非对称2 × n电路网络的电阻理论

IF 1.6 3区 工程技术 Q3 ENGINEERING, ELECTRICAL & ELECTRONIC
Zhi-Li Zhang, Zhi-Zhong Tan
{"title":"非对称2 × n电路网络的电阻理论","authors":"Zhi-Li Zhang,&nbsp;Zhi-Zhong Tan","doi":"10.1002/cta.4416","DOIUrl":null,"url":null,"abstract":"<div>\n \n <p>This article proposes a class of asymmetric 2 <i>× n</i> resistor network model which contains multiple independent resistors; the study of asymmetric resistor network models is a challenge. We conducted in-depth research on this issue using the RT-V theory (Chinese Physics B, 2017, <b>26</b>(9): 090503) and achieved new theoretical breakthroughs. This paper derived five original equivalent resistance formulae for this asymmetric 2 <i>× n</i> circuit network and also discusses the analytical expressions for equivalent resistance in different special cases, and several interesting results have been derived, indicating that the original resistance formula has powerful functionality. Finally, visual graphics of two types of equivalent resistances are provided using MATLAB drawing tools, which reveals the law of equivalent resistance changing with resistance variables. The research theory and technology in this article will provide a new theoretical basis for related scientific, engineering, and simulation research.</p>\n </div>","PeriodicalId":13874,"journal":{"name":"International Journal of Circuit Theory and Applications","volume":"53 9","pages":"5096-5109"},"PeriodicalIF":1.6000,"publicationDate":"2024-12-29","publicationTypes":"Journal Article","fieldsOfStudy":null,"isOpenAccess":false,"openAccessPdf":"","citationCount":"0","resultStr":"{\"title\":\"Resistance Theory of Asymmetric 2 × n Circuit Network\",\"authors\":\"Zhi-Li Zhang,&nbsp;Zhi-Zhong Tan\",\"doi\":\"10.1002/cta.4416\",\"DOIUrl\":null,\"url\":null,\"abstract\":\"<div>\\n \\n <p>This article proposes a class of asymmetric 2 <i>× n</i> resistor network model which contains multiple independent resistors; the study of asymmetric resistor network models is a challenge. We conducted in-depth research on this issue using the RT-V theory (Chinese Physics B, 2017, <b>26</b>(9): 090503) and achieved new theoretical breakthroughs. This paper derived five original equivalent resistance formulae for this asymmetric 2 <i>× n</i> circuit network and also discusses the analytical expressions for equivalent resistance in different special cases, and several interesting results have been derived, indicating that the original resistance formula has powerful functionality. Finally, visual graphics of two types of equivalent resistances are provided using MATLAB drawing tools, which reveals the law of equivalent resistance changing with resistance variables. The research theory and technology in this article will provide a new theoretical basis for related scientific, engineering, and simulation research.</p>\\n </div>\",\"PeriodicalId\":13874,\"journal\":{\"name\":\"International Journal of Circuit Theory and Applications\",\"volume\":\"53 9\",\"pages\":\"5096-5109\"},\"PeriodicalIF\":1.6000,\"publicationDate\":\"2024-12-29\",\"publicationTypes\":\"Journal Article\",\"fieldsOfStudy\":null,\"isOpenAccess\":false,\"openAccessPdf\":\"\",\"citationCount\":\"0\",\"resultStr\":null,\"platform\":\"Semanticscholar\",\"paperid\":null,\"PeriodicalName\":\"International Journal of Circuit Theory and Applications\",\"FirstCategoryId\":\"5\",\"ListUrlMain\":\"https://onlinelibrary.wiley.com/doi/10.1002/cta.4416\",\"RegionNum\":3,\"RegionCategory\":\"工程技术\",\"ArticlePicture\":[],\"TitleCN\":null,\"AbstractTextCN\":null,\"PMCID\":null,\"EPubDate\":\"\",\"PubModel\":\"\",\"JCR\":\"Q3\",\"JCRName\":\"ENGINEERING, ELECTRICAL & ELECTRONIC\",\"Score\":null,\"Total\":0}","platform":"Semanticscholar","paperid":null,"PeriodicalName":"International Journal of Circuit Theory and Applications","FirstCategoryId":"5","ListUrlMain":"https://onlinelibrary.wiley.com/doi/10.1002/cta.4416","RegionNum":3,"RegionCategory":"工程技术","ArticlePicture":[],"TitleCN":null,"AbstractTextCN":null,"PMCID":null,"EPubDate":"","PubModel":"","JCR":"Q3","JCRName":"ENGINEERING, ELECTRICAL & ELECTRONIC","Score":null,"Total":0}
引用次数: 0

