不同严重程度膝骨关节炎患者膝关节结构和下肢功能的差异:一项横断面研究。

Q1 Health Professions
International journal of exercise science Pub Date : 2025-09-01 eCollection Date: 2025-01-01 DOI:10.70252/LESB9473
Shubham Tawade, Rajani Mullerpatan, Bela Agarwal
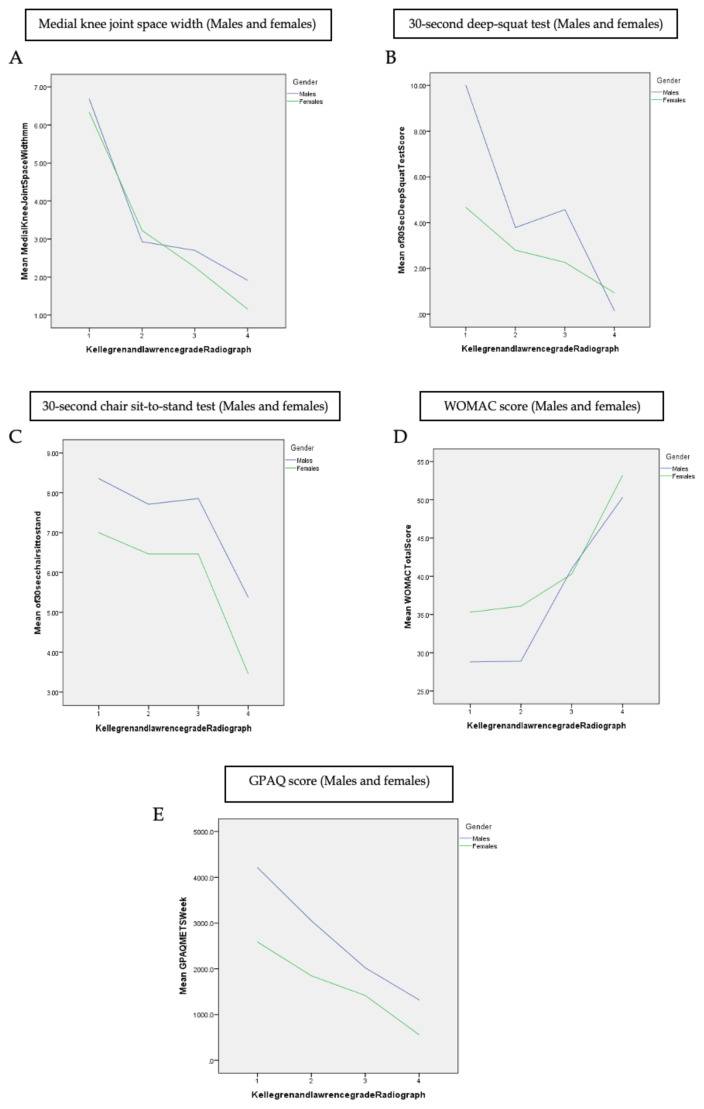
{"title":"不同严重程度膝骨关节炎患者膝关节结构和下肢功能的差异:一项横断面研究。","authors":"Shubham Tawade, Rajani Mullerpatan, Bela Agarwal","doi":"10.70252/LESB9473","DOIUrl":null,"url":null,"abstract":"<p><p>Osteoarthritis (OA) is a highly prevalent musculoskeletal condition. It is reported that knee OA progressively affects lower-extremity functioning. Evidence is lacking on when there is a substantial decline in function and whether this trend differs between males and females and disease severity. This study aimed to examine influence of gender and increasing grade of knee OA on lower-extremity function. Following Institutional Ethical Committee approval and signed-informed consent, 115 participants (57-males, 58-females), aged 40-65 years, with diagnosed knee OA (grade 1-4) were recruited. Lower-extremity function was studied using reliable and valid outcome variables such as muscle strength-endurance, joint motion, ground-level activity exposure and physical activity. The medial knee joint space width (JSW) decreased by 56.7%(males) and 49.2%(females) from grades 1 to 2 and by 29.6%(males) and 47.8%(females) from grades 3 to 4. Lower-extremity muscle strength and mobility measured by 30-second-deep-squat test declined by 62%(males) and 40.4%(females) from grades 1 to 2 and by 94.4%(males) and 60.9%(females) from grades 3 to 4. Lower-extremity muscle endurance measured by 30-second-chair-sit-to-stand test declined by 8.3%(males) and 7.1%(females) from grades 1 to 2 and by 31.6%(males) and 85.7%(females) from grades 3 to 4. Physical function decreased by 0.3%(males) and 2.3%(females) from grades 1 to 2 and by 22.7%(males) and 32.0%(females) from grades 3 to 4. Physical activity decreased by 27.6%(males) and 28.6%(females) from grades 1 to 2 and by 53.1%(males) and 60.7%(females) from grades 3 to 4. A substantial decline was observed from grades 3 to 4, when both males and females presented considerable reductions in lower-extremity function.</p>","PeriodicalId":14171,"journal":{"name":"International journal of exercise science","volume":"18 5","pages":"910-921"},"PeriodicalIF":0.0000,"publicationDate":"2025-09-01","publicationTypes":"Journal Article","fieldsOfStudy":null,"isOpenAccess":false,"openAccessPdf":"https://www.ncbi.nlm.nih.gov/pmc/articles/PMC12408080/pdf/","citationCount":"0","resultStr":"{\"title\":\"Difference in Knee Joint Structure and Lower Extremity Functioning Among People with Varying Severity of Knee Osteoarthritis: A Cross-Sectional Study.