增强艾滋病和弥散性马尔内菲Talaromyces marneffei的死亡率预测:新的炎症标记物在nomogram中的影响。

IF 2
Yan Zhang, Xia Zhang, Huaizhong Cui, Kailong Gu, Wenyan Yu, Lingyan He, Yujiao Jin
{"title":"增强艾滋病和弥散性马尔内菲Talaromyces marneffei的死亡率预测:新的炎症标记物在nomogram中的影响。","authors":"Yan Zhang, Xia Zhang, Huaizhong Cui, Kailong Gu, Wenyan Yu, Lingyan He, Yujiao Jin","doi":"10.1099/jmm.0.002066","DOIUrl":null,"url":null,"abstract":"<p><p><b>Introduction.</b> <i>Talaromyces marneffei</i> (TM) is a common opportunistic infection among patients with AIDS, characterized by rapid systemic dissemination and a high mortality rate. Early identification of patients at risk of death is critical to improving clinical outcomes.<b>Hypothesis/Gap Statement.</b> Despite the severity of disseminated TM infection (DPSM), few predictive tools exist to assess mortality risk in affected AIDS patients. A clinical prediction model incorporating novel inflammatory markers may help guide timely intervention.<b>Aim.</b> This study aimed to identify independent risk factors for mortality in AIDS patients with DPSM and to develop and validate a nomogram for individualized risk prediction.<b>Methodology.</b> A retrospective study was conducted on 174 AIDS patients with DPSM and complete clinical data admitted to Hangzhou Xixi Hospital between January 2013 and June 2024. A training cohort of 104 patients was used to identify mortality-related risk factors via logistic regression and to construct a predictive nomogram. The remaining 70 patients constituted a validation cohort to evaluate the model using area under the curve (AUC), decision curve analysis (DCA) and calibration curves.<b>Results.</b> The overall mortality rate was 18.97% (33/174). Effusion, bone marrow suppression, systemic inflammation and malnutrition were significantly associated with fatal outcomes (<i>P</i><0.05). Multivariate logistic regression identified white blood cell count, C-reactive protein-to-prealbumin ratio and procalcitonin-to-albumin ratio as independent risk factors for mortality. The nomogram based on these predictors showed strong discriminative power in both training and validation cohorts (AUC=0.89 and 0.78, respectively). DCA demonstrated the clinical utility and net benefit of the model.<b>Conclusion.</b> This study identified key predictors of mortality in AIDS patients with DPSM and developed a validated nomogram incorporating novel inflammatory markers. The tool offers potential value for individualized risk assessment and clinical decision-making.</p>","PeriodicalId":94093,"journal":{"name":"Journal of medical microbiology","volume":"74 9","pages":""},"PeriodicalIF":2.0000,"publicationDate":"2025-09-01","publicationTypes":"Journal Article","fieldsOfStudy":null,"isOpenAccess":false,"openAccessPdf":"https://www.ncbi.nlm.nih.gov/pmc/articles/PMC12413300/pdf/","citationCount":"0","resultStr":"{\"title\":\"Enhancing mortality prediction in AIDS and disseminated <i>Talaromyces marneffei</i>: the impact of novel inflammatory markers in a nomogram.\",\"authors\":\"Yan Zhang, Xia Zhang, Huaizhong Cui, Kailong Gu, Wenyan Yu, Lingyan He, Yujiao Jin\",\"doi\":\"10.1099/jmm.0.002066\",\"DOIUrl\":null,\"url\":null,\"abstract\":\"<p><p><b>Introduction.</b> <i>Talaromyces marneffei</i> (TM) is a common opportunistic infection among patients with AIDS, characterized by rapid systemic dissemination and a high mortality rate. Early identification of patients at risk of death is critical to improving clinical outcomes.<b>Hypothesis/Gap Statement.</b> Despite the severity of disseminated TM infection (DPSM), few predictive tools exist to assess mortality risk in affected AIDS patients. A clinical prediction model incorporating novel inflammatory markers may help guide timely intervention.<b>Aim.</b> This study aimed to identify independent risk factors for mortality in AIDS patients with DPSM and to develop and validate a nomogram for individualized risk prediction.<b>Methodology.</b> A retrospective study was conducted on 174 AIDS patients with DPSM and complete clinical data admitted to Hangzhou Xixi Hospital between January 2013 and June 2024. A training cohort of 104 patients was used to identify mortality-related risk factors via logistic regression and to construct a predictive nomogram. The remaining 70 patients constituted a validation cohort to evaluate the model using area under the curve (AUC), decision curve analysis (DCA) and calibration curves.<b>Results.</b> The overall mortality rate was 18.97% (33/174). Effusion, bone marrow suppression, systemic inflammation and malnutrition were significantly associated with fatal outcomes (<i>P</i><0.05). Multivariate logistic regression identified white blood cell count, C-reactive protein-to-prealbumin ratio and procalcitonin-to-albumin ratio as independent risk factors for mortality. The nomogram based on these predictors showed strong discriminative power in both training and validation cohorts (AUC=0.89 and 0.78, respectively). DCA demonstrated the clinical utility and net benefit of the model.<b>Conclusion.</b> This study identified key predictors of mortality in AIDS patients with DPSM and developed a validated nomogram incorporating novel inflammatory markers. The tool offers potential value for individualized risk assessment and clinical decision-making.</p>\",\"PeriodicalId\":94093,\"journal\":{\"name\":\"Journal of medical microbiology\",\"volume\":\"74 9\",\"pages\":\"\"},\"PeriodicalIF\":2.0000,\"publicationDate\":\"2025-09-01\",\"publicationTypes\":\"Journal Article\",\"fieldsOfStudy\":null,\"isOpenAccess\":false,\"openAccessPdf\":\"https://www.ncbi.nlm.nih.gov/pmc/articles/PMC12413300/pdf/\",\"citationCount\":\"0\",\"resultStr\":null,\"platform\":\"Semanticscholar\",\"paperid\":null,\"PeriodicalName\":\"Journal of medical microbiology\",\"FirstCategoryId\":\"1085\",\"ListUrlMain\":\"https://doi.org/10.1099/jmm.0.002066\",\"RegionNum\":0,\"RegionCategory\":null,\"ArticlePicture\":[],\"TitleCN\":null,\"AbstractTextCN\":null,\"PMCID\":null,\"EPubDate\":\"\",\"PubModel\":\"\",\"JCR\":\"\",\"JCRName\":\"\",\"Score\":null,\"Total\":0}","platform":"Semanticscholar","paperid":null,"PeriodicalName":"Journal of medical microbiology","FirstCategoryId":"1085","ListUrlMain":"https://doi.org/10.1099/jmm.0.002066","RegionNum":0,"RegionCategory":null,"ArticlePicture":[],"TitleCN":null,"AbstractTextCN":null,"PMCID":null,"EPubDate":"","PubModel":"","JCR":"","JCRName":"","Score":null,"Total":0}
引用次数: 0

