影响比利时艾滋病毒感染者肺炎球菌、COVID-19和流感疫苗接种的因素:一项回顾性研究

IF 3.8 4区 医学 Q2 IMMUNOLOGY
Open Forum Infectious Diseases Pub Date : 2025-09-03 eCollection Date: 2025-09-01 DOI:10.1093/ofid/ofaf513
Li-Cécile Destordeur, Victoria Lopez Delhoulle, Iraklis Papadopoulos, Nathalie Maes, Karine Fombellida, Majdouline El Moussaoui, Gilles Darcis
{"title":"影响比利时艾滋病毒感染者肺炎球菌、COVID-19和流感疫苗接种的因素:一项回顾性研究","authors":"Li-Cécile Destordeur, Victoria Lopez Delhoulle, Iraklis Papadopoulos, Nathalie Maes, Karine Fombellida, Majdouline El Moussaoui, Gilles Darcis","doi":"10.1093/ofid/ofaf513","DOIUrl":null,"url":null,"abstract":"<p><strong>Background: </strong>Despite antiretroviral therapy, people living with HIV (PLWH) remain vulnerable to vaccine-preventable diseases. Although vaccination is strongly recommended, data on vaccine uptake among PLWH in Belgium remain scarce. This study aims to assess pneumococcal, COVID-19, and influenza vaccine coverage in PLWH in Belgium and identify factors associated with vaccine uptake.</p><p><strong>Methods: </strong>We conducted a retrospective study using the data from the HIV database of the Liege University Hospital in Belgium from 2017 to 2022. We evaluated vaccine coverage and collected demographic, clinical, and biological data to assess factors associated with vaccine uptake. Vaccine adherence was characterized as follows: partial adherence: receipt of at least one of the recommended vaccines during the study period and complete vaccination: pneumococcal vaccination, full COVID-19 primary vaccination, and annual influenza vaccination throughout the study period.</p><p><strong>Results: </strong>Among 791 participants, 89.1% received at least 1 dose of COVID-19 vaccine. Sixty-eight percent received at least 1 dose of influenza vaccine, but only 10.1% were vaccinated annually. Pneumococcal vaccine coverage was only 37.8%. Complete vaccine adherence was correlated with age (adjusted odds ratio [aOR]: 1.02, <i>P</i> = .024). Partial vaccine adherence was associated with age (aOR: 2.66, <i>P</i> = .026) and number of consultations (aOR: 1.23, <i>P</i> = .0002) and negatively associated with intravenous drug use (aOR: 0.15, <i>P</i> = .015).</p><p><strong>Conclusions: </strong>While COVID-19 vaccine uptake was high, vaccination coverage for influenza and pneumococcal disease remains insufficient. Age, healthcare encounters, and drug use were key factors influencing vaccine uptake. Targeted interventions and vaccine reminders should be conducted to increase vaccination rates.</p>","PeriodicalId":19517,"journal":{"name":"Open Forum Infectious Diseases","volume":"12 9","pages":"ofaf513"},"PeriodicalIF":3.8000,"publicationDate":"2025-09-03","publicationTypes":"Journal Article","fieldsOfStudy":null,"isOpenAccess":false,"openAccessPdf":"https://www.ncbi.nlm.nih.gov/pmc/articles/PMC12405995/pdf/","citationCount":"0","resultStr":"{\"title\":\"Factors Contributing to Pneumococcal, COVID-19, and Influenza Vaccine Uptake Among People Living With HIV in Belgium: A Retrospective Study.\",\"authors\":\"Li-Cécile Destordeur, Victoria Lopez Delhoulle, Iraklis Papadopoulos, Nathalie Maes, Karine Fombellida, Majdouline El Moussaoui, Gilles Darcis\",\"doi\":\"10.1093/ofid/ofaf513\",\"DOIUrl\":null,\"url\":null,\"abstract\":\"<p><strong>Background: </strong>Despite antiretroviral therapy, people living with HIV (PLWH) remain vulnerable to vaccine-preventable diseases. Although vaccination is strongly recommended, data on vaccine uptake among PLWH in Belgium remain scarce. This study aims to assess pneumococcal, COVID-19, and influenza vaccine coverage in PLWH in Belgium and identify factors associated with vaccine uptake.</p><p><strong>Methods: </strong>We conducted a retrospective study using the data from the HIV database of the Liege University Hospital in Belgium from 2017 to 2022. We evaluated vaccine coverage and collected demographic, clinical, and biological data to assess factors associated with vaccine uptake. Vaccine adherence was characterized as follows: partial adherence: receipt of at least one of the recommended vaccines during the study period and complete vaccination: pneumococcal vaccination, full COVID-19 primary vaccination, and annual influenza vaccination throughout the study period.</p><p><strong>Results: </strong>Among 791 participants, 89.1% received at least 1 dose of COVID-19 vaccine. Sixty-eight percent received at least 1 dose of influenza vaccine, but only 10.1% were vaccinated annually. Pneumococcal vaccine coverage was only 37.8%. Complete vaccine adherence was correlated with age (adjusted odds ratio [aOR]: 1.02, <i>P</i> = .024). Partial vaccine adherence was associated with age (aOR: 2.66, <i>P</i> = .026) and number of consultations (aOR: 1.23, <i>P</i> = .0002) and negatively associated with intravenous drug use (aOR: 0.15, <i>P</i> = .015).</p><p><strong>Conclusions: </strong>While COVID-19 vaccine uptake was high, vaccination coverage for influenza and pneumococcal disease remains insufficient. Age, healthcare encounters, and drug use were key factors influencing vaccine uptake. Targeted interventions and vaccine reminders should be conducted to increase vaccination rates.</p>\",\"PeriodicalId\":19517,\"journal\":{\"name\":\"Open Forum Infectious Diseases\",\"volume\":\"12 9\",\"pages\":\"ofaf513\"},\"PeriodicalIF\":3.8000,\"publicationDate\":\"2025-09-03\",\"publicationTypes\":\"Journal Article\",\"fieldsOfStudy\":null,\"isOpenAccess\":false,\"openAccessPdf\":\"https://www.ncbi.nlm.nih.gov/pmc/articles/PMC12405995/pdf/\",\"citationCount\":\"0\",\"resultStr\":null,\"platform\":\"Semanticscholar\",\"paperid\":null,\"PeriodicalName\":\"Open Forum Infectious Diseases\",\"FirstCategoryId\":\"3\",\"ListUrlMain\":\"https://doi.org/10.1093/ofid/ofaf513\",\"RegionNum\":4,\"RegionCategory\":\"医学\",\"ArticlePicture\":[],\"TitleCN\":null,\"AbstractTextCN\":null,\"PMCID\":null,\"EPubDate\":\"2025/9/1 0:00:00\",\"PubModel\":\"eCollection\",\"JCR\":\"Q2\",\"JCRName\":\"IMMUNOLOGY\",\"Score\":null,\"Total\":0}","platform":"Semanticscholar","paperid":null,"PeriodicalName":"Open Forum Infectious Diseases","FirstCategoryId":"3","ListUrlMain":"https://doi.org/10.1093/ofid/ofaf513","RegionNum":4,"RegionCategory":"医学","ArticlePicture":[],"TitleCN":null,"AbstractTextCN":null,"PMCID":null,"EPubDate":"2025/9/1 0:00:00","PubModel":"eCollection","JCR":"Q2","JCRName":"IMMUNOLOGY","Score":null,"Total":0}
引用次数: 0

