影响医院废水中难辨梭菌孢子数的若干因素。

IF 2.9 3区 医学 Q2 INFECTIOUS DISEASES
Infection and Drug Resistance Pub Date : 2025-09-02 eCollection Date: 2025-01-01 DOI:10.2147/IDR.S516395
Chun-Wei Chiu, Shiang-En Chen, Yu-Ting Lin, Ching-Chi Lee, Jen-Chieh Lee, Chin-Shiang Tsai, Wen-Chien Ko, Chih-Hsuan Tsai, Yuan-Pin Hung
{"title":"影响医院废水中难辨梭菌孢子数的若干因素。","authors":"Chun-Wei Chiu, Shiang-En Chen, Yu-Ting Lin, Ching-Chi Lee, Jen-Chieh Lee, Chin-Shiang Tsai, Wen-Chien Ko, Chih-Hsuan Tsai, Yuan-Pin Hung","doi":"10.2147/IDR.S516395","DOIUrl":null,"url":null,"abstract":"<p><strong>Objective: </strong><i>Clostridioides difficile</i> is the most common cause of antibiotic-associated diarrhea. Wastewater from hospitals may be an important source of <i>C. difficile</i> transmission between hospitals and communities. The objective of this study is to quantify <i>C. difficile</i> spores and to elucidate their potential transmission risk via hospital wastewater.</p><p><strong>Methods: </strong>A prospective study of wastewater from a teaching hospital was conducted weekly, from July 2023 to June 2024. The number of <i>C. difficile</i> spores detected in wastewater from hospital settings fluctuated weekly during the study period.</p><p><strong>Results: </strong>There was a borderline association between the number of <i>C. difficile</i> spores detected in wastewater at room temperature in hospitals (<i>p</i> = 0.02) and the consumption of antimicrobial agents (<i>p value =</i> 0.04), particularly cephalosporins (<i>p</i> = 0.001). Specifically, the number of <i>C. difficile</i> spores detected in the wastewater was highly correlated with first-generation cephalosporin consumption (<i>p</i> = 0.002), particularly the consumption of first-generation intravenous cephalosporin (cefazolin) (<i>p</i> < 0.001).</p><p><strong>Conclusion: </strong>The number of <i>C. difficile</i> spores detected in wastewater from hospital settings is strongly associated with the consumption of antimicrobial agents, particularly cephalosporins. Further evaluation is needed to assess whether antibiotic stewardship programs can reduce the burden of <i>C. difficile</i> spores in wastewater.</p>","PeriodicalId":13577,"journal":{"name":"Infection and Drug Resistance","volume":"18 ","pages":"4603-4613"},"PeriodicalIF":2.9000,"publicationDate":"2025-09-02","publicationTypes":"Journal Article","fieldsOfStudy":null,"isOpenAccess":false,"openAccessPdf":"https://www.ncbi.nlm.nih.gov/pmc/articles/PMC12413832/pdf/","citationCount":"0","resultStr":"{\"title\":\"Some Factors Influencing the Number of <i>Clostridioides difficile</i> Spores Detected in Hospital Wastewater.\",\"authors\":\"Chun-Wei Chiu, Shiang-En Chen, Yu-Ting Lin, Ching-Chi Lee, Jen-Chieh Lee, Chin-Shiang Tsai, Wen-Chien Ko, Chih-Hsuan Tsai, Yuan-Pin Hung\",\"doi\":\"10.2147/IDR.S516395\",\"DOIUrl\":null,\"url\":null,\"abstract\":\"<p><strong>Objective: </strong><i>Clostridioides difficile</i> is the most common cause of antibiotic-associated diarrhea. Wastewater from hospitals may be an important source of <i>C. difficile</i> transmission between hospitals and communities. The objective of this study is to quantify <i>C. difficile</i> spores and to elucidate their potential transmission risk via hospital wastewater.</p><p><strong>Methods: </strong>A prospective study of wastewater from a teaching hospital was conducted weekly, from July 2023 to June 2024. The number of <i>C. difficile</i> spores detected in wastewater from hospital settings fluctuated weekly during the study period.</p><p><strong>Results: </strong>There was a borderline association between the number of <i>C. difficile</i> spores detected in wastewater at room temperature in hospitals (<i>p</i> = 0.02) and the consumption of antimicrobial agents (<i>p value =</i> 0.04), particularly cephalosporins (<i>p</i> = 0.001). Specifically, the number of <i>C. difficile</i> spores detected in the wastewater was highly correlated with first-generation cephalosporin consumption (<i>p</i> = 0.002), particularly the consumption of first-generation intravenous cephalosporin (cefazolin) (<i>p</i> < 0.001).</p><p><strong>Conclusion: </strong>The number of <i>C. difficile</i> spores detected in wastewater from hospital settings is strongly associated with the consumption of antimicrobial agents, particularly cephalosporins. Further evaluation is needed to assess whether antibiotic stewardship programs can reduce the burden of <i>C. difficile</i> spores in wastewater.</p>\",\"PeriodicalId\":13577,\"journal\":{\"name\":\"Infection and Drug Resistance\",\"volume\":\"18 \",\"pages\":\"4603-4613\"},\"PeriodicalIF\":2.9000,\"publicationDate\":\"2025-09-02\",\"publicationTypes\":\"Journal Article\",\"fieldsOfStudy\":null,\"isOpenAccess\":false,\"openAccessPdf\":\"https://www.ncbi.nlm.nih.gov/pmc/articles/PMC12413832/pdf/\",\"citationCount\":\"0\",\"resultStr\":null,\"platform\":\"Semanticscholar\",\"paperid\":null,\"PeriodicalName\":\"Infection and Drug Resistance\",\"FirstCategoryId\":\"3\",\"ListUrlMain\":\"https://doi.org/10.2147/IDR.S516395\",\"RegionNum\":3,\"RegionCategory\":\"医学\",\"ArticlePicture\":[],\"TitleCN\":null,\"AbstractTextCN\":null,\"PMCID\":null,\"EPubDate\":\"2025/1/1 0:00:00\",\"PubModel\":\"eCollection\",\"JCR\":\"Q2\",\"JCRName\":\"INFECTIOUS DISEASES\",\"Score\":null,\"Total\":0}","platform":"Semanticscholar","paperid":null,"PeriodicalName":"Infection and Drug Resistance","FirstCategoryId":"3","ListUrlMain":"https://doi.org/10.2147/IDR.S516395","RegionNum":3,"RegionCategory":"医学","ArticlePicture":[],"TitleCN":null,"AbstractTextCN":null,"PMCID":null,"EPubDate":"2025/1/1 0:00:00","PubModel":"eCollection","JCR":"Q2","JCRName":"INFECTIOUS DISEASES","Score":null,"Total":0}
引用次数: 0

