可解释的机器学习模型预测机器人辅助根治性前列腺切除术后1年腹股沟疝风险。

IF 3 3区 医学 Q2 SURGERY
Weidong Yu, You Ma, Junchao Wu, Meng Zhang, Cheng Yang
{"title":"可解释的机器学习模型预测机器人辅助根治性前列腺切除术后1年腹股沟疝风险。","authors":"Weidong Yu, You Ma, Junchao Wu, Meng Zhang, Cheng Yang","doi":"10.1007/s11701-025-02723-5","DOIUrl":null,"url":null,"abstract":"<p><p>Inguinal hernia represents a clinically significant yet underreported complication of robot-assisted radical prostatectomy (RARP) for localized prostate cancer, with a notably high incidence within the first postoperative year. Despite its adverse impact on quality of life and potential for severe sequelae, predictive tools for this outcome remain limited. To develop and validate the first machine learning (ML)-based clinical prediction model for inguinal hernia within 1 year after RARP, leveraging explainable artificial intelligence (AI) techniques for clinical interpretability. This retrospective study analyzed localized prostate cancer patients who underwent RARP between June 1, 2021 and May 1, 2023 at our center. Least absolute shrinkage and selection operator (LASSO) regression identified five key predictors from multiple clinical parameters. Five ML algorithms were developed and evaluated on a 70:30 training-test split. Model performance was assessed via area under the curve (AUC), accuracy, specificity, and decision curve analysis (DCA). SHapley Additive exPlanations (SHAP) methodology provided interpretable feature attribution. The final analysis included 652 eligible patients. Extreme gradient boosting (XGBoost) demonstrated superior discriminative ability, with an AUC of 0.833 (95% CI: 0.770-0.895) in the validation set and 0.791 (95% CI: 0.734-0.848) in the test set. SHAP analysis identified five critical predictors ranked by impact: age, body mass index (BMI), preoperative albumin level, T stage, and history of abdominal surgery. This study established the first ML-driven predictive model for post-RARP inguinal hernia, with XGBoost demonstrating optimal performance. High-risk patients identified by the model warrant personalized proactive interventions.</p>","PeriodicalId":47616,"journal":{"name":"Journal of Robotic Surgery","volume":"19 1","pages":"564"},"PeriodicalIF":3.0000,"publicationDate":"2025-09-05","publicationTypes":"Journal Article","fieldsOfStudy":null,"isOpenAccess":false,"openAccessPdf":"https://www.ncbi.nlm.nih.gov/pmc/articles/PMC12413417/pdf/","citationCount":"0","resultStr":"{\"title\":\"Interpretable machine learning model predicts 1-year inguinal hernia risk after robot-assisted radical prostatectomy.\",\"authors\":\"Weidong Yu, You Ma, Junchao Wu, Meng Zhang, Cheng Yang\",\"doi\":\"10.1007/s11701-025-02723-5\",\"DOIUrl\":null,\"url\":null,\"abstract\":\"<p><p>Inguinal hernia represents a clinically significant yet underreported complication of robot-assisted radical prostatectomy (RARP) for localized prostate cancer, with a notably high incidence within the first postoperative year. Despite its adverse impact on quality of life and potential for severe sequelae, predictive tools for this outcome remain limited. To develop and validate the first machine learning (ML)-based clinical prediction model for inguinal hernia within 1 year after RARP, leveraging explainable artificial intelligence (AI) techniques for clinical interpretability. This retrospective study analyzed localized prostate cancer patients who underwent RARP between June 1, 2021 and May 1, 2023 at our center. Least absolute shrinkage and selection operator (LASSO) regression identified five key predictors from multiple clinical parameters. Five ML algorithms were developed and evaluated on a 70:30 training-test split. Model performance was assessed via area under the curve (AUC), accuracy, specificity, and decision curve analysis (DCA). SHapley Additive exPlanations (SHAP) methodology provided interpretable feature attribution. The final analysis included 652 eligible patients. Extreme gradient boosting (XGBoost) demonstrated superior discriminative ability, with an AUC of 0.833 (95% CI: 0.770-0.895) in the validation set and 0.791 (95% CI: 0.734-0.848) in the test set. SHAP analysis identified five critical predictors ranked by impact: age, body mass index (BMI), preoperative albumin level, T stage, and history of abdominal surgery. This study established the first ML-driven predictive model for post-RARP inguinal hernia, with XGBoost demonstrating optimal performance. High-risk patients identified by the model warrant personalized proactive interventions.</p>\",\"PeriodicalId\":47616,\"journal\":{\"name\":\"Journal of Robotic Surgery\",\"volume\":\"19 1\",\"pages\":\"564\"},\"PeriodicalIF\":3.0000,\"publicationDate\":\"2025-09-05\",\"publicationTypes\":\"Journal Article\",\"fieldsOfStudy\":null,\"isOpenAccess\":false,\"openAccessPdf\":\"https://www.ncbi.nlm.nih.gov/pmc/articles/PMC12413417/pdf/\",\"citationCount\":\"0\",\"resultStr\":null,\"platform\":\"Semanticscholar\",\"paperid\":null,\"PeriodicalName\":\"Journal of Robotic Surgery\",\"FirstCategoryId\":\"3\",\"ListUrlMain\":\"https://doi.org/10.1007/s11701-025-02723-5\",\"RegionNum\":3,\"RegionCategory\":\"医学\",\"ArticlePicture\":[],\"TitleCN\":null,\"AbstractTextCN\":null,\"PMCID\":null,\"EPubDate\":\"\",\"PubModel\":\"\",\"JCR\":\"Q2\",\"JCRName\":\"SURGERY\",\"Score\":null,\"Total\":0}","platform":"Semanticscholar","paperid":null,"PeriodicalName":"Journal of Robotic Surgery","FirstCategoryId":"3","ListUrlMain":"https://doi.org/10.1007/s11701-025-02723-5","RegionNum":3,"RegionCategory":"医学","ArticlePicture":[],"TitleCN":null,"AbstractTextCN":null,"PMCID":null,"EPubDate":"","PubModel":"","JCR":"Q2","JCRName":"SURGERY","Score":null,"Total":0}
引用次数: 0