摘要

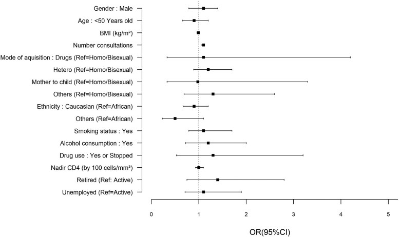
背景:尽管抗逆转录病毒治疗,艾滋病毒感染者(PLWH)仍然容易受到疫苗可预防疾病的影响。尽管强烈建议接种疫苗,但比利时PLWH中疫苗摄取的数据仍然很少。本研究旨在评估比利时PLWH的肺炎球菌、COVID-19和流感疫苗覆盖率,并确定与疫苗接种相关的因素。方法:利用比利时列日大学医院2017 - 2022年HIV数据库数据进行回顾性研究。我们评估了疫苗覆盖率,并收集了人口统计学、临床和生物学数据,以评估与疫苗摄取相关的因素。疫苗依从性的特征如下:部分依从性:在研究期间至少接种了一种推荐疫苗,完全接种:在整个研究期间接种肺炎球菌疫苗、完整的COVID-19初级疫苗和每年接种流感疫苗。结果:在791名参与者中,89.1%的人至少接种了1剂COVID-19疫苗。68%的人至少接种过一剂流感疫苗,但每年接种疫苗的比例仅为10.1%。肺炎球菌疫苗覆盖率仅为37.8%。完全疫苗依从性与年龄相关(校正优势比[aOR]: 1.02, P = 0.024)。部分疫苗依从性与年龄(aOR: 2.66, P = 0.026)和就诊次数(aOR: 1.23, P = 0.0002)相关,与静脉注射药物使用负相关(aOR: 0.15, P = 0.015)。结论:虽然COVID-19疫苗接种率很高,但流感和肺炎球菌疾病的疫苗接种覆盖率仍然不足。年龄、就医经历和药物使用是影响疫苗摄取的关键因素。应开展有针对性的干预措施和疫苗提醒,以提高疫苗接种率。
本文章由计算机程序翻译,如有差异,请以英文原文为准。