摘要

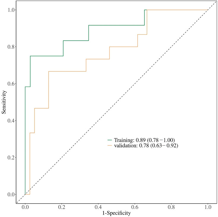
介绍。曼尼菲Talaromyces marneffei (TM)是艾滋病患者中常见的机会性感染,其特点是全身传播迅速,死亡率高。早期识别有死亡风险的患者对改善临床结果至关重要。假设/差距语句。尽管弥散性TM感染(DPSM)很严重,但目前很少有预测工具来评估受感染艾滋病患者的死亡风险。结合新型炎症标志物的临床预测模型有助于指导及时干预。本研究旨在确定AIDS合并DPSM患者死亡的独立危险因素,并开发和验证个体化风险预测的nomogram。回顾性研究2013年1月至2024年6月在杭州西溪医院住院的174例艾滋病伴DPSM患者及完整的临床资料。104名患者的培训队列通过逻辑回归识别与死亡相关的危险因素,并构建预测nomogram。其余70例患者组成验证队列,采用曲线下面积(AUC)、决策曲线分析(DCA)和校准曲线对模型进行评价。总死亡率为18.97%(33/174)。积液、骨髓抑制、全身炎症和营养不良与死亡结局显著相关(p结论。本研究确定了艾滋病伴DPSM患者死亡率的关键预测因素,并开发了一种包含新型炎症标志物的有效nomogram。该工具为个体化风险评估和临床决策提供了潜在价值。
本文章由计算机程序翻译,如有差异,请以英文原文为准。

