甲状腺功能正常的新诊断中老年2型糖尿病患者甲状腺敏感性指标与骨代谢的相关性

IF 3.3 3区 医学 Q3 ENDOCRINOLOGY & METABOLISM
Lixuan Fang, Cuiping Lin, Lijuan Gu, Haixia Zeng, Yuying Zhang, Jianping Liu
{"title":"甲状腺功能正常的新诊断中老年2型糖尿病患者甲状腺敏感性指标与骨代谢的相关性","authors":"Lixuan Fang, Cuiping Lin, Lijuan Gu, Haixia Zeng, Yuying Zhang, Jianping Liu","doi":"10.1186/s12902-025-02030-y","DOIUrl":null,"url":null,"abstract":"<p><strong>Objective: </strong>To investigate the association between thyroid hormone sensitivity indices and bone metabolism markers in newly diagnosed middle-aged and elderly type 2 diabetes mellitus (T2DM) patients with normal thyroid function.</p><p><strong>Method: </strong>We retrospectively analyzed 350 newly diagnosed T2DM patients (≥ 45 years), stratified by bone mineral density into Group A (normal bone density group) and Group B (low bone mass and osteoporosis group). General data and clinical biochemical parameters were collected: free triiodothyronine (FT3), free thyroxine (FT4), thyroid-stimulating hormone (TSH), 25-hydroxyvitamin D (25(OH)D), parathyroid hormone (PTH), osteocalcin (OC), bone-specific alkaline phosphatase (BALP), serum calcium (Ca), serum phosphorus (P), fasting plasma glucose (FPG), glycosylated hemoglobinA1c (HbA1c), total cholesterol (TC), triglyceride (TG), low-density lipoprotein cholesterol (LDL-C), high-density lipoprotein cholesterol (HDL-C), serum creatinine (SCr), serum uric acid (SUA), and estimated Glomerular Filtration Rate (eGFR). Thyroid sensitivity indices calculated were: thyrotropin resistance index (TT4RI), TSH index (TSHI), the ratio of FT3/FT4, and the secretory capacity of the thyroid (SPINA-GT). Associations were assessed using multiple linear regression, binary logistic regression, and stratified analysis.</p><p><strong>Results: </strong>Group B patients had lower BMI, DBP, FT3, FT3/FT4 ratio, FPG, HbA1c, TG, SCr and SUA and higher age, female proportion, OC and HDL-C (P < 0.05). Spearman Correlation analysis showed that 25(OH)D was positively associated with FT3/FT4 ratio; Ca was positively associated with FT3; and P was associated with TSH, TT4RI and TSHI and negatively associated with SPINA-GT (P < 0.05). Multiple linear regression analysis showed that FT3, FT3/FT4 ratios were positive factors for serum OC, BALP and Ca, and FT4 was an inverse correlation with serum BALP (P < 0.05). Binary Logistic regression analysis showed that the elevated FT3/FT4 ratio was a protective factor for the occurrence of low bone mass and osteoporosis (P < 0.05). Stratified by HbA1c, the effect of FT3/FT4 ratio on low bone mass and osteoporosis showed that the FT3/FT4 ratio was inversely associated with the occurrence of low bone mass and osteoporosis in the HbA1c < 7% group (P < 0.05). Simple effect analysis of the interaction between FT3/FT4 ratio, HbA1c and bone density showed that T2DM patients with HbA1c ≥ 7% had a lower FT3/FT4 ratio and a higher risk of developing low bone mass and osteoporosis compared to those with HbA1c < 7%.