布鲁斯·艾姆斯教授对氧化产生的DNA损伤的生化方面的早期发展的开创性贡献。

IF 3.9 3区 生物学 Q2 BIOCHEMISTRY & MOLECULAR BIOLOGY
Frontiers in Molecular Biosciences Pub Date : 2025-08-20 eCollection Date: 2025-01-01 DOI:10.3389/fmolb.2025.1636255
Jean Cadet, J Richard Wagner
{"title":"布鲁斯·艾姆斯教授对氧化产生的DNA损伤的生化方面的早期发展的开创性贡献。","authors":"Jean Cadet, J Richard Wagner","doi":"10.3389/fmolb.2025.1636255","DOIUrl":null,"url":null,"abstract":"<p><p>The first part of the memorial review article is devoted to a retrospective of selected topics that were the subject of pioneering studies over the period 1985-2025 by Professor Bruce Ames. Major efforts were made to develop accurate and sensitive assays including HPLC coupled with electrochemical detection for monitoring the formation of 8-oxo-7,8-dihydroguanine in isolated cells and animal tissues. Special attention was provided to the minimization of artefactual oxidation of DNA that occurs during sample preparation. Complementary information on the biological relevance of 8-oxo-7,8-dihydroguanine and 5,6-dihydroxy-5,6-dihydrothymine was gained from the non-invasive measurement of the oxidized bases and nucleosides in various mammalian fluids. The second part of this review focuses on the current situation concerning the formation of oxidized bases in cellular DNA produced under various conditions of oxidative stress and enzymatic ten-eleven TET-oxidation of 5-methylcytosine. The analysis of DNA base modifications by LC-MS/MS is the gold standard for the quantitative monitoring of base oxidation products in both DNA and several body fluids; oxidizing conditions that may not be suitable for biological studies. Low levels of oxidatively-induced lesions in cells are difficult to assess by chromatographic and MS methods because of a significant increase in the yields of oxidized bases/nucleosides above the background level including a significant contribution of adventitious oxidation reactions that cannot be totally suppressed. In a complementary way, the application of modified versions of the comet assay and alkaline elution techniques that target general classes of DNA lesions provides a more global account of damage although it gives less structural information about DNA damage formed under chronic exposure to mild oxidizing conditions.</p>","PeriodicalId":12465,"journal":{"name":"Frontiers in Molecular Biosciences","volume":"12 ","pages":"1636255"},"PeriodicalIF":3.9000,"publicationDate":"2025-08-20","publicationTypes":"Journal Article","fieldsOfStudy":null,"isOpenAccess":false,"openAccessPdf":"https://www.ncbi.nlm.nih.gov/pmc/articles/PMC12405702/pdf/","citationCount":"0","resultStr":"{\"title\":\"Pioneering contribution of Professor Bruce Ames to early development in biochemical aspects of oxidatively generated damage to DNA.\",\"authors\":\"Jean Cadet, J Richard Wagner\",\"doi\":\"10.3389/fmolb.2025.1636255\",\"DOIUrl\":null,\"url\":null,\"abstract\":\"<p><p>The first part of the memorial review article is devoted to a retrospective of selected topics that were the subject of pioneering studies over the period 1985-2025 by Professor Bruce Ames. Major efforts were made to develop accurate and sensitive assays including HPLC coupled with electrochemical detection for monitoring the formation of 8-oxo-7,8-dihydroguanine in isolated cells and animal tissues. Special attention was provided to the minimization of artefactual oxidation of DNA that occurs during sample preparation. Complementary information on the biological relevance of 8-oxo-7,8-dihydroguanine and 5,6-dihydroxy-5,6-dihydrothymine was gained from the non-invasive measurement of the oxidized bases and nucleosides in various mammalian fluids. The second part of this review focuses on the current situation concerning the formation of oxidized bases in cellular DNA produced under various conditions of oxidative stress and enzymatic ten-eleven TET-oxidation of 5-methylcytosine. The analysis of DNA base modifications by LC-MS/MS is the gold standard for the quantitative monitoring of base oxidation products in both DNA and several body fluids; oxidizing conditions that may not be suitable for biological studies. Low levels of oxidatively-induced lesions in cells are difficult to assess by chromatographic and MS methods because of a significant increase in the yields of oxidized bases/nucleosides above the background level including a significant contribution of adventitious oxidation reactions that cannot be totally suppressed. In a complementary way, the application of modified versions of the comet assay and alkaline elution techniques that target general classes of DNA lesions provides a more global account of damage although it gives less structural information about DNA damage formed under chronic exposure to mild oxidizing conditions.</p>\",\"PeriodicalId\":12465,\"journal\":{\"name\":\"Frontiers in Molecular Biosciences\",\"volume\":\"12 \",\"pages\":\"1636255\"},\"PeriodicalIF\":3.9000,\"publicationDate\":\"2025-08-20\",\"publicationTypes\":\"Journal Article\",\"fieldsOfStudy\":null,\"isOpenAccess\":false,\"openAccessPdf\":\"https://www.ncbi.nlm.nih.gov/pmc/articles/PMC12405702/pdf/\",\"citationCount\":\"0\",\"resultStr\":null,\"platform\":\"Semanticscholar\",\"paperid\":null,\"PeriodicalName\":\"Frontiers in Molecular Biosciences\",\"FirstCategoryId\":\"99\",\"ListUrlMain\":\"https://doi.org/10.3389/fmolb.2025.1636255\",\"RegionNum\":3,\"RegionCategory\":\"生物学\",\"ArticlePicture\":[],\"TitleCN\":null,\"AbstractTextCN\":null,\"PMCID\":null,\"EPubDate\":\"2025/1/1 0:00:00\",\"PubModel\":\"eCollection\",\"JCR\":\"Q2\",\"JCRName\":\"BIOCHEMISTRY & MOLECULAR BIOLOGY\",\"Score\":null,\"Total\":0}","platform":"Semanticscholar","paperid":null,"PeriodicalName":"Frontiers in Molecular Biosciences","FirstCategoryId":"99","ListUrlMain":"https://doi.org/10.3389/fmolb.2025.1636255","RegionNum":3,"RegionCategory":"生物学","ArticlePicture":[],"TitleCN":null,"AbstractTextCN":null,"PMCID":null,"EPubDate":"2025/1/1 0:00:00","PubModel":"eCollection","JCR":"Q2","JCRName":"BIOCHEMISTRY & MOLECULAR BIOLOGY","Score":null,"Total":0}
引用次数: 0