摘要

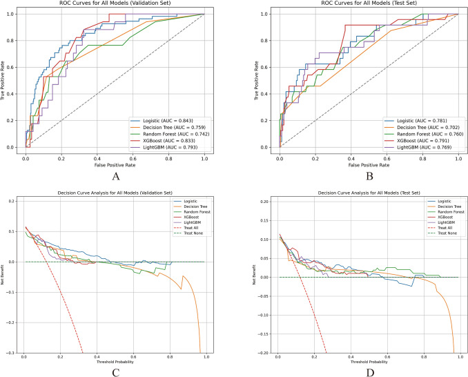
腹股沟疝是机器人辅助根治性前列腺切除术(RARP)治疗局限性前列腺癌的临床显著但未被报道的并发症,在术后第一年的发病率很高。尽管它对生活质量和潜在的严重后遗症有不利影响,但预测这一结果的工具仍然有限。开发和验证第一个基于机器学习(ML)的腹股沟疝临床预测模型,在RARP后1年内,利用可解释的人工智能(AI)技术实现临床可解释性。本回顾性研究分析了本中心于2021年6月1日至2023年5月1日期间接受RARP治疗的局限性前列腺癌患者。最小绝对收缩和选择算子(LASSO)回归从多个临床参数中确定了五个关键预测因子。开发了五种ML算法,并在70:30的训练-测试分割上进行了评估。通过曲线下面积(AUC)、准确性、特异性和决策曲线分析(DCA)来评估模型的性能。SHapley加性解释(SHAP)方法提供了可解释的特征归因。最终分析纳入652例符合条件的患者。极端梯度增强(XGBoost)表现出卓越的判别能力,验证集的AUC为0.833 (95% CI: 0.770-0.895),测试集的AUC为0.791 (95% CI: 0.734-0.848)。SHAP分析确定了五个关键预测因素:年龄、体重指数(BMI)、术前白蛋白水平、T分期和腹部手术史。本研究建立了第一个机器学习驱动的rarp后腹股沟疝预测模型,XGBoost表现出最佳的性能。该模型确定的高危患者需要个性化的主动干预。
本文章由计算机程序翻译,如有差异,请以英文原文为准。

Interpretable machine learning model predicts 1-year inguinal hernia risk after robot-assisted radical prostatectomy.