Enhancing mortality prediction in AIDS and disseminated <i>Talaromyces marneffei</i>: the impact of novel inflammatory markers in a nomogram.

Enhancing mortality prediction in AIDS and disseminated <i>Talaromyces marneffei</i>: the impact of novel inflammatory markers in a nomogram.

Enhancing mortality prediction in AIDS and disseminated <i>Talaromyces marneffei</i>: the impact of novel inflammatory markers in a nomogram.

Enhancing mortality prediction in AIDS and disseminated Talaromyces marneffei: the impact of novel inflammatory markers in a nomogram.

Introduction. Talaromyces marneffei (TM) is a common opportunistic infection among patients with AIDS, characterized by rapid systemic dissemination and a high mortality rate. Early identification of patients at risk of death is critical to improving clinical outcomes.Hypothesis/Gap Statement. Despite the severity of disseminated TM infection (DPSM), few predictive tools exist to assess mortality risk in affected AIDS patients. A clinical prediction model incorporating novel inflammatory markers may help guide timely intervention.Aim. This study aimed to identify independent risk factors for mortality in AIDS patients with DPSM and to develop and validate a nomogram for individualized risk prediction.Methodology. A retrospective study was conducted on 174 AIDS patients with DPSM and complete clinical data admitted to Hangzhou Xixi Hospital between January 2013 and June 2024. A training cohort of 104 patients was used to identify mortality-related risk factors via logistic regression and to construct a predictive nomogram. The remaining 70 patients constituted a validation cohort to evaluate the model using area under the curve (AUC), decision curve analysis (DCA) and calibration curves.Results. The overall mortality rate was 18.97% (33/174). Effusion, bone marrow suppression, systemic inflammation and malnutrition were significantly associated with fatal outcomes (P<0.05). Multivariate logistic regression identified white blood cell count, C-reactive protein-to-prealbumin ratio and procalcitonin-to-albumin ratio as independent risk factors for mortality. The nomogram based on these predictors showed strong discriminative power in both training and validation cohorts (AUC=0.89 and 0.78, respectively). DCA demonstrated the clinical utility and net benefit of the model.Conclusion. This study identified key predictors of mortality in AIDS patients with DPSM and developed a validated nomogram incorporating novel inflammatory markers. The tool offers potential value for individualized risk assessment and clinical decision-making.

求助全文
通过发布文献求助,成功后即可免费获取论文全文。 去求助
来源期刊
自引率
0.00%
发文量
0
×
引用
GB/T 7714-2015
复制
MLA
复制
APA
复制
导出至
BibTeX EndNote RefMan NoteFirst NoteExpress
×
提示
您的信息不完整,为了账户安全,请先补充。
现在去补充
×
提示
您因"违规操作"
具体请查看互助需知
我知道了
×
提示
确定
请完成安全验证×
copy
已复制链接
快去分享给好友吧!
我知道了
右上角分享
点击右上角分享
0
联系我们:info@booksci.cn Book学术提供免费学术资源搜索服务,方便国内外学者检索中英文文献。致力于提供最便捷和优质的服务体验。 Copyright © 2023 布克学术 All rights reserved.
京ICP备2023020795号-1
ghs 京公网安备 11010802042870号
Book学术文献互助
Book学术文献互助群
群 号:604180095
Book学术官方微信