口腔微生物群与妊娠期糖尿病的因果关系:一项双样本孟德尔随机研究。

IF 2.6 4区 医学 Q2 OBSTETRICS & GYNECOLOGY
International Journal of Women's Health Pub Date : 2025-08-30 eCollection Date: 2025-01-01 DOI:10.2147/IJWH.S531088
Hui Jin, Yapei Wang, Hongbin Li, Yinqin Cheng, Yumin Ma
{"title":"口腔微生物群与妊娠期糖尿病的因果关系:一项双样本孟德尔随机研究。","authors":"Hui Jin, Yapei Wang, Hongbin Li, Yinqin Cheng, Yumin Ma","doi":"10.2147/IJWH.S531088","DOIUrl":null,"url":null,"abstract":"<p><strong>Background: </strong>Gestational diabetes mellitus (GDM) is associated with adverse pregnancy outcomes. The oral microbiota, influenced by genetic factors, may play a role in GDM development, but the causal association remains unclear.</p><p><strong>Methods: </strong>We employed a two-sample Mendelian randomization (MR) approach using Genome-Wide Association Study (GWAS) data on GDM from FINN cohort data (ID: finngen_R10_GEST_DIABETES) and GWAS data on the Oral microbiota from the Danish ADDITION-PRO cohort. We screened SNPs significantly associated with Oral microbiota abundance as instrumental variables (IVs) and assessed their association with GDM risk. The study primarily used an inverse variance weighting (IVW) approach and further applied MR-Egger regression, weighted median, and weighted mode methods for robustness testing. Sensitivity analyses were conducted to evaluate the impact of heterogeneity and pleiotropy, including MR-Egger, MR-PRESSO, Cochran's Q, and leave-one-out methods.</p><p><strong>Results: </strong>We identified 267 IVs associated with Oral microbiota abundance. IVW analysis revealed a positive causal association between Genus <i>Schaalia</i> and GDM risk (OR = 1.03, 95% CI: 1.01-1.06, P = 0.02) and a negative association between Genus <i>Haemophilus</i> and GDM risk (OR = 0.96, 95% CI: 0.93-1.00, P = 0.034). Sensitivity analyses confirmed the robustness of these two results, showing no evidence of heterogeneity or pleiotropy.</p><p><strong>Conclusion: </strong>Our study provides evidence for a causal association between Genus <i>Schaalia</i> and <i>Haemophilus</i> and GDM risk. This highlights the potential role of the Oral microbiota in GDM pathogenesis and suggests potential targets for GDM prevention and treatment.</p>","PeriodicalId":14356,"journal":{"name":"International Journal of Women's Health","volume":"17 ","pages":"2777-2791"},"PeriodicalIF":2.6000,"publicationDate":"2025-08-30","publicationTypes":"Journal Article","fieldsOfStudy":null,"isOpenAccess":false,"openAccessPdf":"https://www.ncbi.nlm.nih.gov/pmc/articles/PMC12407001/pdf/","citationCount":"0","resultStr":"{\"title\":\"Causal Associations Between Oral Microbiota and Gestational Diabetes Mellitus: A Two-Sample Mendelian Randomization Study.\",\"authors\":\"Hui Jin, Yapei Wang, Hongbin Li, Yinqin Cheng, Yumin Ma\",\"doi\":\"10.2147/IJWH.S531088\",\"DOIUrl\":null,\"url\":null,\"abstract\":\"<p><strong>Background: </strong>Gestational diabetes mellitus (GDM) is associated with adverse pregnancy outcomes. The oral microbiota, influenced by genetic factors, may play a role in GDM development, but the causal association remains unclear.</p><p><strong>Methods: </strong>We employed a two-sample Mendelian randomization (MR) approach using Genome-Wide Association Study (GWAS) data on GDM from FINN cohort data (ID: finngen_R10_GEST_DIABETES) and GWAS data on the Oral microbiota from the Danish ADDITION-PRO cohort. We screened SNPs significantly associated with Oral microbiota abundance as instrumental variables (IVs) and assessed their association with GDM risk. The study primarily used an inverse variance weighting (IVW) approach and further applied MR-Egger regression, weighted median, and weighted mode methods for robustness testing. Sensitivity analyses were conducted to evaluate the impact of heterogeneity and pleiotropy, including MR-Egger, MR-PRESSO, Cochran's Q, and leave-one-out methods.</p><p><strong>Results: </strong>We identified 267 IVs associated with Oral microbiota abundance. IVW analysis revealed a positive causal association between Genus <i>Schaalia</i> and GDM risk (OR = 1.03, 95% CI: 1.01-1.06, P = 0.02) and a negative association between Genus <i>Haemophilus</i> and GDM risk (OR = 0.96, 95% CI: 0.93-1.00, P = 0.034). Sensitivity analyses confirmed the robustness of these two results, showing no evidence of heterogeneity or pleiotropy.</p><p><strong>Conclusion: </strong>Our study provides evidence for a causal association between Genus <i>Schaalia</i> and <i>Haemophilus</i> and GDM risk. This highlights the potential role of the Oral microbiota in GDM pathogenesis and suggests potential targets for GDM prevention and treatment.</p>\",\"PeriodicalId\":14356,\"journal\":{\"name\":\"International Journal of Women's Health\",\"volume\":\"17 \",\"pages\":\"2777-2791\"},\"PeriodicalIF\":2.6000,\"publicationDate\":\"2025-08-30\",\"publicationTypes\":\"Journal Article\",\"fieldsOfStudy\":null,\"isOpenAccess\":false,\"openAccessPdf\":\"https://www.ncbi.nlm.nih.gov/pmc/articles/PMC12407001/pdf/\",\"citationCount\":\"0\",\"resultStr\":null,\"platform\":\"Semanticscholar\",\"paperid\":null,\"PeriodicalName\":\"International Journal of Women's Health\",\"FirstCategoryId\":\"3\",\"ListUrlMain\":\"https://doi.org/10.2147/IJWH.S531088\",\"RegionNum\":4,\"RegionCategory\":\"医学\",\"ArticlePicture\":[],\"TitleCN\":null,\"AbstractTextCN\":null,\"PMCID\":null,\"EPubDate\":\"2025/1/1 0:00:00\",\"PubModel\":\"eCollection\",\"JCR\":\"Q2\",\"JCRName\":\"OBSTETRICS & GYNECOLOGY\",\"Score\":null,\"Total\":0}","platform":"Semanticscholar","paperid":null,"PeriodicalName":"International Journal of Women's Health","FirstCategoryId":"3","ListUrlMain":"https://doi.org/10.2147/IJWH.S531088","RegionNum":4,"RegionCategory":"医学","ArticlePicture":[],"TitleCN":null,"AbstractTextCN":null,"PMCID":null,"EPubDate":"2025/1/1 0:00:00","PubModel":"eCollection","JCR":"Q2","JCRName":"OBSTETRICS & GYNECOLOGY","Score":null,"Total":0}
引用次数: 0