摘要

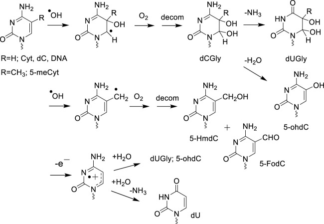
这篇纪念评论文章的第一部分专门回顾了Bruce Ames教授在1985-2025年期间开创性研究的选定主题。为了建立准确、灵敏的检测方法,包括高效液相色谱法和电化学检测相结合的方法,以监测8-氧-7,8-二氢鸟嘌呤在分离细胞和动物组织中的形成。特别注意在样品制备过程中发生的DNA的人为氧化最小化。8-氧-7,8-二氢鸟嘌呤和5,6-二羟基-5,6-二氢胸腺嘧啶的生物学相关性的补充信息是通过对各种哺乳动物体液中氧化碱基和核苷的非侵入性测量获得的。第二部分综述了不同氧化应激条件下细胞DNA中氧化碱基的形成和酶促10 - 11 tet氧化5-甲基胞嘧啶的研究现状。LC-MS/MS分析DNA碱基修饰是DNA和几种体液中碱基氧化产物定量监测的金标准;可能不适合生物学研究的氧化条件。细胞中低水平的氧化诱导病变很难通过色谱和质谱方法进行评估,因为氧化碱基/核苷的产量显著增加,高于背景水平,包括不能完全抑制的非定氧化反应的显著贡献。以一种互补的方式,应用改良版本的彗星测定法和碱液洗脱技术,针对一般类型的DNA损伤,提供了一个更全面的损伤描述,尽管它提供的关于慢性暴露于轻度氧化条件下形成的DNA损伤的结构信息较少。
本文章由计算机程序翻译,如有差异,请以英文原文为准。

Pioneering contribution of Professor Bruce Ames to early development in biochemical aspects of oxidatively generated damage to DNA.

