织物动态弹性恢复对人体自由运动的影响:针织结构和加载方向的影响

IF 2.3 4区 工程技术 Q1 MATERIALS SCIENCE, TEXTILES
Andisheh Motamedi, Nazanin Ezazshahabi, Fatemeh Mousazadegan, Mohammad Amani Tehran
{"title":"织物动态弹性恢复对人体自由运动的影响:针织结构和加载方向的影响","authors":"Andisheh Motamedi,&nbsp;Nazanin Ezazshahabi,&nbsp;Fatemeh Mousazadegan,&nbsp;Mohammad Amani Tehran","doi":"10.1007/s12221-025-01097-7","DOIUrl":null,"url":null,"abstract":"<div><p>The dynamic elastic recovery (DER) of fabrics is considered as a factor to evaluate garment resistance against body movement and restraining the body’s movability that can affect the wearers’ performance during physical activities. In this study, the effect of the loading direction on the DER of weft knitted fabrics with different knit structures, including Rib 1 × 1, Rib 2 × 2, Interlock and Full Milano under three strain levels of 20, 30 and 40% is investigated. Fabric resistance against body movement was assessed by measuring the pressure exerted by the garment on the arm in various hand positions, while lifting weights. The obtained results presented that in all samples, course and wale directions have the highest and lowest tensile modulus, respectively, and the highest tensile modulus is associated with the Full Milano and Interlock; however, Rib 2 × 2 has the lowest value. In terms of DER, the rise of strain level leads to a reduction in DER. The lowest DER belongs to the Full Milano and Interlock; conversely, Rib 2 × 2 has the highest DER. Evaluation of the applied pressure on the arm reveals that the DER of the fabric and fabric resistance against body movement are related oppositely. Therefore, knit structures with higher DER, such as Rib 2 × 2, applied lower pressure on the arm. In addition, the increase in strain level and the quantity of lifting weight can enlarge the exerted pressure on the skin. Furthermore, hand position due to causing extra strain in the fabric, can increase the applied pressure.</p></div>","PeriodicalId":557,"journal":{"name":"Fibers and Polymers","volume":"26 10","pages":"4635 - 4653"},"PeriodicalIF":2.3000,"publicationDate":"2025-07-25","publicationTypes":"Journal Article","fieldsOfStudy":null,"isOpenAccess":false,"openAccessPdf":"","citationCount":"0","resultStr":"{\"title\":\"Investigating the Influence of Fabric’s Dynamic Elastic Recovery on the Body Free Movement: The Effect of Knit Structure and Loading Direction\",\"authors\":\"Andisheh Motamedi,&nbsp;Nazanin Ezazshahabi,&nbsp;Fatemeh Mousazadegan,&nbsp;Mohammad Amani Tehran\",\"doi\":\"10.1007/s12221-025-01097-7\",\"DOIUrl\":null,\"url\":null,\"abstract\":\"<div><p>The dynamic elastic recovery (DER) of fabrics is considered as a factor to evaluate garment resistance against body movement and restraining the body’s movability that can affect the wearers’ performance during physical activities. In this study, the effect of the loading direction on the DER of weft knitted fabrics with different knit structures, including Rib 1 × 1, Rib 2 × 2, Interlock and Full Milano under three strain levels of 20, 30 and 40% is investigated. Fabric resistance against body movement was assessed by measuring the pressure exerted by the garment on the arm in various hand positions, while lifting weights. The obtained results presented that in all samples, course and wale directions have the highest and lowest tensile modulus, respectively, and the highest tensile modulus is associated with the Full Milano and Interlock; however, Rib 2 × 2 has the lowest value. In terms of DER, the rise of strain level leads to a reduction in DER. The lowest DER belongs to the Full Milano and Interlock; conversely, Rib 2 × 2 has the highest DER. Evaluation of the applied pressure on the arm reveals that the DER of the fabric and fabric resistance against body movement are related oppositely. Therefore, knit structures with higher DER, such as Rib 2 × 2, applied lower pressure on the arm. In addition, the increase in strain level and the quantity of lifting weight can enlarge the exerted pressure on the skin. Furthermore, hand position due to causing extra strain in the fabric, can increase the applied pressure.</p></div>\",\"PeriodicalId\":557,\"journal\":{\"name\":\"Fibers and Polymers\",\"volume\":\"26 10\",\"pages\":\"4635 - 4653\"},\"PeriodicalIF\":2.3000,\"publicationDate\":\"2025-07-25\",\"publicationTypes\":\"Journal Article\",\"fieldsOfStudy\":null,\"isOpenAccess\":false,\"openAccessPdf\":\"\",\"citationCount\":\"0\",\"resultStr\":null,\"platform\":\"Semanticscholar\",\"paperid\":null,\"PeriodicalName\":\"Fibers and Polymers\",\"FirstCategoryId\":\"88\",\"ListUrlMain\":\"https://link.springer.com/article/10.1007/s12221-025-01097-7\",\"RegionNum\":4,\"RegionCategory\":\"工程技术\",\"ArticlePicture\":[],\"TitleCN\":null,\"AbstractTextCN\":null,\"PMCID\":null,\"EPubDate\":\"\",\"PubModel\":\"\",\"JCR\":\"Q1\",\"JCRName\":\"MATERIALS SCIENCE, TEXTILES\",\"Score\":null,\"Total\":0}","platform":"Semanticscholar","paperid":null,"PeriodicalName":"Fibers and Polymers","FirstCategoryId":"88","ListUrlMain":"https://link.springer.com/article/10.1007/s12221-025-01097-7","RegionNum":4,"RegionCategory":"工程技术","ArticlePicture":[],"TitleCN":null,"AbstractTextCN":null,"PMCID":null,"EPubDate":"","PubModel":"","JCR":"Q1","JCRName":"MATERIALS SCIENCE, TEXTILES","Score":null,"Total":0}
引用次数: 0