</p><p><strong>Conclusion: </strong>In newly diagnosed middle-aged and elderly T2DM patients with normal thyroid function, the peripheral sensitivity to thyroid hormone indix FT3/FT4 ratio was significantly associated with serum OC, BALP, and Ca levels. The lower FT3/FT4 ratio may increase the risk of low bone mass and osteoporosis in newly diagnosed T2DM patients with normal thyroid function, and the reduced index may serve as a tool for early screening and a predictor of low bone mass and osteoporosis.</p>","PeriodicalId":9152,"journal":{"name":"BMC Endocrine Disorders","volume":"25 1","pages":"206"},"PeriodicalIF":3.3000,"publicationDate":"2025-09-05","publicationTypes":"Journal Article","fieldsOfStudy":null,"isOpenAccess":false,"openAccessPdf":"https://www.ncbi.nlm.nih.gov/pmc/articles/PMC12412242/pdf/","citationCount":"0","resultStr":"{\"title\":\"Correlation between thyroid sensitivity indices and bone metabolism in newly diagnosed middle aged and elderly patients with type 2 diabetes mellitus with normal thyroid function.\",\"authors\":\"Lixuan Fang, Cuiping Lin, Lijuan Gu, Haixia Zeng, Yuying Zhang, Jianping Liu\",\"doi\":\"10.1186/s12902-025-02030-y\",\"DOIUrl\":null,\"url\":null,\"abstract\":\"<p><strong>Objective: </strong>To investigate the association between thyroid hormone sensitivity indices and bone metabolism markers in newly diagnosed middle-aged and elderly type 2 diabetes mellitus (T2DM) patients with normal thyroid function.</p><p><strong>Method: </strong>We retrospectively analyzed 350 newly diagnosed T2DM patients (≥ 45 years), stratified by bone mineral density into Group A (normal bone density group) and Group B (low bone mass and osteoporosis group). General data and clinical biochemical parameters were collected: free triiodothyronine (FT3), free thyroxine (FT4), thyroid-stimulating hormone (TSH), 25-hydroxyvitamin D (25(OH)D), parathyroid hormone (PTH), osteocalcin (OC), bone-specific alkaline phosphatase (BALP), serum calcium (Ca), serum phosphorus (P), fasting plasma glucose (FPG), glycosylated hemoglobinA1c (HbA1c), total cholesterol (TC), triglyceride (TG), low-density lipoprotein cholesterol (LDL-C), high-density lipoprotein cholesterol (HDL-C), serum creatinine (SCr), serum uric acid (SUA), and estimated Glomerular Filtration Rate (eGFR). Thyroid sensitivity indices calculated were: thyrotropin resistance index (TT4RI), TSH index (TSHI), the ratio of FT3/FT4, and the secretory capacity of the thyroid (SPINA-GT). Associations were assessed using multiple linear regression, binary logistic regression, and stratified analysis.