在2022/23赛季FIFA世界杯期间,欧洲俱乐部足球的伤病发生率没有重大变化:欧足联精英俱乐部伤病研究的子分析。

IF 3.2 Q1 SPORT SCIENCES
BMJ Open Sport & Exercise Medicine Pub Date : 2025-09-01 eCollection Date: 2025-01-01 DOI:10.1136/bmjsem-2025-002772
Håkan Bengtsson, Martin Hägglund, Jan Ekstrand, Anna Hallén, Markus Waldén
{"title":"在2022/23赛季FIFA世界杯期间,欧洲俱乐部足球的伤病发生率没有重大变化:欧足联精英俱乐部伤病研究的子分析。","authors":"Håkan Bengtsson, Martin Hägglund, Jan Ekstrand, Anna Hallén, Markus Waldén","doi":"10.1136/bmjsem-2025-002772","DOIUrl":null,"url":null,"abstract":"<p><strong>Objectives: </strong>To compare injury incidences between the 2022/23 season and the preceding five seasons, and between World Cup players and non-World Cup players during the 2022/23 season.</p><p><strong>Methods: </strong>During the 2022/23 season, 29 teams participated in the Union of European Football Associations Elite Club Injury Study and reported football exposures and injuries prospectively. Injury incidence was compared with that of the five preceding seasons for the full season and for periods before and after the Fédération Internationale de Football Association World Cup 2022. In addition, World Cup players were compared with non-World Cup players. Incidences were compared using rate ratio (RR) with 95% CI.</p><p><strong>Results: </strong>Injury incidences during the 2022/23 season were similar to previous seasons except for training incidence which, due to a significantly lower incidence in the 2017/18 season compared with all other seasons, was higher during the full season (RR 1.10, 95% CI 1.00 to 1.21) and in the period before the World Cup (RR 1.17, 95% CI 1.02 to 1.35). World Cup players had similar injury incidences before and after the tournament (training incidence; RR 0.95, 95% CI 0.65 to 1.38, match incidence; RR 1.15, 95% CI 0.87 to 1.52) but a significantly lower match incidence than non-World Cup players before the tournament (RR 0.84, 95% CI 0.71 to 1.00).</p><p><strong>Conclusions: </strong>No major changes in injury incidences were observed during the 2022/23 season compared with previous seasons. World Cup players experienced similar injury incidences before and after the tournament, and had a lower match injury incidence before the tournament compared with non-World Cup players.</p>","PeriodicalId":47417,"journal":{"name":"BMJ Open Sport & Exercise Medicine","volume":"11 3","pages":"e002772"},"PeriodicalIF":3.2000,"publicationDate":"2025-09-01","publicationTypes":"Journal Article","fieldsOfStudy":null,"isOpenAccess":false,"openAccessPdf":"https://www.ncbi.nlm.nih.gov/pmc/articles/PMC12406901/pdf/","citationCount":"0","resultStr":"{\"title\":\"No major changes in injury incidence in European club football during the 2022/23 FIFA World Cup season: a subanalysis of the UEFA Elite Club Injury Study.\",\"authors\":\"Håkan Bengtsson, Martin Hägglund, Jan Ekstrand, Anna Hallén, Markus Waldén\",\"doi\":\"10.1136/bmjsem-2025-002772\",\"DOIUrl\":null,\"url\":null,\"abstract\":\"<p><strong>Objectives: </strong>To compare injury incidences between the 2022/23 season and the preceding five seasons, and between World Cup players and non-World Cup players during the 2022/23 season.</p><p><strong>Methods: </strong>During the 2022/23 season, 29 teams participated in the Union of European Football Associations Elite Club Injury Study and reported football exposures and injuries prospectively. Injury incidence was compared with that of the five preceding seasons for the full season and for periods before and after the Fédération Internationale de Football Association World Cup 2022. In addition, World Cup players were compared with non-World Cup players. Incidences were compared using rate ratio (RR) with 95% CI.</p><p><strong>Results: </strong>Injury incidences during the 2022/23 season were similar to previous seasons except for training incidence which, due to a significantly lower incidence in the 2017/18 season compared with all other seasons, was higher during the full season (RR 1.10, 95% CI 1.00 to 1.21) and in the period before the World Cup (RR 1.17, 95% CI 1.02 to 1.35). World Cup players had similar injury incidences before and after the tournament (training incidence; RR 0.95, 95% CI 0.65 to 1.38, match incidence; RR 1.15, 95% CI 0.87 to 1.52) but a significantly lower match incidence than non-World Cup players before the tournament (RR 0.84, 95% CI 0.71 to 1.00).</p><p><strong>Conclusions: </strong>No major changes in injury incidences were observed during the 2022/23 season compared with previous seasons. World Cup players experienced similar injury incidences before and after the tournament, and had a lower match injury incidence before the tournament compared with non-World Cup players.</p>\",\"PeriodicalId\":47417,\"journal\":{\"name\":\"BMJ Open Sport & Exercise Medicine\",\"volume\":\"11 3\",\"pages\":\"e002772\"},\"PeriodicalIF\":3.2000,\"publicationDate\":\"2025-09-01\",\"publicationTypes\":\"Journal Article\",\"fieldsOfStudy\":null,\"isOpenAccess\":false,\"openAccessPdf\":\"https://www.ncbi.nlm.nih.gov/pmc/articles/PMC12406901/pdf/\",\"citationCount\":\"0\",\"resultStr\":null,\"platform\":\"Semanticscholar\",\"paperid\":null,\"PeriodicalName\":\"BMJ Open Sport & Exercise Medicine\",\"FirstCategoryId\":\"1085\",\"ListUrlMain\":\"https://doi.org/10.1136/bmjsem-2025-002772\",\"RegionNum\":0,\"RegionCategory\":null,\"ArticlePicture\":[],\"TitleCN\":null,\"AbstractTextCN\":null,\"PMCID\":null,\"EPubDate\":\"2025/1/1 0:00:00\",\"PubModel\":\"eCollection\",\"JCR\":\"Q1\",\"JCRName\":\"SPORT SCIENCES\",\"Score\":null,\"Total\":0}","platform":"Semanticscholar","paperid":null,"PeriodicalName":"BMJ Open Sport & Exercise Medicine","FirstCategoryId":"1085","ListUrlMain":"https://doi.org/10.1136/bmjsem-2025-002772","RegionNum":0,"RegionCategory":null,"ArticlePicture":[],"TitleCN":null,"AbstractTextCN":null,"PMCID":null,"EPubDate":"2025/1/1 0:00:00","PubModel":"eCollection","JCR":"Q1","JCRName":"SPORT SCIENCES","Score":null,"Total":0}
引用次数: 0

