用聚乙二醇部分取代马来酸羟丙酯改性木质素改善聚氨酯胶粘剂:生物质基胶粘剂技术的可持续发展途径

IF 5 3区 工程技术 Q2 ENGINEERING, ENVIRONMENTAL
Mehri Sharifi Bidokhti, Hossein Mahdavi
{"title":"用聚乙二醇部分取代马来酸羟丙酯改性木质素改善聚氨酯胶粘剂:生物质基胶粘剂技术的可持续发展途径","authors":"Mehri Sharifi Bidokhti,&nbsp;Hossein Mahdavi","doi":"10.1007/s10924-025-03635-z","DOIUrl":null,"url":null,"abstract":"<div><p>Polyurethane adhesives provide strong adhesion, durability, and versatility across various substrates but rely on non-renewable petrochemical polyols. To improve sustainability, researchers seek to discover renewable biopolymer alternatives rich in hydroxyl groups, making it a promising bio-based polyol for polyurethane formulations. In this study, Soda Lignin (SL), a sulfur-free, renewable, and highly functional biopolymer, was modified with maleic anhydride esterification and subsequent propylene carbonate oxyalkylation to produce hydroxypropyl maleate-modified soda lignin (HOMSL), enhancing its hydroxyl content and reactivity toward isocyanates. To ensure effective crosslinking and minimize porosity, the NCO/OH molar ratio was precisely calculated in the adhesive formulations. Then, Enhanced polyurethane (E-PU) adhesives were synthesized by partially replacing PEG-200 with different weight ratios of HOMSL (20–40 wt%). Structural analysis by FTIR and GPC confirmed successful modification, with HOMSL exhibiting increased molecular weight (Mw = 3708 Da) and polydispersity (PDI = 3.4). Thermogravimetric analysis showed that E-PU adhesives with 30–40 wt% HOMSL exhibited a two-stage degradation process with improved thermal stability due to the aromatic lignin backbone. Mechanical testing revealed a peak tensile strength increase from 2.4 MPa (E-PU1) to 4.8 MPa (E-PU4), while elongation decreased with increased HOMSL, indicating higher crosslink density. The lap shear strength on aluminum substrates improved significantly, from 0.006 MPa (Al/E-PU1) to 0.0496 MPa (Al/E-PU2) when 20 wt% HOMSL was used. However, higher HOMSL content led to interfacial detachment due to limited isocyanate availability. These results demonstrate that HOMSL can effectively enhance the thermal, mechanical, and adhesive performance of PU systems, offering a scalable and eco-friendly strategy for biomass-based adhesive production.</p></div>","PeriodicalId":659,"journal":{"name":"Journal of Polymers and the Environment","volume":"33 9","pages":"4237 - 4246"},"PeriodicalIF":5.0000,"publicationDate":"2025-07-23","publicationTypes":"Journal Article","fieldsOfStudy":null,"isOpenAccess":false,"openAccessPdf":"","citationCount":"0","resultStr":"{\"title\":\"Improving Polyurethane Adhesives by Partially Replacing Hydroxypropyl-Maleate Modified Soda Lignin with Polyethylene Glycol: A Sustainable Approach to Biomass-Based Adhesive Technology\",\"authors\":\"Mehri Sharifi Bidokhti,&nbsp;Hossein Mahdavi\",\"doi\":\"10.1007/s10924-025-03635-z\",\"DOIUrl\":null,\"url\":null,\"abstract\":\"<div><p>Polyurethane adhesives provide strong adhesion, durability, and versatility across various substrates but rely on non-renewable petrochemical polyols. To improve sustainability, researchers seek to discover renewable biopolymer alternatives rich in hydroxyl groups, making it a promising bio-based polyol for polyurethane formulations. In this study, Soda Lignin (SL), a sulfur-free, renewable, and highly functional biopolymer, was modified with maleic anhydride esterification and subsequent propylene carbonate oxyalkylation to produce hydroxypropyl maleate-modified soda lignin (HOMSL), enhancing its hydroxyl content and reactivity toward isocyanates. To ensure effective crosslinking and minimize porosity, the NCO/OH molar ratio was precisely calculated in the adhesive formulations. Then, Enhanced polyurethane (E-PU) adhesives were synthesized by partially replacing PEG-200 with different weight ratios of HOMSL (20–40 wt%). Structural analysis by FTIR and GPC confirmed successful modification, with HOMSL exhibiting increased molecular weight (Mw = 3708 Da) and polydispersity (PDI = 3.4). Thermogravimetric analysis showed that E-PU adhesives with 30–40 wt% HOMSL exhibited a two-stage degradation process with improved thermal stability due to the aromatic lignin backbone. Mechanical testing revealed a peak tensile strength increase from 2.4 MPa (E-PU1) to 4.8 MPa (E-PU4), while elongation decreased with increased HOMSL, indicating higher crosslink density. The lap shear strength on aluminum substrates improved significantly, from 0.006 MPa (Al/E-PU1) to 0.0496 MPa (Al/E-PU2) when 20 wt% HOMSL was used. However, higher HOMSL content led to interfacial detachment due to limited isocyanate availability. These results demonstrate that HOMSL can effectively enhance the thermal, mechanical, and adhesive performance of PU systems, offering a scalable and eco-friendly strategy for biomass-based adhesive production.</p></div>\",\"PeriodicalId\":659,\"journal\":{\"name\":\"Journal of Polymers and the Environment\",\"volume\":\"33 9\",\"pages\":\"4237 - 4246\"},\"PeriodicalIF\":5.0000,\"publicationDate\":\"2025-07-23\",\"publicationTypes\":\"Journal Article\",\"fieldsOfStudy\":null,\"isOpenAccess\":false,\"openAccessPdf\":\"\",\"citationCount\":\"0\",\"resultStr\":null,\"platform\":\"Semanticscholar\",\"paperid\":null,\"PeriodicalName\":\"Journal of Polymers and the Environment\",\"FirstCategoryId\":\"5\",\"ListUrlMain\":\"https://link.springer.com/article/10.1007/s10924-025-03635-z\",\"RegionNum\":3,\"RegionCategory\":\"工程技术\",\"ArticlePicture\":[],\"TitleCN\":null,\"AbstractTextCN\":null,\"PMCID\":null,\"EPubDate\":\"\",\"PubModel\":\"\",\"JCR\":\"Q2\",\"JCRName\":\"ENGINEERING, ENVIRONMENTAL\",\"Score\":null,\"Total\":0}","platform":"Semanticscholar","paperid":null,"PeriodicalName":"Journal of Polymers and the Environment","FirstCategoryId":"5","ListUrlMain":"https://link.springer.com/article/10.1007/s10924-025-03635-z","RegionNum":3,"RegionCategory":"工程技术","ArticlePicture":[],"TitleCN":null,"AbstractTextCN":null,"PMCID":null,"EPubDate":"","PubModel":"","JCR":"Q2","JCRName":"ENGINEERING, ENVIRONMENTAL","Score":null,"Total":0}
引用次数: 0