摘要

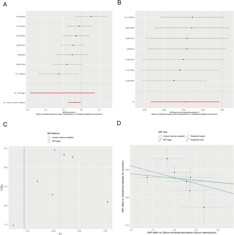
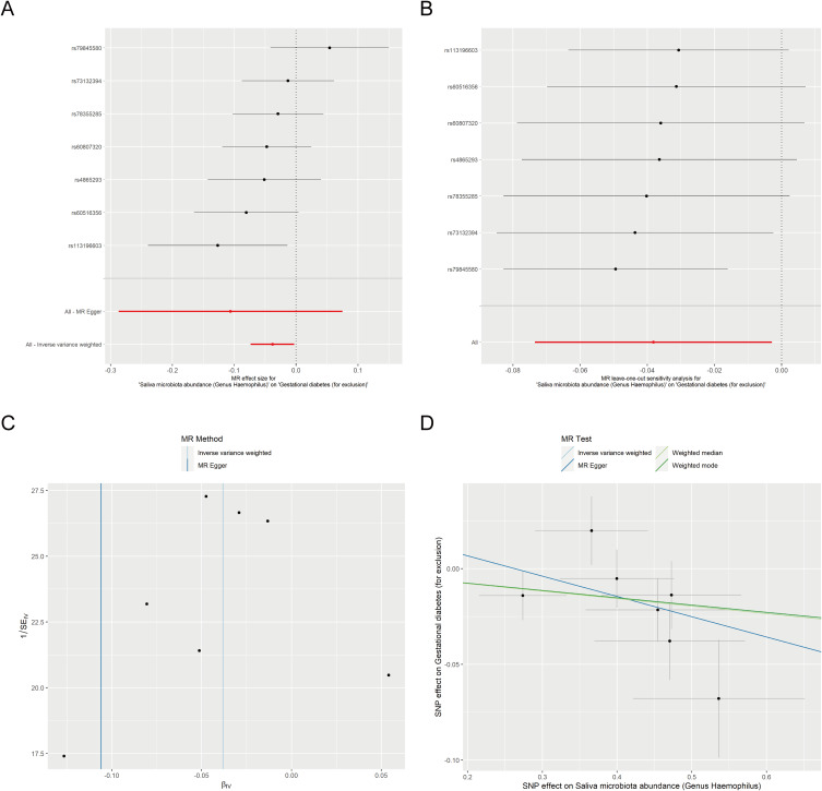
背景:妊娠期糖尿病(GDM)与不良妊娠结局相关。受遗传因素影响的口腔微生物群可能在GDM的发展中发挥作用,但其因果关系尚不清楚。方法:我们采用双样本孟德尔随机化(MR)方法,使用来自FINN队列数据(ID: finngen_R10_GEST_DIABETES)的GDM全基因组关联研究(GWAS)数据和来自丹麦addi - pro队列的口腔微生物群GWAS数据。我们筛选了与口腔微生物群丰度显著相关的snp作为工具变量(IVs),并评估了它们与GDM风险的相关性。本研究主要采用方差反加权(IVW)方法,并进一步采用MR-Egger回归、加权中位数和加权模式方法进行稳健性检验。进行敏感性分析以评估异质性和多效性的影响,包括MR-Egger、MR-PRESSO、Cochran’s Q和leave-one方法。结果:我们鉴定了267个与口腔微生物群丰度相关的IVs。IVW分析显示沙利亚属与GDM风险呈正相关(OR = 1.03, 95% CI: 1.01-1.06, P = 0.02),嗜血杆菌属与GDM风险负相关(OR = 0.96, 95% CI: 0.93-1.00, P = 0.034)。敏感性分析证实了这两个结果的稳健性,没有显示异质性或多效性的证据。结论:我们的研究为沙利亚属和嗜血杆菌与GDM风险之间的因果关系提供了证据。这突出了口腔微生物群在GDM发病机制中的潜在作用,并提出了预防和治疗GDM的潜在靶点。
本文章由计算机程序翻译,如有差异,请以英文原文为准。

