前进的步伐,挥之不去的差距:专业会议上杰出演讲者的性别代表性。

IF 7.6 1区 生物学 Q1 BIOLOGY
BioScience Pub Date : 2025-06-30 eCollection Date: 2025-09-01 DOI:10.1093/biosci/biaf063
Sara Bombaci, Cooper Farr, Liba Pejchar, Kate D Wilkins, Tessa Wittman
{"title":"前进的步伐,挥之不去的差距:专业会议上杰出演讲者的性别代表性。","authors":"Sara Bombaci, Cooper Farr, Liba Pejchar, Kate D Wilkins, Tessa Wittman","doi":"10.1093/biosci/biaf063","DOIUrl":null,"url":null,"abstract":"<p><p>Plenary speakers serve as role models for early-career scholars, and these talks advance the speakers' careers while celebrating the important scientific contributions of women. Professional conferences are an ideal venue for assessing progress toward equity goals across disciplines. We examined gender disparities among distinguished speakers at North American ecology conferences from 2000 to 2023. We found that women's representation as speakers has increased, especially in the past decade, but they remain underrepresented relative to their proportion among graduate students. Disparities persist across institutions, disciplines, and career stages, particularly for women in later career stages. In addition, the COVID-19 pandemic did not notably affect women's representation, and nonbinary genders remain minimally represented, underscoring ongoing challenges in achieving inclusive representation. Although the gender gap has not yet closed, this emerging positive trend for women speakers at professional ecology conferences is encouraging.</p>","PeriodicalId":9003,"journal":{"name":"BioScience","volume":"75 9","pages":"737-746"},"PeriodicalIF":7.6000,"publicationDate":"2025-06-30","publicationTypes":"Journal Article","fieldsOfStudy":null,"isOpenAccess":false,"openAccessPdf":"https://www.ncbi.nlm.nih.gov/pmc/articles/PMC12412295/pdf/","citationCount":"0","resultStr":"{\"title\":\"Forward steps, lingering gaps: gender representation among distinguished speakers at professional conferences.\",\"authors\":\"Sara Bombaci, Cooper Farr, Liba Pejchar, Kate D Wilkins, Tessa Wittman\",\"doi\":\"10.1093/biosci/biaf063\",\"DOIUrl\":null,\"url\":null,\"abstract\":\"<p><p>Plenary speakers serve as role models for early-career scholars, and these talks advance the speakers' careers while celebrating the important scientific contributions of women. Professional conferences are an ideal venue for assessing progress toward equity goals across disciplines. We examined gender disparities among distinguished speakers at North American ecology conferences from 2000 to 2023. We found that women's representation as speakers has increased, especially in the past decade, but they remain underrepresented relative to their proportion among graduate students. Disparities persist across institutions, disciplines, and career stages, particularly for women in later career stages. In addition, the COVID-19 pandemic did not notably affect women's representation, and nonbinary genders remain minimally represented, underscoring ongoing challenges in achieving inclusive representation. Although the gender gap has not yet closed, this emerging positive trend for women speakers at professional ecology conferences is encouraging.</p>\",\"PeriodicalId\":9003,\"journal\":{\"name\":\"BioScience\",\"volume\":\"75 9\",\"pages\":\"737-746\"},\"PeriodicalIF\":7.6000,\"publicationDate\":\"2025-06-30\",\"publicationTypes\":\"Journal Article\",\"fieldsOfStudy\":null,\"isOpenAccess\":false,\"openAccessPdf\":\"https://www.ncbi.nlm.nih.gov/pmc/articles/PMC12412295/pdf/\",\"citationCount\":\"0\",\"resultStr\":null,\"platform\":\"Semanticscholar\",\"paperid\":null,\"PeriodicalName\":\"BioScience\",\"FirstCategoryId\":\"99\",\"ListUrlMain\":\"https://doi.org/10.1093/biosci/biaf063\",\"RegionNum\":1,\"RegionCategory\":\"生物学\",\"ArticlePicture\":[],\"TitleCN\":null,\"AbstractTextCN\":null,\"PMCID\":null,\"EPubDate\":\"2025/9/1 0:00:00\",\"PubModel\":\"eCollection\",\"JCR\":\"Q1\",\"JCRName\":\"BIOLOGY\",\"Score\":null,\"Total\":0}","platform":"Semanticscholar","paperid":null,"PeriodicalName":"BioScience","FirstCategoryId":"99","ListUrlMain":"https://doi.org/10.1093/biosci/biaf063","RegionNum":1,"RegionCategory":"生物学","ArticlePicture":[],"TitleCN":null,"AbstractTextCN":null,"PMCID":null,"EPubDate":"2025/9/1 0:00:00","PubModel":"eCollection","JCR":"Q1","JCRName":"BIOLOGY","Score":null,"Total":0}
引用次数: 0