Interpretable machine learning model predicts 1-year inguinal hernia risk after robot-assisted radical prostatectomy.

Interpretable machine learning model predicts 1-year inguinal hernia risk after robot-assisted radical prostatectomy.

Interpretable machine learning model predicts 1-year inguinal hernia risk after robot-assisted radical prostatectomy.

Inguinal hernia represents a clinically significant yet underreported complication of robot-assisted radical prostatectomy (RARP) for localized prostate cancer, with a notably high incidence within the first postoperative year. Despite its adverse impact on quality of life and potential for severe sequelae, predictive tools for this outcome remain limited. To develop and validate the first machine learning (ML)-based clinical prediction model for inguinal hernia within 1 year after RARP, leveraging explainable artificial intelligence (AI) techniques for clinical interpretability. This retrospective study analyzed localized prostate cancer patients who underwent RARP between June 1, 2021 and May 1, 2023 at our center. Least absolute shrinkage and selection operator (LASSO) regression identified five key predictors from multiple clinical parameters. Five ML algorithms were developed and evaluated on a 70:30 training-test split. Model performance was assessed via area under the curve (AUC), accuracy, specificity, and decision curve analysis (DCA). SHapley Additive exPlanations (SHAP) methodology provided interpretable feature attribution. The final analysis included 652 eligible patients. Extreme gradient boosting (XGBoost) demonstrated superior discriminative ability, with an AUC of 0.833 (95% CI: 0.770-0.895) in the validation set and 0.791 (95% CI: 0.734-0.848) in the test set. SHAP analysis identified five critical predictors ranked by impact: age, body mass index (BMI), preoperative albumin level, T stage, and history of abdominal surgery. This study established the first ML-driven predictive model for post-RARP inguinal hernia, with XGBoost demonstrating optimal performance. High-risk patients identified by the model warrant personalized proactive interventions.

求助全文
通过发布文献求助,成功后即可免费获取论文全文。 去求助
来源期刊
CiteScore
4.20
自引率
8.70%
发文量
145
期刊介绍: The aim of the Journal of Robotic Surgery is to become the leading worldwide journal for publication of articles related to robotic surgery, encompassing surgical simulation and integrated imaging techniques. The journal provides a centralized, focused resource for physicians wishing to publish their experience or those wishing to avail themselves of the most up-to-date findings.The journal reports on advance in a wide range of surgical specialties including adult and pediatric urology, general surgery, cardiac surgery, gynecology, ENT, orthopedics and neurosurgery.The use of robotics in surgery is broad-based and will undoubtedly expand over the next decade as new technical innovations and techniques increase the applicability of its use. The journal intends to capture this trend as it develops.
×
引用
GB/T 7714-2015
复制
MLA
复制
APA
复制
导出至
BibTeX EndNote RefMan NoteFirst NoteExpress
×
提示
您的信息不完整,为了账户安全,请先补充。
现在去补充
×
提示
您因"违规操作"
具体请查看互助需知
我知道了
×
提示
确定
请完成安全验证×
copy
已复制链接
快去分享给好友吧!
我知道了
右上角分享
点击右上角分享
0
联系我们:info@booksci.cn Book学术提供免费学术资源搜索服务,方便国内外学者检索中英文文献。致力于提供最便捷和优质的服务体验。 Copyright © 2023 布克学术 All rights reserved.
京ICP备2023020795号-1
ghs 京公网安备 11010802042870号
Book学术文献互助
Book学术文献互助群
群 号:604180095
Book学术官方微信