Causal Associations Between Oral Microbiota and Gestational Diabetes Mellitus: A Two-Sample Mendelian Randomization Study.

Causal Associations Between Oral Microbiota and Gestational Diabetes Mellitus: A Two-Sample Mendelian Randomization Study.

Causal Associations Between Oral Microbiota and Gestational Diabetes Mellitus: A Two-Sample Mendelian Randomization Study.

Causal Associations Between Oral Microbiota and Gestational Diabetes Mellitus: A Two-Sample Mendelian Randomization Study.

Background: Gestational diabetes mellitus (GDM) is associated with adverse pregnancy outcomes. The oral microbiota, influenced by genetic factors, may play a role in GDM development, but the causal association remains unclear.

Methods: We employed a two-sample Mendelian randomization (MR) approach using Genome-Wide Association Study (GWAS) data on GDM from FINN cohort data (ID: finngen_R10_GEST_DIABETES) and GWAS data on the Oral microbiota from the Danish ADDITION-PRO cohort. We screened SNPs significantly associated with Oral microbiota abundance as instrumental variables (IVs) and assessed their association with GDM risk. The study primarily used an inverse variance weighting (IVW) approach and further applied MR-Egger regression, weighted median, and weighted mode methods for robustness testing. Sensitivity analyses were conducted to evaluate the impact of heterogeneity and pleiotropy, including MR-Egger, MR-PRESSO, Cochran's Q, and leave-one-out methods.

Results: We identified 267 IVs associated with Oral microbiota abundance. IVW analysis revealed a positive causal association between Genus Schaalia and GDM risk (OR = 1.03, 95% CI: 1.01-1.06, P = 0.02) and a negative association between Genus Haemophilus and GDM risk (OR = 0.96, 95% CI: 0.93-1.00, P = 0.034). Sensitivity analyses confirmed the robustness of these two results, showing no evidence of heterogeneity or pleiotropy.

Conclusion: Our study provides evidence for a causal association between Genus Schaalia and Haemophilus and GDM risk. This highlights the potential role of the Oral microbiota in GDM pathogenesis and suggests potential targets for GDM prevention and treatment.

求助全文
通过发布文献求助,成功后即可免费获取论文全文。 去求助
来源期刊
International Journal of Women's Health
International Journal of Women's Health OBSTETRICS & GYNECOLOGY-
CiteScore
3.70
自引率
0.00%
发文量
194
审稿时长
16 weeks
期刊介绍: International Journal of Women''s Health is an international, peer-reviewed, open access, online journal. Publishing original research, reports, editorials, reviews and commentaries on all aspects of women''s healthcare including gynecology, obstetrics, and breast cancer. Subject areas include: Chronic conditions including cancers of various organs specific and not specific to women Migraine, headaches, arthritis, osteoporosis Endocrine and autoimmune syndromes - asthma, multiple sclerosis, lupus, diabetes Sexual and reproductive health including fertility patterns and emerging technologies to address infertility Infectious disease with chronic sequelae including HIV/AIDS, HPV, PID, and other STDs Psychological and psychosocial conditions - depression across the life span, substance abuse, domestic violence Health maintenance among aging females - factors affecting the quality of life including physical, social and mental issues Avenues for health promotion and disease prevention across the life span Male vs female incidence comparisons for conditions that affect both genders.
×
引用
GB/T 7714-2015
复制
MLA
复制
APA
复制
导出至
BibTeX EndNote RefMan NoteFirst NoteExpress
×
提示
您的信息不完整,为了账户安全,请先补充。
现在去补充
×
提示
您因"违规操作"
具体请查看互助需知
我知道了
×
提示
确定
请完成安全验证×
copy
已复制链接
快去分享给好友吧!
我知道了
右上角分享
点击右上角分享
0
联系我们:info@booksci.cn Book学术提供免费学术资源搜索服务,方便国内外学者检索中英文文献。致力于提供最便捷和优质的服务体验。 Copyright © 2023 布克学术 All rights reserved.
京ICP备2023020795号-1
ghs 京公网安备 11010802042870号
Book学术文献互助
Book学术文献互助群
群 号:604180095
Book学术官方微信