摘要

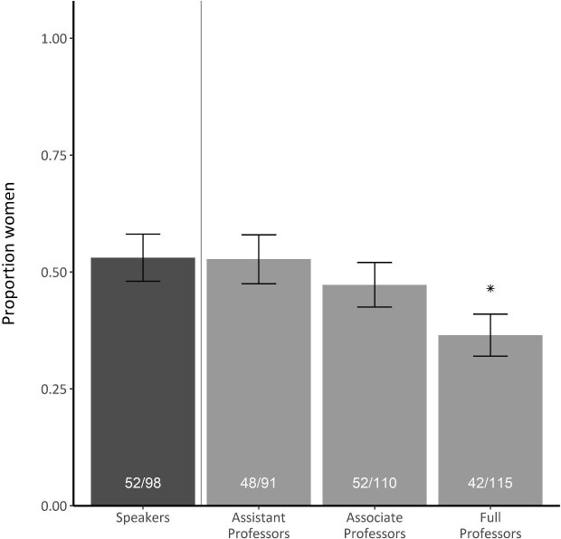
全体会议发言人是早期职业学者的榜样,这些会谈在庆祝女性重要科学贡献的同时促进了演讲者的职业生涯。专业会议是评估跨学科公平目标进展的理想场所。我们研究了2000年至2023年北美生态会议上杰出演讲者的性别差异。我们发现,女性演讲者的比例有所增加,尤其是在过去十年中,但相对于她们在研究生中的比例,她们的比例仍然不足。在不同的机构、学科和职业阶段,尤其是处于职业后期的女性,差距依然存在。此外,2019冠状病毒病大流行并未显著影响妇女的代表性,非二元性别的代表性仍然很低,这凸显了实现包容性代表性方面的持续挑战。虽然性别差距尚未消除,但女性在专业生态学会议上发言的这种积极趋势令人鼓舞。
本文章由计算机程序翻译,如有差异,请以英文原文为准。

Forward steps, lingering gaps: gender representation among distinguished speakers at professional conferences.

Forward steps, lingering gaps: gender representation among distinguished speakers at professional conferences.

Forward steps, lingering gaps: gender representation among distinguished speakers at professional conferences.

Forward steps, lingering gaps: gender representation among distinguished speakers at professional conferences.

Plenary speakers serve as role models for early-career scholars, and these talks advance the speakers' careers while celebrating the important scientific contributions of women. Professional conferences are an ideal venue for assessing progress toward equity goals across disciplines. We examined gender disparities among distinguished speakers at North American ecology conferences from 2000 to 2023. We found that women's representation as speakers has increased, especially in the past decade, but they remain underrepresented relative to their proportion among graduate students. Disparities persist across institutions, disciplines, and career stages, particularly for women in later career stages. In addition, the COVID-19 pandemic did not notably affect women's representation, and nonbinary genders remain minimally represented, underscoring ongoing challenges in achieving inclusive representation. Although the gender gap has not yet closed, this emerging positive trend for women speakers at professional ecology conferences is encouraging.

求助全文
通过发布文献求助,成功后即可免费获取论文全文。 去求助
来源期刊
BioScience
BioScience 生物-生物学
CiteScore
14.10
自引率
2.00%
发文量
109
审稿时长
3 months
期刊介绍: BioScience is a monthly journal that has been in publication since 1964. It provides readers with authoritative and current overviews of biological research. The journal is peer-reviewed and heavily cited, making it a reliable source for researchers, educators, and students. In addition to research articles, BioScience also covers topics such as biology education, public policy, history, and the fundamental principles of the biological sciences. This makes the content accessible to a wide range of readers. The journal includes professionally written feature articles that explore the latest advancements in biology. It also features discussions on professional issues, book reviews, news about the American Institute of Biological Sciences (AIBS), and columns on policy (Washington Watch) and education (Eye on Education).
×
引用
GB/T 7714-2015
复制
MLA
复制
APA
复制
导出至
BibTeX EndNote RefMan NoteFirst NoteExpress
×
提示
您的信息不完整,为了账户安全,请先补充。
现在去补充
×
提示
您因"违规操作"
具体请查看互助需知
我知道了
×
提示
确定
请完成安全验证×
copy
已复制链接
快去分享给好友吧!
我知道了
右上角分享
点击右上角分享
0
联系我们:info@booksci.cn Book学术提供免费学术资源搜索服务,方便国内外学者检索中英文文献。致力于提供最便捷和优质的服务体验。 Copyright © 2023 布克学术 All rights reserved.
京ICP备2023020795号-1
ghs 京公网安备 11010802042870号
Book学术文献互助
Book学术文献互助群
群 号:604180095
Book学术官方微信