摘要

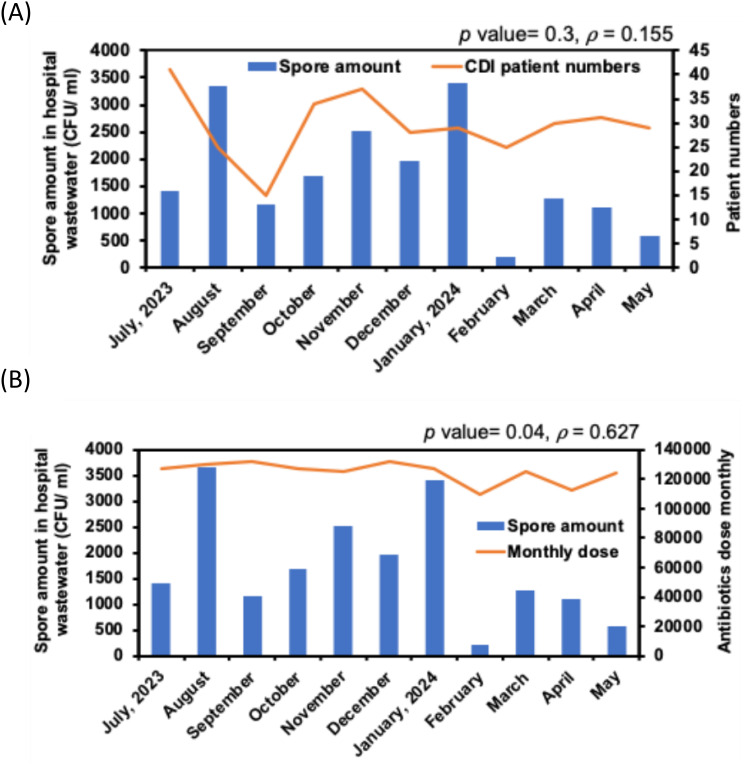
目的:艰难梭菌是抗生素相关性腹泻最常见的病因。医院废水可能是艰难梭菌在医院和社区之间传播的重要来源。本研究的目的是量化艰难梭菌孢子,并阐明其通过医院废水传播的潜在风险。方法:于2023年7月至2024年6月,每周对某教学医院废水进行前瞻性研究。在研究期间,在医院废水中检测到的艰难梭菌孢子数量每周波动。结果:医院室温下废水中难辨梭菌孢子数(p = 0.02)与抗菌药物用量(p值= 0.04),尤其是头孢菌素用量(p = 0.001)呈临界相关。具体而言,废水中检测到的艰难梭菌孢子数量与第一代头孢菌素的用量高度相关(p = 0.002),特别是与第一代静脉注射头孢菌素(cefazolin)的用量高度相关(p < 0.001)。结论:在医院废水中检测到的艰难梭菌孢子数量与抗菌药物,特别是头孢菌素的使用密切相关。需要进一步评估抗生素管理计划是否可以减少废水中艰难梭菌孢子的负担。
本文章由计算机程序翻译,如有差异,请以英文原文为准。