\",\"authors\":\"Shubham Tawade, Rajani Mullerpatan, Bela Agarwal\",\"doi\":\"10.70252/LESB9473\",\"DOIUrl\":null,\"url\":null,\"abstract\":\"<p><p>Osteoarthritis (OA) is a highly prevalent musculoskeletal condition. It is reported that knee OA progressively affects lower-extremity functioning. Evidence is lacking on when there is a substantial decline in function and whether this trend differs between males and females and disease severity. This study aimed to examine influence of gender and increasing grade of knee OA on lower-extremity function. Following Institutional Ethical Committee approval and signed-informed consent, 115 participants (57-males, 58-females), aged 40-65 years, with diagnosed knee OA (grade 1-4) were recruited. Lower-extremity function was studied using reliable and valid outcome variables such as muscle strength-endurance, joint motion, ground-level activity exposure and physical activity. The medial knee joint space width (JSW) decreased by 56.7%(males) and 49.2%(females) from grades 1 to 2 and by 29.6%(males) and 47.8%(females) from grades 3 to 4. Lower-extremity muscle strength and mobility measured by 30-second-deep-squat test declined by 62%(males) and 40.4%(females) from grades 1 to 2 and by 94.4%(males) and 60.9%(females) from grades 3 to 4. Lower-extremity muscle endurance measured by 30-second-chair-sit-to-stand test declined by 8.3%(males) and 7.1%(females) from grades 1 to 2 and by 31.6%(males) and 85.7%(females) from grades 3 to 4. Physical function decreased by 0.3%(males) and 2.3%(females) from grades 1 to 2 and by 22.7%(males) and 32.0%(females) from grades 3 to 4. Physical activity decreased by 27.6%(males) and 28.6%(females) from grades 1 to 2 and by 53.1%(males) and 60.7%(females) from grades 3 to 4. A substantial decline was observed from grades 3 to 4, when both males and females presented considerable reductions in lower-extremity function.</p>\",\"PeriodicalId\":14171,\"journal\":{\"name\":\"International journal of exercise science\",\"volume\":\"18 5\",\"pages\":\"910-921\"},\"PeriodicalIF\":0.0000,\"publicationDate\":\"2025-09-01\",\"publicationTypes\":\"Journal Article\",\"fieldsOfStudy\":null,\"isOpenAccess\":false,\"openAccessPdf\":\"https://www.ncbi.nlm.nih.gov/pmc/articles/PMC12408080/pdf/\",\"citationCount\":\"0\",\"resultStr\":null,\"platform\":\"Semanticscholar\",\"paperid\":null,\"PeriodicalName\":\"International journal of exercise science\",\"FirstCategoryId\":\"1085\",\"ListUrlMain\":\"https://doi.org/10.70252/LESB9473\",\"RegionNum\":0,\"RegionCategory\":null,\"ArticlePicture\":[],\"TitleCN\":null,\"AbstractTextCN\":null,\"PMCID\":null,\"EPubDate\":\"2025/1/1 0:00:00\",\"PubModel\":\"eCollection\",\"JCR\":\"Q1\",\"JCRName\":\"Health Professions\",\"Score\":null,\"Total\":0}","platform":"Semanticscholar","paperid":null,"PeriodicalName":"International journal of exercise science","FirstCategoryId":"1085","ListUrlMain":"https://doi.org/10.70252/LESB9473","RegionNum":0,"RegionCategory":null,"ArticlePicture":[],"TitleCN":null,"AbstractTextCN":null,"PMCID":null,"EPubDate":"2025/1/1 0:00:00","PubModel":"eCollection","JCR":"Q1","JCRName":"Health Professions","Score":null,"Total":0}
引用次数: 0