摘要

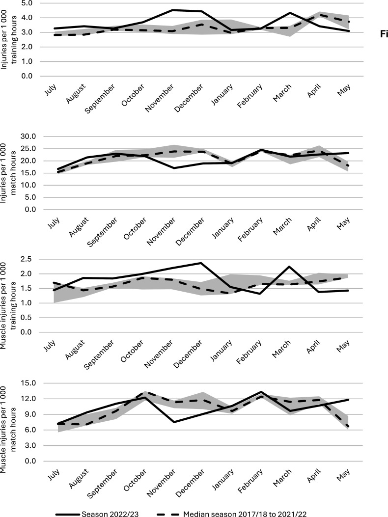
目的:比较2022/23赛季与前五个赛季的伤病发生率,以及2022/23赛季世界杯球员与非世界杯球员之间的伤病发生率。方法:在2022/23赛季,29支球队参加了欧洲足球协会联盟精英俱乐部损伤研究,并前瞻性地报告了足球暴露和损伤。伤病发生率与前五个赛季的整个赛季以及2022年国际足联世界杯前后的伤病发生率进行了比较。此外,还将参加世界杯的球员与未参加世界杯的球员进行了比较。发生率比较采用95% CI的率比(RR)。结果:2022/23赛季的受伤发生率与前几个赛季相似,除了训练发生率,由于2017/18赛季的发生率与其他所有赛季相比显着降低,在整个赛季(RR 1.10, 95% CI 1.00至1.21)和世界杯前期间(RR 1.17, 95% CI 1.02至1.35)。世界杯球员赛前和赛后的受伤发生率相似(训练发生率,RR = 0.95, 95% CI = 0.65 ~ 1.38;比赛发生率,RR = 1.15, 95% CI = 0.87 ~ 1.52),但赛前的比赛发生率明显低于非世界杯球员(RR = 0.84, 95% CI = 0.71 ~ 1.00)。结论:与前几个赛季相比,2022/23赛季损伤发生率无明显变化。世界杯球员在赛前和赛后的受伤发生率相似,赛前的比赛受伤发生率低于非世界杯球员。
本文章由计算机程序翻译,如有差异,请以英文原文为准。