Factors Contributing to Pneumococcal, COVID-19, and Influenza Vaccine Uptake Among People Living With HIV in Belgium: A Retrospective Study.

Factors Contributing to Pneumococcal, COVID-19, and Influenza Vaccine Uptake Among People Living With HIV in Belgium: A Retrospective Study.

Factors Contributing to Pneumococcal, COVID-19, and Influenza Vaccine Uptake Among People Living With HIV in Belgium: A Retrospective Study.

Factors Contributing to Pneumococcal, COVID-19, and Influenza Vaccine Uptake Among People Living With HIV in Belgium: A Retrospective Study.

Background: Despite antiretroviral therapy, people living with HIV (PLWH) remain vulnerable to vaccine-preventable diseases. Although vaccination is strongly recommended, data on vaccine uptake among PLWH in Belgium remain scarce. This study aims to assess pneumococcal, COVID-19, and influenza vaccine coverage in PLWH in Belgium and identify factors associated with vaccine uptake.

Methods: We conducted a retrospective study using the data from the HIV database of the Liege University Hospital in Belgium from 2017 to 2022. We evaluated vaccine coverage and collected demographic, clinical, and biological data to assess factors associated with vaccine uptake. Vaccine adherence was characterized as follows: partial adherence: receipt of at least one of the recommended vaccines during the study period and complete vaccination: pneumococcal vaccination, full COVID-19 primary vaccination, and annual influenza vaccination throughout the study period.

Results: Among 791 participants, 89.1% received at least 1 dose of COVID-19 vaccine. Sixty-eight percent received at least 1 dose of influenza vaccine, but only 10.1% were vaccinated annually. Pneumococcal vaccine coverage was only 37.8%. Complete vaccine adherence was correlated with age (adjusted odds ratio [aOR]: 1.02, P = .024). Partial vaccine adherence was associated with age (aOR: 2.66, P = .026) and number of consultations (aOR: 1.23, P = .0002) and negatively associated with intravenous drug use (aOR: 0.15, P = .015).

Conclusions: While COVID-19 vaccine uptake was high, vaccination coverage for influenza and pneumococcal disease remains insufficient. Age, healthcare encounters, and drug use were key factors influencing vaccine uptake. Targeted interventions and vaccine reminders should be conducted to increase vaccination rates.

求助全文
通过发布文献求助,成功后即可免费获取论文全文。 去求助
来源期刊
Open Forum Infectious Diseases
Open Forum Infectious Diseases Medicine-Neurology (clinical)
CiteScore
6.70
自引率
4.80%
发文量
630
审稿时长
9 weeks
期刊介绍: Open Forum Infectious Diseases provides a global forum for the publication of clinical, translational, and basic research findings in a fully open access, online journal environment. The journal reflects the broad diversity of the field of infectious diseases, and focuses on the intersection of biomedical science and clinical practice, with a particular emphasis on knowledge that holds the potential to improve patient care in populations around the world. Fully peer-reviewed, OFID supports the international community of infectious diseases experts by providing a venue for articles that further the understanding of all aspects of infectious diseases.
×
引用
GB/T 7714-2015
复制
MLA
复制
APA
复制
导出至
BibTeX EndNote RefMan NoteFirst NoteExpress
×
提示
您的信息不完整,为了账户安全,请先补充。
现在去补充
×
提示
您因"违规操作"
具体请查看互助需知
我知道了
×
提示
确定
请完成安全验证×
copy
已复制链接
快去分享给好友吧!
我知道了
右上角分享
点击右上角分享
0
联系我们:info@booksci.cn Book学术提供免费学术资源搜索服务,方便国内外学者检索中英文文献。致力于提供最便捷和优质的服务体验。 Copyright © 2023 布克学术 All rights reserved.
京ICP备2023020795号-1
ghs 京公网安备 11010802042870号
Book学术文献互助
Book学术文献互助群
群 号:604180095
Book学术官方微信