摘要

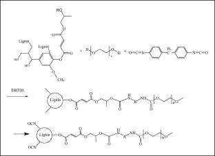
聚氨酯胶粘剂在各种基材上具有很强的附着力、耐久性和多功能性,但依赖于不可再生的石化多元醇。为了提高可持续性,研究人员寻求发现富含羟基的可再生生物聚合物替代品,使其成为聚氨酯配方中有前途的生物基多元醇。本研究以一种无硫、可再生、高功能的生物聚合物——碱木质素(SL)为研究对象,通过马来酸酐酯化和碳酸丙烯氧烷基化法制备了马来酸羟丙基改性碱木质素(HOMSL),提高了其羟基含量和对异氰酸酯的反应性。为了保证交联效果和降低孔隙率,在胶粘剂配方中精确计算了NCO/OH的摩尔比。然后用不同重量比的HOMSL (20-40 wt%)部分取代PEG-200,合成增强型聚氨酯(E-PU)胶粘剂。FTIR和GPC的结构分析证实了改性的成功,HOMSL的分子量(Mw = 3708 Da)和多分散性(PDI = 3.4)均有所增加。热重分析表明,含30-40 wt% HOMSL的E-PU胶粘剂表现出两阶段降解过程,由于芳香族木质素主链的存在,热稳定性得到改善。力学测试表明,随着HOMSL的增加,材料的峰值抗拉强度从2.4 MPa (E-PU1)增加到4.8 MPa (E-PU4),而伸长率则随着HOMSL的增加而降低,表明交联密度增加。当添加20%的HOMSL时,铝基体的搭接剪切强度从0.006 MPa (Al/E-PU1)提高到0.0496 MPa (Al/E-PU2)。然而,由于异氰酸酯的可用性有限,较高的HOMSL含量会导致界面脱离。这些结果表明,HOMSL可以有效地提高PU系统的热、机械和粘合性能,为生物质基粘合剂的生产提供了一种可扩展和环保的策略。
本文章由计算机程序翻译,如有差异,请以英文原文为准。