摘要

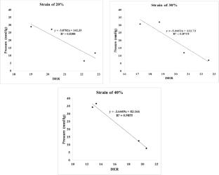
织物的动态弹性回复率(DER)被认为是评价服装抵抗人体运动和抑制人体活动的一个因素,会影响穿着者在体育活动中的表现。本文研究了不同纬编结构(1 × 1罗纹、2 × 2罗纹、Interlock和Full Milano)纬编织物在20%、30%和40%三种应变水平下,加载方向对DER的影响。织物对身体运动的阻力是通过测量在举重时衣服在不同手位对手臂施加的压力来评估的。结果表明:所有试样的拉伸模量分别为course方向和well方向的最高和最低,最高的拉伸模量与Full Milano和Interlock有关;而肋2 × 2值最低。在DER方面,应变水平的升高导致DER的降低。最低的DER属于Full Milano和Interlock;相反,肋2 × 2的DER最高。对手臂施加压力的评估表明,织物的DER和织物对身体运动的阻力是相反的关系。因此,具有较高DER的针织结构,如肋2 × 2,对手臂施加的压力较小。此外,应变水平的增加和举重量的增加也会增大对皮肤施加的压力。此外,手的位置由于在织物上造成额外的张力,可以增加施加的压力。
本文章由计算机程序翻译,如有差异,请以英文原文为准。

Investigating the Influence of Fabric’s Dynamic Elastic Recovery on the Body Free Movement: The Effect of Knit Structure and Loading Direction

Investigating the Influence of Fabric’s Dynamic Elastic Recovery on the Body Free Movement: The Effect of Knit Structure and Loading Direction

Investigating the Influence of Fabric’s Dynamic Elastic Recovery on the Body Free Movement: The Effect of Knit Structure and Loading Direction

The dynamic elastic recovery (DER) of fabrics is considered as a factor to evaluate garment resistance against body movement and restraining the body’s movability that can affect the wearers’ performance during physical activities. In this study, the effect of the loading direction on the DER of weft knitted fabrics with different knit structures, including Rib 1 × 1, Rib 2 × 2, Interlock and Full Milano under three strain levels of 20, 30 and 40% is investigated. Fabric resistance against body movement was assessed by measuring the pressure exerted by the garment on the arm in various hand positions, while lifting weights. The obtained results presented that in all samples, course and wale directions have the highest and lowest tensile modulus, respectively, and the highest tensile modulus is associated with the Full Milano and Interlock; however, Rib 2 × 2 has the lowest value. In terms of DER, the rise of strain level leads to a reduction in DER. The lowest DER belongs to the Full Milano and Interlock; conversely, Rib 2 × 2 has the highest DER. Evaluation of the applied pressure on the arm reveals that the DER of the fabric and fabric resistance against body movement are related oppositely. Therefore, knit structures with higher DER, such as Rib 2 × 2, applied lower pressure on the arm. In addition, the increase in strain level and the quantity of lifting weight can enlarge the exerted pressure on the skin. Furthermore, hand position due to causing extra strain in the fabric, can increase the applied pressure.

求助全文
通过发布文献求助,成功后即可免费获取论文全文。 去求助
来源期刊
Fibers and Polymers
Fibers and Polymers 工程技术-材料科学:纺织
CiteScore
3.90
自引率
8.00%
发文量
267
审稿时长
3.9 months
期刊介绍: -Chemistry of Fiber Materials, Polymer Reactions and Synthesis- Physical Properties of Fibers, Polymer Blends and Composites- Fiber Spinning and Textile Processing, Polymer Physics, Morphology- Colorants and Dyeing, Polymer Analysis and Characterization- Chemical Aftertreatment of Textiles, Polymer Processing and Rheology- Textile and Apparel Science, Functional Polymers
×
引用
GB/T 7714-2015
复制
MLA
复制
APA
复制
导出至
BibTeX EndNote RefMan NoteFirst NoteExpress
×
提示
您的信息不完整,为了账户安全,请先补充。
现在去补充
×
提示
您因"违规操作"
具体请查看互助需知
我知道了
×
提示
确定
请完成安全验证×
copy
已复制链接
快去分享给好友吧!
我知道了
右上角分享
点击右上角分享
0
联系我们:info@booksci.cn Book学术提供免费学术资源搜索服务,方便国内外学者检索中英文文献。致力于提供最便捷和优质的服务体验。 Copyright © 2023 布克学术 All rights reserved.
京ICP备2023020795号-1
ghs 京公网安备 11010802042870号
Book学术文献互助
Book学术文献互助群
群 号:604180095
Book学术官方微信