一项横断面研究:久坐正常、超重和肥胖成年人脑结构容量的比较。

IF 1.3 Q3 EDUCATION, SCIENTIFIC DISCIPLINES
Journal of Education and Health Promotion Pub Date : 2025-07-31 eCollection Date: 2025-01-01 DOI:10.4103/jehp.jehp_1396_24
Nikhil Raj, Rajagopal Kadavigere, Baskaran Chandrasekaran, K Vaishali, Shailesh Nayak, Sneha Ravichandran, Dilip Shettigar, Sathya Sabina Muthu, Cyril Biji, Poovitha Shruthi Paramashiva, Suresh Sukumar
{"title":"一项横断面研究:久坐正常、超重和肥胖成年人脑结构容量的比较。","authors":"Nikhil Raj, Rajagopal Kadavigere, Baskaran Chandrasekaran, K Vaishali, Shailesh Nayak, Sneha Ravichandran, Dilip Shettigar, Sathya Sabina Muthu, Cyril Biji, Poovitha Shruthi Paramashiva, Suresh Sukumar","doi":"10.4103/jehp.jehp_1396_24","DOIUrl":null,"url":null,"abstract":"<p><strong>Background: </strong>The relationship between obesity and brain structure remains unclear, particularly in sedentary individuals. This study aimed to compare structural brain volumes among sedentary normal weight, overweight, and obese adults.</p><p><strong>Materials and methods: </strong>In this cross-sectional study, 102 sedentary adults (34 normal weight, 34 overweight, 34 obese) underwent brain MRI scans. Grey matter, white matter, cerebrospinal fluid, and regional brain volumes were measured. Correlations between BMI, physical activity levels, and brain volumes were analyzed within each weight group.</p><p><strong>Results: </strong>No significant differences in overall or regional brain volumes were found between groups. In the normal weight group, BMI positively correlated with right superior temporal gyrus (rSTG) volume (<i>r</i> = 0.358, <i>P</i> < 0.05) and grey matter volume (<i>r</i> = 0.367, <i>P</i> < 0.05). In the obese group, BMI negatively correlated with rSTG volume (<i>r</i> = -0.467, <i>P</i> < 0.01) and positively correlated with self-reported physical activity (<i>r</i> = 0.395, <i>P</i> < 0.05). No significant correlations were observed in the overweight group.</p><p><strong>Conclusions: </strong>This study reveals a complex, non-linear relationship between BMI and brain structure in sedentary adults. The contrasting correlations in normal weight and obese groups suggest potential BMI-related structural changes, particularly in the rSTG. These findings highlight the need for further research on the neurological impacts of obesity in sedentary populations.</p>","PeriodicalId":15581,"journal":{"name":"Journal of Education and Health Promotion","volume":"14 ","pages":"297"},"PeriodicalIF":1.3000,"publicationDate":"2025-07-31","publicationTypes":"Journal Article","fieldsOfStudy":null,"isOpenAccess":false,"openAccessPdf":"https://www.ncbi.nlm.nih.gov/pmc/articles/PMC12413107/pdf/","citationCount":"0","resultStr":"{\"title\":\"Comparison of structural brain volume among sedentary normal, overweight and obese adults - A cross-sectional study.