Improving Polyurethane Adhesives by Partially Replacing Hydroxypropyl-Maleate Modified Soda Lignin with Polyethylene Glycol: A Sustainable Approach to Biomass-Based Adhesive Technology

Improving Polyurethane Adhesives by Partially Replacing Hydroxypropyl-Maleate Modified Soda Lignin with Polyethylene Glycol: A Sustainable Approach to Biomass-Based Adhesive Technology

Improving Polyurethane Adhesives by Partially Replacing Hydroxypropyl-Maleate Modified Soda Lignin with Polyethylene Glycol: A Sustainable Approach to Biomass-Based Adhesive Technology

Polyurethane adhesives provide strong adhesion, durability, and versatility across various substrates but rely on non-renewable petrochemical polyols. To improve sustainability, researchers seek to discover renewable biopolymer alternatives rich in hydroxyl groups, making it a promising bio-based polyol for polyurethane formulations. In this study, Soda Lignin (SL), a sulfur-free, renewable, and highly functional biopolymer, was modified with maleic anhydride esterification and subsequent propylene carbonate oxyalkylation to produce hydroxypropyl maleate-modified soda lignin (HOMSL), enhancing its hydroxyl content and reactivity toward isocyanates. To ensure effective crosslinking and minimize porosity, the NCO/OH molar ratio was precisely calculated in the adhesive formulations. Then, Enhanced polyurethane (E-PU) adhesives were synthesized by partially replacing PEG-200 with different weight ratios of HOMSL (20–40 wt%). Structural analysis by FTIR and GPC confirmed successful modification, with HOMSL exhibiting increased molecular weight (Mw = 3708 Da) and polydispersity (PDI = 3.4). Thermogravimetric analysis showed that E-PU adhesives with 30–40 wt% HOMSL exhibited a two-stage degradation process with improved thermal stability due to the aromatic lignin backbone. Mechanical testing revealed a peak tensile strength increase from 2.4 MPa (E-PU1) to 4.8 MPa (E-PU4), while elongation decreased with increased HOMSL, indicating higher crosslink density. The lap shear strength on aluminum substrates improved significantly, from 0.006 MPa (Al/E-PU1) to 0.0496 MPa (Al/E-PU2) when 20 wt% HOMSL was used. However, higher HOMSL content led to interfacial detachment due to limited isocyanate availability. These results demonstrate that HOMSL can effectively enhance the thermal, mechanical, and adhesive performance of PU systems, offering a scalable and eco-friendly strategy for biomass-based adhesive production.

求助全文
通过发布文献求助,成功后即可免费获取论文全文。 去求助
来源期刊
Journal of Polymers and the Environment
Journal of Polymers and the Environment 工程技术-高分子科学
CiteScore
9.50
自引率
7.50%
发文量
297
审稿时长
9 months
期刊介绍: The Journal of Polymers and the Environment fills the need for an international forum in this diverse and rapidly expanding field. The journal serves a crucial role for the publication of information from a wide range of disciplines and is a central outlet for the publication of high-quality peer-reviewed original papers, review articles and short communications. The journal is intentionally interdisciplinary in regard to contributions and covers the following subjects - polymers, environmentally degradable polymers, and degradation pathways: biological, photochemical, oxidative and hydrolytic; new environmental materials: derived by chemical and biosynthetic routes; environmental blends and composites; developments in processing and reactive processing of environmental polymers; characterization of environmental materials: mechanical, physical, thermal, rheological, morphological, and others; recyclable polymers and plastics recycling environmental testing: in-laboratory simulations, outdoor exposures, and standardization of methodologies; environmental fate: end products and intermediates of biodegradation; microbiology and enzymology of polymer biodegradation; solid-waste management and public legislation specific to environmental polymers; and other related topics.
×
引用
GB/T 7714-2015
复制
MLA
复制
APA
复制
导出至
BibTeX EndNote RefMan NoteFirst NoteExpress
×
提示
您的信息不完整,为了账户安全,请先补充。
现在去补充
×
提示
您因"违规操作"
具体请查看互助需知
我知道了
×
提示
确定
请完成安全验证×
copy
已复制链接
快去分享给好友吧!
我知道了
右上角分享
点击右上角分享
0
联系我们:info@booksci.cn Book学术提供免费学术资源搜索服务,方便国内外学者检索中英文文献。致力于提供最便捷和优质的服务体验。 Copyright © 2023 布克学术 All rights reserved.
京ICP备2023020795号-1
ghs 京公网安备 11010802042870号
Book学术文献互助
Book学术文献互助群
群 号:604180095
Book学术官方微信