摘要

骨关节炎(OA)是一种非常普遍的肌肉骨骼疾病。据报道,膝关节OA会逐渐影响下肢功能。缺乏证据表明何时出现功能的显著下降,以及这种趋势在男性和女性之间以及疾病严重程度之间是否有所不同。本研究旨在探讨性别和膝关节OA加重程度对下肢功能的影响。经机构伦理委员会批准并签署知情同意书后,招募了115名年龄40-65岁、诊断为膝关节OA(1-4级)的参与者(男性57人,女性58人)。下肢功能研究采用可靠和有效的结果变量,如肌肉力量-耐力,关节运动,地面活动暴露和身体活动。膝关节内侧间隙宽度(JSW)从1年级到2年级分别下降56.7%(男性)和49.2%(女性),从3年级到4年级分别下降29.6%(男性)和47.8%(女性)。30秒深蹲测试的下肢肌力和活动性从1级到2级分别下降了62%(男性)和40.4%(女性),从3级到4级分别下降了94.4%(男性)和60.9%(女性)。30秒椅子坐立测试的下肢肌肉耐力从1年级到2年级分别下降了8.3%(男性)和7.1%(女性),从3年级到4年级分别下降了31.6%(男性)和85.7%(女性)。从一至二年级,身体机能分别下降0.3%(男性)和2.3%(女性);从三至四年级,身体机能分别下降22.7%(男性)和32.0%(女性)。从一至二年级,身体活动分别减少27.6%(男生)和28.6%(女生);从三至四年级,身体活动分别减少53.1%(男生)和60.7%(女生)。从3年级到4年级观察到明显的下降,当男性和女性都表现出相当大的下肢功能下降。
本文章由计算机程序翻译,如有差异,请以英文原文为准。

Difference in Knee Joint Structure and Lower Extremity Functioning Among People with Varying Severity of Knee Osteoarthritis: A Cross-Sectional Study.

Difference in Knee Joint Structure and Lower Extremity Functioning Among People with Varying Severity of Knee Osteoarthritis: A Cross-Sectional Study.

Osteoarthritis (OA) is a highly prevalent musculoskeletal condition. It is reported that knee OA progressively affects lower-extremity functioning. Evidence is lacking on when there is a substantial decline in function and whether this trend differs between males and females and disease severity. This study aimed to examine influence of gender and increasing grade of knee OA on lower-extremity function. Following Institutional Ethical Committee approval and signed-informed consent, 115 participants (57-males, 58-females), aged 40-65 years, with diagnosed knee OA (grade 1-4) were recruited. Lower-extremity function was studied using reliable and valid outcome variables such as muscle strength-endurance, joint motion, ground-level activity exposure and physical activity. The medial knee joint space width (JSW) decreased by 56.7%(males) and 49.2%(females) from grades 1 to 2 and by 29.6%(males) and 47.8%(females) from grades 3 to 4. Lower-extremity muscle strength and mobility measured by 30-second-deep-squat test declined by 62%(males) and 40.4%(females) from grades 1 to 2 and by 94.4%(males) and 60.9%(females) from grades 3 to 4. Lower-extremity muscle endurance measured by 30-second-chair-sit-to-stand test declined by 8.3%(males) and 7.1%(females) from grades 1 to 2 and by 31.6%(males) and 85.7%(females) from grades 3 to 4. Physical function decreased by 0.3%(males) and 2.3%(females) from grades 1 to 2 and by 22.7%(males) and 32.0%(females) from grades 3 to 4. Physical activity decreased by 27.6%(males) and 28.6%(females) from grades 1 to 2 and by 53.1%(males) and 60.7%(females) from grades 3 to 4. A substantial decline was observed from grades 3 to 4, when both males and females presented considerable reductions in lower-extremity function.

求助全文
通过发布文献求助,成功后即可免费获取论文全文。 去求助
来源期刊
International journal of exercise science
International journal of exercise science Health Professions-Occupational Therapy
CiteScore
2.20
自引率
0.00%
发文量
47
审稿时长
26 weeks
×
引用
GB/T 7714-2015
复制
MLA
复制
APA
复制
导出至
BibTeX EndNote RefMan NoteFirst NoteExpress
×
提示
您的信息不完整,为了账户安全,请先补充。
现在去补充
×
提示
您因"违规操作"
具体请查看互助需知
我知道了
×
提示
确定
请完成安全验证×
copy
已复制链接
快去分享给好友吧!
我知道了
右上角分享
点击右上角分享
0
联系我们:info@booksci.cn Book学术提供免费学术资源搜索服务,方便国内外学者检索中英文文献。致力于提供最便捷和优质的服务体验。 Copyright © 2023 布克学术 All rights reserved.
京ICP备2023020795号-1
ghs 京公网安备 11010802042870号
Book学术文献互助
Book学术文献互助群
群 号:604180095
Book学术官方微信