\",\"authors\":\"Nikhil Raj, Rajagopal Kadavigere, Baskaran Chandrasekaran, K Vaishali, Shailesh Nayak, Sneha Ravichandran, Dilip Shettigar, Sathya Sabina Muthu, Cyril Biji, Poovitha Shruthi Paramashiva, Suresh Sukumar\",\"doi\":\"10.4103/jehp.jehp_1396_24\",\"DOIUrl\":null,\"url\":null,\"abstract\":\"<p><strong>Background: </strong>The relationship between obesity and brain structure remains unclear, particularly in sedentary individuals. This study aimed to compare structural brain volumes among sedentary normal weight, overweight, and obese adults.</p><p><strong>Materials and methods: </strong>In this cross-sectional study, 102 sedentary adults (34 normal weight, 34 overweight, 34 obese) underwent brain MRI scans. Grey matter, white matter, cerebrospinal fluid, and regional brain volumes were measured. Correlations between BMI, physical activity levels, and brain volumes were analyzed within each weight group.</p><p><strong>Results: </strong>No significant differences in overall or regional brain volumes were found between groups. In the normal weight group, BMI positively correlated with right superior temporal gyrus (rSTG) volume (<i>r</i> = 0.358, <i>P</i> < 0.05) and grey matter volume (<i>r</i> = 0.367, <i>P</i> < 0.05). In the obese group, BMI negatively correlated with rSTG volume (<i>r</i> = -0.467, <i>P</i> < 0.01) and positively correlated with self-reported physical activity (<i>r</i> = 0.395, <i>P</i> < 0.05). No significant correlations were observed in the overweight group.</p><p><strong>Conclusions: </strong>This study reveals a complex, non-linear relationship between BMI and brain structure in sedentary adults. The contrasting correlations in normal weight and obese groups suggest potential BMI-related structural changes, particularly in the rSTG. These findings highlight the need for further research on the neurological impacts of obesity in sedentary populations.</p>\",\"PeriodicalId\":15581,\"journal\":{\"name\":\"Journal of Education and Health Promotion\",\"volume\":\"14 \",\"pages\":\"297\"},\"PeriodicalIF\":1.3000,\"publicationDate\":\"2025-07-31\",\"publicationTypes\":\"Journal Article\",\"fieldsOfStudy\":null,\"isOpenAccess\":false,\"openAccessPdf\":\"https://www.ncbi.nlm.nih.gov/pmc/articles/PMC12413107/pdf/\",\"citationCount\":\"0\",\"resultStr\":null,\"platform\":\"Semanticscholar\",\"paperid\":null,\"PeriodicalName\":\"Journal of Education and Health Promotion\",\"FirstCategoryId\":\"1085\",\"ListUrlMain\":\"https://doi.org/10.4103/jehp.jehp_1396_24\",\"RegionNum\":0,\"RegionCategory\":null,\"ArticlePicture\":[],\"TitleCN\":null,\"AbstractTextCN\":null,\"PMCID\":null,\"EPubDate\":\"2025/1/1 0:00:00\",\"PubModel\":\"eCollection\",\"JCR\":\"Q3\",\"JCRName\":\"EDUCATION, SCIENTIFIC DISCIPLINES\",\"Score\":null,\"Total\":0}","platform":"Semanticscholar","paperid":null,"PeriodicalName":"Journal of Education and Health Promotion","FirstCategoryId":"1085","ListUrlMain":"https://doi.org/10.4103/jehp.jehp_1396_24","RegionNum":0,"RegionCategory":null,"ArticlePicture":[],"TitleCN":null,"AbstractTextCN":null,"PMCID":null,"EPubDate":"2025/1/1 0:00:00","PubModel":"eCollection","JCR":"Q3","JCRName":"EDUCATION, SCIENTIFIC DISCIPLINES","Score":null,"Total":0}
引用次数: 0