摘要

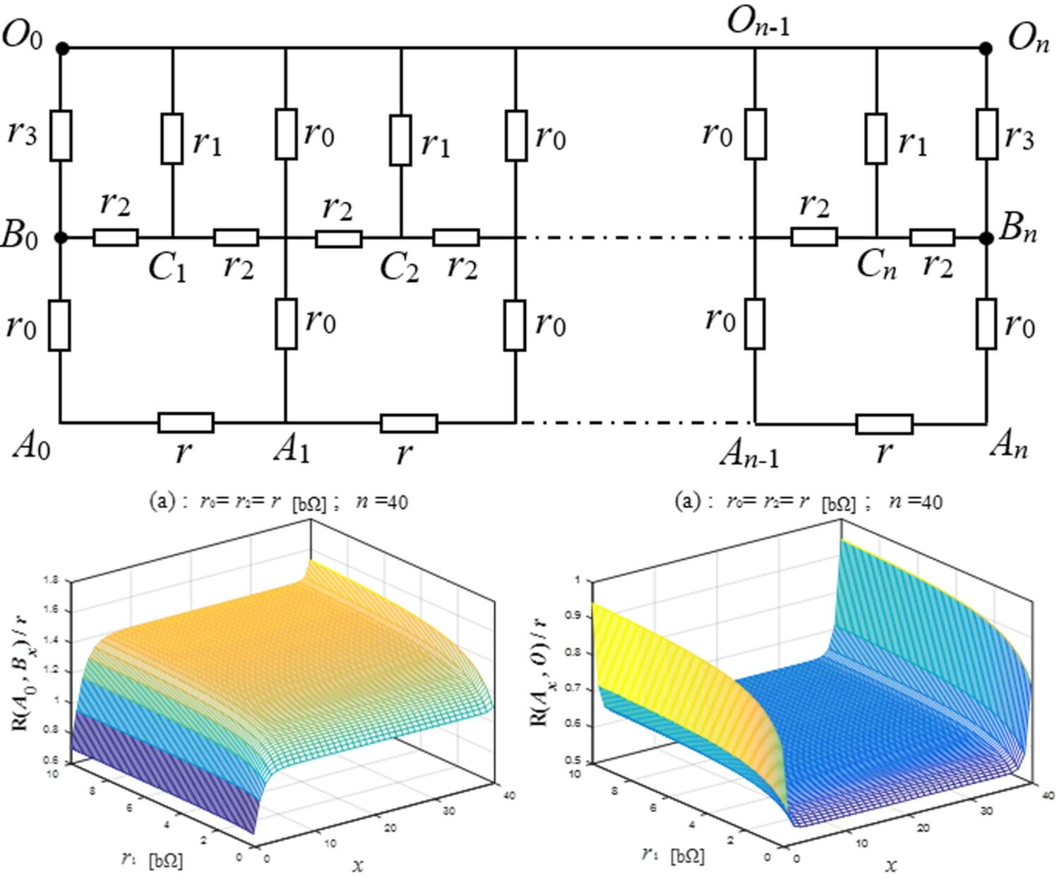
提出了一类包含多个独立电阻器的非对称2 × n电阻器网络模型;非对称电阻网络模型的研究是一个挑战。我们利用RT-V理论对这一问题进行了深入研究(中国物理B, 2017,26(9): 090503),取得了新的理论突破。本文导出了该非对称2 × n电路网络的5个原始等效电阻公式,并讨论了不同特殊情况下等效电阻的解析表达式,得到了几个有趣的结果,表明原始电阻公式具有强大的功能性。最后利用MATLAB绘图工具给出了两类等效电阻的可视化图形,揭示了等效电阻随电阻变量的变化规律。本文的研究理论和技术将为相关的科学、工程和仿真研究提供新的理论基础。
本文章由计算机程序翻译,如有差异,请以英文原文为准。

Resistance Theory of Asymmetric 2 × n Circuit Network

Resistance Theory of Asymmetric 2 × n Circuit Network

This article proposes a class of asymmetric 2 × n resistor network model which contains multiple independent resistors; the study of asymmetric resistor network models is a challenge. We conducted in-depth research on this issue using the RT-V theory (Chinese Physics B, 2017, 26(9): 090503) and achieved new theoretical breakthroughs. This paper derived five original equivalent resistance formulae for this asymmetric 2 × n circuit network and also discusses the analytical expressions for equivalent resistance in different special cases, and several interesting results have been derived, indicating that the original resistance formula has powerful functionality. Finally, visual graphics of two types of equivalent resistances are provided using MATLAB drawing tools, which reveals the law of equivalent resistance changing with resistance variables. The research theory and technology in this article will provide a new theoretical basis for related scientific, engineering, and simulation research.

求助全文
通过发布文献求助,成功后即可免费获取论文全文。 去求助
来源期刊
International Journal of Circuit Theory and Applications
International Journal of Circuit Theory and Applications 工程技术-工程:电子与电气
CiteScore
3.60
自引率
34.80%
发文量
277
审稿时长
4.5 months
期刊介绍: The scope of the Journal comprises all aspects of the theory and design of analog and digital circuits together with the application of the ideas and techniques of circuit theory in other fields of science and engineering. Examples of the areas covered include: Fundamental Circuit Theory together with its mathematical and computational aspects; Circuit modeling of devices; Synthesis and design of filters and active circuits; Neural networks; Nonlinear and chaotic circuits; Signal processing and VLSI; Distributed, switched and digital circuits; Power electronics; Solid state devices. Contributions to CAD and simulation are welcome.
×
引用
GB/T 7714-2015
复制
MLA
复制
APA
复制
导出至
BibTeX EndNote RefMan NoteFirst NoteExpress
×
提示
您的信息不完整,为了账户安全,请先补充。
现在去补充
×
提示
您因"违规操作"
具体请查看互助需知
我知道了
×
提示
确定
请完成安全验证×
copy
已复制链接
快去分享给好友吧!
我知道了
右上角分享
点击右上角分享
0
联系我们:info@booksci.cn Book学术提供免费学术资源搜索服务,方便国内外学者检索中英文文献。致力于提供最便捷和优质的服务体验。 Copyright © 2023 布克学术 All rights reserved.
京ICP备2023020795号-1
ghs 京公网安备 11010802042870号
Book学术文献互助
Book学术文献互助群
群 号:604180095
Book学术官方微信