</p><p><strong>Results: </strong>Group B patients had lower BMI, DBP, FT3, FT3/FT4 ratio, FPG, HbA1c, TG, SCr and SUA and higher age, female proportion, OC and HDL-C (P < 0.05). Spearman Correlation analysis showed that 25(OH)D was positively associated with FT3/FT4 ratio; Ca was positively associated with FT3; and P was associated with TSH, TT4RI and TSHI and negatively associated with SPINA-GT (P < 0.05). Multiple linear regression analysis showed that FT3, FT3/FT4 ratios were positive factors for serum OC, BALP and Ca, and FT4 was an inverse correlation with serum BALP (P < 0.05). Binary Logistic regression analysis showed that the elevated FT3/FT4 ratio was a protective factor for the occurrence of low bone mass and osteoporosis (P < 0.05). Stratified by HbA1c, the effect of FT3/FT4 ratio on low bone mass and osteoporosis showed that the FT3/FT4 ratio was inversely associated with the occurrence of low bone mass and osteoporosis in the HbA1c < 7% group (P < 0.05). Simple effect analysis of the interaction between FT3/FT4 ratio, HbA1c and bone density showed that T2DM patients with HbA1c ≥ 7% had a lower FT3/FT4 ratio and a higher risk of developing low bone mass and osteoporosis compared to those with HbA1c < 7%.</p><p><strong>Conclusion: </strong>In newly diagnosed middle-aged and elderly T2DM patients with normal thyroid function, the peripheral sensitivity to thyroid hormone indix FT3/FT4 ratio was significantly associated with serum OC, BALP, and Ca levels. The lower FT3/FT4 ratio may increase the risk of low bone mass and osteoporosis in newly diagnosed T2DM patients with normal thyroid function, and the reduced index may serve as a tool for early screening and a predictor of low bone mass and osteoporosis.</p>\",\"PeriodicalId\":9152,\"journal\":{\"name\":\"BMC Endocrine Disorders\",\"volume\":\"25 1\",\"pages\":\"206\"},\"PeriodicalIF\":3.3000,\"publicationDate\":\"2025-09-05\",\"publicationTypes\":\"Journal Article\",\"fieldsOfStudy\":null,\"isOpenAccess\":false,\"openAccessPdf\":\"https://www.ncbi.nlm.nih.gov/pmc/articles/PMC12412242/pdf/\",\"citationCount\":\"0\",\"resultStr\":null,\"platform\":\"Semanticscholar\",\"paperid\":null,\"PeriodicalName\":\"BMC Endocrine Disorders\",\"FirstCategoryId\":\"3\",\"ListUrlMain\":\"https://doi.org/10.1186/s12902-025-02030-y\",\"RegionNum\":3,\"RegionCategory\":\"医学\",\"ArticlePicture\":[],\"TitleCN\":null,\"AbstractTextCN\":null,\"PMCID\":null,\"EPubDate\":\"\",\"PubModel\":\"\",\"JCR\":\"Q3\",\"JCRName\":\"ENDOCRINOLOGY & METABOLISM\",\"Score\":null,\"Total\":0}","platform":"Semanticscholar","paperid":null,"PeriodicalName":"BMC Endocrine Disorders","FirstCategoryId":"3","ListUrlMain":"https://doi.org/10.1186/s12902-025-02030-y","RegionNum":3,"RegionCategory":"医学","ArticlePicture":[],"TitleCN":null,"AbstractTextCN":null,"PMCID":null,"EPubDate":"","PubModel":"","JCR":"Q3","JCRName":"ENDOCRINOLOGY & METABOLISM","Score":null,"Total":0}
引用次数: 0