摘要

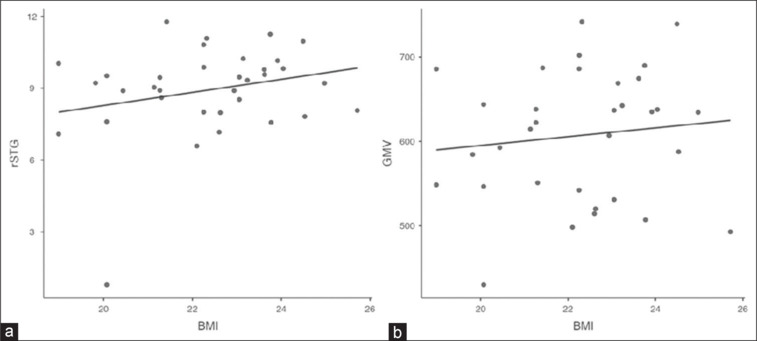
背景:肥胖与大脑结构之间的关系尚不清楚,特别是在久坐的个体中。这项研究的目的是比较久坐正常体重、超重和肥胖成年人的脑结构容量。材料和方法:在这项横断面研究中,102名久坐不动的成年人(34名体重正常,34名超重,34名肥胖)接受了脑部MRI扫描。测量灰质、白质、脑脊液和局部脑体积。在每个体重组中分析BMI、体力活动水平和脑容量之间的相关性。结果:两组间脑容量总体或局部无显著差异。体重正常组BMI与右侧颞上回体积(r = 0.358, P < 0.05)、灰质体积(r = 0.367, P < 0.05)呈正相关。肥胖组BMI与rSTG体积呈负相关(r = -0.467, P < 0.01),与自述体力活动呈正相关(r = 0.395, P < 0.05)。在超重组中没有观察到显著的相关性。结论:这项研究揭示了久坐成年人的身体质量指数和大脑结构之间复杂的非线性关系。正常体重组和肥胖组的对比相关性表明潜在的bmi相关结构变化,特别是在rSTG中。这些发现强调了对久坐人群肥胖对神经系统影响的进一步研究的必要性。
本文章由计算机程序翻译,如有差异,请以英文原文为准。

Comparison of structural brain volume among sedentary normal, overweight and obese adults - A cross-sectional study.

Comparison of structural brain volume among sedentary normal, overweight and obese adults - A cross-sectional study.

Comparison of structural brain volume among sedentary normal, overweight and obese adults - A cross-sectional study.

Comparison of structural brain volume among sedentary normal, overweight and obese adults - A cross-sectional study.

Background: The relationship between obesity and brain structure remains unclear, particularly in sedentary individuals. This study aimed to compare structural brain volumes among sedentary normal weight, overweight, and obese adults.

Materials and methods: In this cross-sectional study, 102 sedentary adults (34 normal weight, 34 overweight, 34 obese) underwent brain MRI scans. Grey matter, white matter, cerebrospinal fluid, and regional brain volumes were measured. Correlations between BMI, physical activity levels, and brain volumes were analyzed within each weight group.

Results: No significant differences in overall or regional brain volumes were found between groups. In the normal weight group, BMI positively correlated with right superior temporal gyrus (rSTG) volume (r = 0.358, P < 0.05) and grey matter volume (r = 0.367, P < 0.05). In the obese group, BMI negatively correlated with rSTG volume (r = -0.467, P < 0.01) and positively correlated with self-reported physical activity (r = 0.395, P < 0.05). No significant correlations were observed in the overweight group.

Conclusions: This study reveals a complex, non-linear relationship between BMI and brain structure in sedentary adults. The contrasting correlations in normal weight and obese groups suggest potential BMI-related structural changes, particularly in the rSTG. These findings highlight the need for further research on the neurological impacts of obesity in sedentary populations.

求助全文
通过发布文献求助,成功后即可免费获取论文全文。 去求助
来源期刊
CiteScore
2.60
自引率
21.40%
发文量
218
审稿时长
34 weeks
×
引用
GB/T 7714-2015
复制
MLA
复制
APA
复制
导出至
BibTeX EndNote RefMan NoteFirst NoteExpress
×
提示
您的信息不完整,为了账户安全,请先补充。
现在去补充
×
提示
您因"违规操作"
具体请查看互助需知
我知道了
×
提示
确定
请完成安全验证×
copy
已复制链接
快去分享给好友吧!
我知道了
右上角分享
点击右上角分享
0
联系我们:info@booksci.cn Book学术提供免费学术资源搜索服务,方便国内外学者检索中英文文献。致力于提供最便捷和优质的服务体验。 Copyright © 2023 布克学术 All rights reserved.
京ICP备2023020795号-1
ghs 京公网安备 11010802042870号
Book学术文献互助
Book学术文献互助群
群 号:604180095
Book学术官方微信