Some Factors Influencing the Number of <i>Clostridioides difficile</i> Spores Detected in Hospital Wastewater.

Some Factors Influencing the Number of <i>Clostridioides difficile</i> Spores Detected in Hospital Wastewater.

Some Factors Influencing the Number of <i>Clostridioides difficile</i> Spores Detected in Hospital Wastewater.

Some Factors Influencing the Number of Clostridioides difficile Spores Detected in Hospital Wastewater.

Objective: Clostridioides difficile is the most common cause of antibiotic-associated diarrhea. Wastewater from hospitals may be an important source of C. difficile transmission between hospitals and communities. The objective of this study is to quantify C. difficile spores and to elucidate their potential transmission risk via hospital wastewater.

Methods: A prospective study of wastewater from a teaching hospital was conducted weekly, from July 2023 to June 2024. The number of C. difficile spores detected in wastewater from hospital settings fluctuated weekly during the study period.

Results: There was a borderline association between the number of C. difficile spores detected in wastewater at room temperature in hospitals (p = 0.02) and the consumption of antimicrobial agents (p value = 0.04), particularly cephalosporins (p = 0.001). Specifically, the number of C. difficile spores detected in the wastewater was highly correlated with first-generation cephalosporin consumption (p = 0.002), particularly the consumption of first-generation intravenous cephalosporin (cefazolin) (p < 0.001).

Conclusion: The number of C. difficile spores detected in wastewater from hospital settings is strongly associated with the consumption of antimicrobial agents, particularly cephalosporins. Further evaluation is needed to assess whether antibiotic stewardship programs can reduce the burden of C. difficile spores in wastewater.

求助全文
通过发布文献求助,成功后即可免费获取论文全文。 去求助
来源期刊
Infection and Drug Resistance
Infection and Drug Resistance Medicine-Pharmacology (medical)
CiteScore
5.60
自引率
7.70%
发文量
826
审稿时长
16 weeks
期刊介绍: About Journal Editors Peer Reviewers Articles Article Publishing Charges Aims and Scope Call For Papers ISSN: 1178-6973 Editor-in-Chief: Professor Suresh Antony An international, peer-reviewed, open access journal that focuses on the optimal treatment of infection (bacterial, fungal and viral) and the development and institution of preventative strategies to minimize the development and spread of resistance.
×
引用
GB/T 7714-2015
复制
MLA
复制
APA
复制
导出至
BibTeX EndNote RefMan NoteFirst NoteExpress
×
提示
您的信息不完整,为了账户安全,请先补充。
现在去补充
×
提示
您因"违规操作"
具体请查看互助需知
我知道了
×
提示
确定
请完成安全验证×
copy
已复制链接
快去分享给好友吧!
我知道了
右上角分享
点击右上角分享
0
联系我们:info@booksci.cn Book学术提供免费学术资源搜索服务,方便国内外学者检索中英文文献。致力于提供最便捷和优质的服务体验。 Copyright © 2023 布克学术 All rights reserved.
京ICP备2023020795号-1
ghs 京公网安备 11010802042870号
Book学术文献互助
Book学术文献互助群
群 号:604180095
Book学术官方微信