摘要

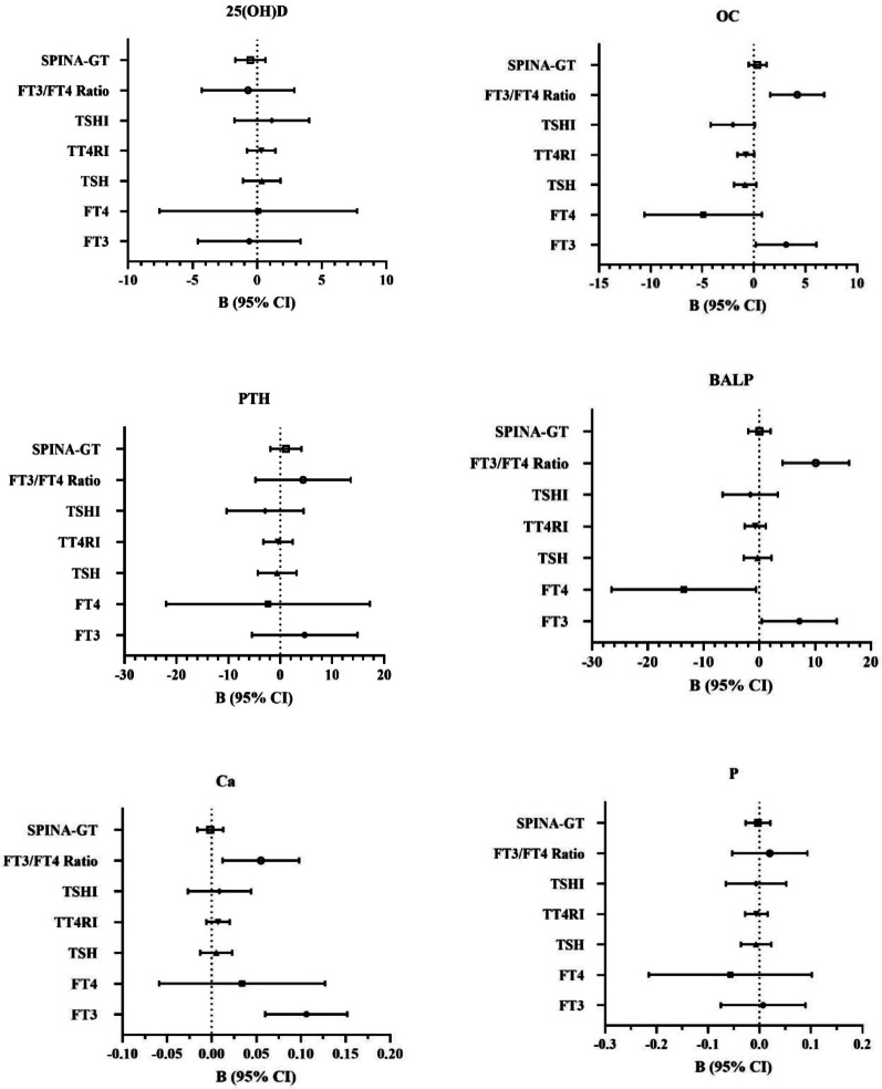
目的:探讨甲状腺功能正常的中老年新诊断2型糖尿病(T2DM)患者甲状腺激素敏感性指标与骨代谢指标的相关性。方法:回顾性分析新诊断T2DM患者350例(≥45岁),按骨密度分为A组(骨密度正常组)和B组(骨量低且骨质疏松组)。收集一般资料及临床生化指标:游离三碘甲状腺原氨酸(FT3)、游离甲状腺素(FT4)、促甲状腺激素(TSH)、25-羟基维生素D (25(OH)D)、甲状旁腺激素(PTH)、骨钙素(OC)、骨特异性碱性磷酸酶(BALP)、血清钙(Ca)、血清磷(P)、空腹血糖(FPG)、糖化血红蛋白a1c (HbA1c)、总胆固醇(TC)、甘油三酯(TG)、低密度脂蛋白胆固醇(LDL-C)、高密度脂蛋白胆固醇(HDL-C)、血清肌酐(SCr)、血清尿酸(SUA)、估计肾小球滤过率(eGFR)。计算甲状腺敏感性指标为:促甲状腺素抵抗指数(TT4RI)、促甲状腺激素指数(TSHI)、FT3/FT4比值、甲状腺分泌能力(SPINA-GT)。使用多元线性回归、二元逻辑回归和分层分析评估相关性。结果:B组患者BMI、DBP、FT3、FT3/FT4比值、FPG、HbA1c、TG、SCr、SUA较低,年龄、女性比例、OC、HDL-C较高(P)。结论:甲状腺功能正常的新诊断中老年T2DM患者外周血甲状腺激素指标FT3/FT4比值敏感性与血清OC、BALP、Ca水平显著相关。较低的FT3/FT4比值可能增加甲状腺功能正常的新诊断T2DM患者发生低骨量和骨质疏松的风险,降低的FT3/FT4比值可作为早期筛查的工具和低骨量和骨质疏松的预测指标。
本文章由计算机程序翻译,如有差异,请以英文原文为准。

Correlation between thyroid sensitivity indices and bone metabolism in newly diagnosed middle aged and elderly patients with type 2 diabetes mellitus with normal thyroid function.

Correlation between thyroid sensitivity indices and bone metabolism in newly diagnosed middle aged and elderly patients with type 2 diabetes mellitus with normal thyroid function.

Correlation between thyroid sensitivity indices and bone metabolism in newly diagnosed middle aged and elderly patients with type 2 diabetes mellitus with normal thyroid function.

Correlation between thyroid sensitivity indices and bone metabolism in newly diagnosed middle aged and elderly patients with type 2 diabetes mellitus with normal thyroid function.