No major changes in injury incidence in European club football during the 2022/23 FIFA World Cup season: a subanalysis of the UEFA Elite Club Injury Study.

No major changes in injury incidence in European club football during the 2022/23 FIFA World Cup season: a subanalysis of the UEFA Elite Club Injury Study.

No major changes in injury incidence in European club football during the 2022/23 FIFA World Cup season: a subanalysis of the UEFA Elite Club Injury Study.

No major changes in injury incidence in European club football during the 2022/23 FIFA World Cup season: a subanalysis of the UEFA Elite Club Injury Study.

Objectives: To compare injury incidences between the 2022/23 season and the preceding five seasons, and between World Cup players and non-World Cup players during the 2022/23 season.

Methods: During the 2022/23 season, 29 teams participated in the Union of European Football Associations Elite Club Injury Study and reported football exposures and injuries prospectively. Injury incidence was compared with that of the five preceding seasons for the full season and for periods before and after the Fédération Internationale de Football Association World Cup 2022. In addition, World Cup players were compared with non-World Cup players. Incidences were compared using rate ratio (RR) with 95% CI.

Results: Injury incidences during the 2022/23 season were similar to previous seasons except for training incidence which, due to a significantly lower incidence in the 2017/18 season compared with all other seasons, was higher during the full season (RR 1.10, 95% CI 1.00 to 1.21) and in the period before the World Cup (RR 1.17, 95% CI 1.02 to 1.35). World Cup players had similar injury incidences before and after the tournament (training incidence; RR 0.95, 95% CI 0.65 to 1.38, match incidence; RR 1.15, 95% CI 0.87 to 1.52) but a significantly lower match incidence than non-World Cup players before the tournament (RR 0.84, 95% CI 0.71 to 1.00).

Conclusions: No major changes in injury incidences were observed during the 2022/23 season compared with previous seasons. World Cup players experienced similar injury incidences before and after the tournament, and had a lower match injury incidence before the tournament compared with non-World Cup players.

求助全文
通过发布文献求助,成功后即可免费获取论文全文。 去求助
来源期刊
CiteScore
7.10
自引率
4.20%
发文量
106
审稿时长
20 weeks
×
引用
GB/T 7714-2015
复制
MLA
复制
APA
复制
导出至
BibTeX EndNote RefMan NoteFirst NoteExpress
×
提示
您的信息不完整,为了账户安全,请先补充。
现在去补充
×
提示
您因"违规操作"
具体请查看互助需知
我知道了
×
提示
确定
请完成安全验证×
copy
已复制链接
快去分享给好友吧!
我知道了
右上角分享
点击右上角分享
0
联系我们:info@booksci.cn Book学术提供免费学术资源搜索服务,方便国内外学者检索中英文文献。致力于提供最便捷和优质的服务体验。 Copyright © 2023 布克学术 All rights reserved.
京ICP备2023020795号-1
ghs 京公网安备 11010802042870号
Book学术文献互助
Book学术文献互助群
群 号:604180095
Book学术官方微信