Pioneering contribution of Professor Bruce Ames to early development in biochemical aspects of oxidatively generated damage to DNA.

Pioneering contribution of Professor Bruce Ames to early development in biochemical aspects of oxidatively generated damage to DNA.

Pioneering contribution of Professor Bruce Ames to early development in biochemical aspects of oxidatively generated damage to DNA.

The first part of the memorial review article is devoted to a retrospective of selected topics that were the subject of pioneering studies over the period 1985-2025 by Professor Bruce Ames. Major efforts were made to develop accurate and sensitive assays including HPLC coupled with electrochemical detection for monitoring the formation of 8-oxo-7,8-dihydroguanine in isolated cells and animal tissues. Special attention was provided to the minimization of artefactual oxidation of DNA that occurs during sample preparation. Complementary information on the biological relevance of 8-oxo-7,8-dihydroguanine and 5,6-dihydroxy-5,6-dihydrothymine was gained from the non-invasive measurement of the oxidized bases and nucleosides in various mammalian fluids. The second part of this review focuses on the current situation concerning the formation of oxidized bases in cellular DNA produced under various conditions of oxidative stress and enzymatic ten-eleven TET-oxidation of 5-methylcytosine. The analysis of DNA base modifications by LC-MS/MS is the gold standard for the quantitative monitoring of base oxidation products in both DNA and several body fluids; oxidizing conditions that may not be suitable for biological studies. Low levels of oxidatively-induced lesions in cells are difficult to assess by chromatographic and MS methods because of a significant increase in the yields of oxidized bases/nucleosides above the background level including a significant contribution of adventitious oxidation reactions that cannot be totally suppressed. In a complementary way, the application of modified versions of the comet assay and alkaline elution techniques that target general classes of DNA lesions provides a more global account of damage although it gives less structural information about DNA damage formed under chronic exposure to mild oxidizing conditions.

求助全文
通过发布文献求助,成功后即可免费获取论文全文。 去求助
来源期刊
Frontiers in Molecular Biosciences
Frontiers in Molecular Biosciences Biochemistry, Genetics and Molecular Biology-Biochemistry
CiteScore
7.20
自引率
4.00%
发文量
1361
审稿时长
14 weeks
期刊介绍: Much of contemporary investigation in the life sciences is devoted to the molecular-scale understanding of the relationships between genes and the environment — in particular, dynamic alterations in the levels, modifications, and interactions of cellular effectors, including proteins. Frontiers in Molecular Biosciences offers an international publication platform for basic as well as applied research; we encourage contributions spanning both established and emerging areas of biology. To this end, the journal draws from empirical disciplines such as structural biology, enzymology, biochemistry, and biophysics, capitalizing as well on the technological advancements that have enabled metabolomics and proteomics measurements in massively parallel throughput, and the development of robust and innovative computational biology strategies. We also recognize influences from medicine and technology, welcoming studies in molecular genetics, molecular diagnostics and therapeutics, and nanotechnology. Our ultimate objective is the comprehensive illustration of the molecular mechanisms regulating proteins, nucleic acids, carbohydrates, lipids, and small metabolites in organisms across all branches of life. In addition to interesting new findings, techniques, and applications, Frontiers in Molecular Biosciences will consider new testable hypotheses to inspire different perspectives and stimulate scientific dialogue. The integration of in silico, in vitro, and in vivo approaches will benefit endeavors across all domains of the life sciences.
×
引用
GB/T 7714-2015
复制
MLA
复制
APA
复制
导出至
BibTeX EndNote RefMan NoteFirst NoteExpress
×
提示
您的信息不完整,为了账户安全,请先补充。
现在去补充
×
提示
您因"违规操作"
具体请查看互助需知
我知道了
×
提示
确定
请完成安全验证×
copy
已复制链接
快去分享给好友吧!
我知道了
右上角分享
点击右上角分享
0
联系我们:info@booksci.cn Book学术提供免费学术资源搜索服务,方便国内外学者检索中英文文献。致力于提供最便捷和优质的服务体验。 Copyright © 2023 布克学术 All rights reserved.
京ICP备2023020795号-1
ghs 京公网安备 11010802042870号
Book学术文献互助
Book学术文献互助群
群 号:604180095
Book学术官方微信