断面研究包括9名正常体重和9名肥胖男性(20-22岁),他们在70%的通气阈值下进行30分钟的恒定负荷循环,以评估V / O2动力学和心率变异性(HRV)反应。分析了V / O2动力学参数,包括反映心肺和肌肉对运动调节速度的时间常数τ和V / O2漂移斜率。在休息和运动时评估HRV。评估HRV的变化及其与V / O2动力学和感知疲劳的相关性。尽管相对强度相似,肥胖组的τ明显长于正常体重组。在运动过程中,肥胖组的HRV指数(包括总体HRV、低频、极低频和沿同一性线的标准偏差(SD2))显著降低,表明自主反应减弱。在正常体重组中,斜率与连续差的均方根、高频功率、垂直于同一线的标准差(SD1)和SD1/SD2的变化密切相关(r=-0.769至-0.857);P2动力学与长时间运动中的自主调节密切相关,而这种联系在肥胖中被破坏,可能导致有氧效率降低和更大的运动耐受性。
本文章由计算机程序翻译,如有差异,请以英文原文为准。

Impaired oxygen consumption kinetics and autonomic dysfunction contribute to increased fatigue in obese young males during sustained exercise.

Impaired oxygen consumption kinetics and autonomic dysfunction contribute to increased fatigue in obese young males during sustained exercise.

Impaired oxygen consumption kinetics and autonomic dysfunction contribute to increased fatigue in obese young males during sustained exercise.

Obesity is associated with reduced exercise tolerance, yet the physiological mechanisms underlying this impairment remain unclear. This study examined whether oxygen uptake (V̇O2) kinetics reflect autonomic regulation during prolonged moderate-intensity exercise in normal-weight and obese males. This cross-sectional study included nine normal-weight and nine obese males (aged 20-22) who performed 30 min of constant-load cycling at 70% of ventilatory threshold to assess V̇O2 kinetics and heart rate variability (HRV) responses. V̇O2 kinetics parameters-including the time constant (τ), which reflects the rate of cardiopulmonary and muscular adjustment to exercise, and the V̇O2 drift slope-were analyzed. HRV was assessed at rest and during exercise. Changes in HRV and their correlations with V̇O2 kinetics and perceived fatigue were evaluated. The obese group had a significantly longer τ than the normal-weight group, despite similar relative intensities. During exercise, HRV indices-including overall HRV, low-frequency, very low-frequency, and the standard deviation along the line of identity (SD2) -were significantly lower in the obese group, indicating attenuated autonomic responsiveness. In the normal-weight group, the slope was strongly correlated with the changes in the root mean square of successive differences, the high-frequency power, the standard deviation perpendicular to the line of identity (SD1), and SD1/SD2 (r=-0.769 to -0.857; P<0.05), whereas these associations were absent in the obese group. These findings suggest that in normal-weight individuals, V̇O2 kinetics are closely linked to autonomic modulation during prolonged exercise, whereas this link is disrupted in obesity, potentially leading to reduced aerobic efficiency and greater exercise intolerance.

求助全文
通过发布文献求助,成功后即可免费获取论文全文。 去求助
来源期刊
CiteScore
3.50
自引率
5.30%
发文量
45
审稿时长
10 weeks
期刊介绍: The Journal of Exercise Rehabilitation is the official journal of the Korean Society of Exercise Rehabilitation, and is published six times a year. Supplementary issues may be published. Its official abbreviation is "J Exerc Rehabil". It was launched in 2005. The title of the first volume was Journal of the Korean Society of Exercise Rehabilitation (pISSN 1976-6319). The journal title was changed to Journal of Exercise Rehabilitation from Volume 9 Number 2, 2013. The effects of exercise rehabilitation are very broad and in some cases exercise rehabilitation has different treatment areas than traditional rehabilitation. Exercise rehabilitation can be presented as a solution to new diseases in modern society and it can replace traditional medicine in economically disadvantaged areas. Exercise rehabilitation is very effective in overcoming metabolic diseases and also has no side effects. Furthermore, exercise rehabilitation shows new possibility for neuropsychiatric diseases, such as depression, autism, attention deficit hyperactivity disorder, schizophrenia, etc. The purpose of the Journal of Exercise Rehabilitation is to identify the effects of exercise rehabilitation on a variety of diseases and to identify mechanisms for exercise rehabilitation treatment. The Journal of Exercise Rehabilitation aims to serve as an intermediary for objective and scientific validation on the effects of exercise rehabilitation worldwide. The types of manuscripts include research articles, review articles, and articles invited by the Editorial Board. The Journal of Exercise Rehabilitation contains 6 sections: Basic research on exercise rehabilitation, Clinical research on exercise rehabilitation, Exercise rehabilitation pedagogy, Exercise rehabilitation education, Exercise rehabilitation psychology, and Exercise rehabilitation welfare.
×
引用
GB/T 7714-2015
复制
MLA
复制
APA
复制
导出至
BibTeX EndNote RefMan NoteFirst NoteExpress
×
提示
您的信息不完整,为了账户安全,请先补充。
现在去补充
×
提示
您因"违规操作"
具体请查看互助需知
我知道了
×
提示
确定
请完成安全验证×
copy
已复制链接
快去分享给好友吧!
我知道了
右上角分享
点击右上角分享
0
联系我们:info@booksci.cn Book学术提供免费学术资源搜索服务,方便国内外学者检索中英文文献。致力于提供最便捷和优质的服务体验。 Copyright © 2023 布克学术 All rights reserved.
京ICP备2023020795号-1
ghs 京公网安备 11010802042870号
Book学术文献互助
Book学术文献互助群
群 号:604180095
Book学术官方微信