Objective: To investigate the association between thyroid hormone sensitivity indices and bone metabolism markers in newly diagnosed middle-aged and elderly type 2 diabetes mellitus (T2DM) patients with normal thyroid function.

Method: We retrospectively analyzed 350 newly diagnosed T2DM patients (≥ 45 years), stratified by bone mineral density into Group A (normal bone density group) and Group B (low bone mass and osteoporosis group). General data and clinical biochemical parameters were collected: free triiodothyronine (FT3), free thyroxine (FT4), thyroid-stimulating hormone (TSH), 25-hydroxyvitamin D (25(OH)D), parathyroid hormone (PTH), osteocalcin (OC), bone-specific alkaline phosphatase (BALP), serum calcium (Ca), serum phosphorus (P), fasting plasma glucose (FPG), glycosylated hemoglobinA1c (HbA1c), total cholesterol (TC), triglyceride (TG), low-density lipoprotein cholesterol (LDL-C), high-density lipoprotein cholesterol (HDL-C), serum creatinine (SCr), serum uric acid (SUA), and estimated Glomerular Filtration Rate (eGFR). Thyroid sensitivity indices calculated were: thyrotropin resistance index (TT4RI), TSH index (TSHI), the ratio of FT3/FT4, and the secretory capacity of the thyroid (SPINA-GT). Associations were assessed using multiple linear regression, binary logistic regression, and stratified analysis.

Results: Group B patients had lower BMI, DBP, FT3, FT3/FT4 ratio, FPG, HbA1c, TG, SCr and SUA and higher age, female proportion, OC and HDL-C (P < 0.05). Spearman Correlation analysis showed that 25(OH)D was positively associated with FT3/FT4 ratio; Ca was positively associated with FT3; and P was associated with TSH, TT4RI and TSHI and negatively associated with SPINA-GT (P < 0.05). Multiple linear regression analysis showed that FT3, FT3/FT4 ratios were positive factors for serum OC, BALP and Ca, and FT4 was an inverse correlation with serum BALP (P < 0.05). Binary Logistic regression analysis showed that the elevated FT3/FT4 ratio was a protective factor for the occurrence of low bone mass and osteoporosis (P < 0.05). Stratified by HbA1c, the effect of FT3/FT4 ratio on low bone mass and osteoporosis showed that the FT3/FT4 ratio was inversely associated with the occurrence of low bone mass and osteoporosis in the HbA1c < 7% group (P < 0.05). Simple effect analysis of the interaction between FT3/FT4 ratio, HbA1c and bone density showed that T2DM patients with HbA1c ≥ 7% had a lower FT3/FT4 ratio and a higher risk of developing low bone mass and osteoporosis compared to those with HbA1c < 7%.

Conclusion: In newly diagnosed middle-aged and elderly T2DM patients with normal thyroid function, the peripheral sensitivity to thyroid hormone indix FT3/FT4 ratio was significantly associated with serum OC, BALP, and Ca levels. The lower FT3/FT4 ratio may increase the risk of low bone mass and osteoporosis in newly diagnosed T2DM patients with normal thyroid function, and the reduced index may serve as a tool for early screening and a predictor of low bone mass and osteoporosis.

求助全文
通过发布文献求助,成功后即可免费获取论文全文。 去求助
来源期刊
BMC Endocrine Disorders
BMC Endocrine Disorders ENDOCRINOLOGY & METABOLISM-
CiteScore
4.40
自引率
0.00%
发文量
280
审稿时长
>12 weeks
期刊介绍: BMC Endocrine Disorders is an open access, peer-reviewed journal that considers articles on all aspects of the prevention, diagnosis and management of endocrine disorders, as well as related molecular genetics, pathophysiology, and epidemiology.
×
引用
GB/T 7714-2015
复制
MLA
复制
APA
复制
导出至
BibTeX EndNote RefMan NoteFirst NoteExpress
×
提示
您的信息不完整,为了账户安全,请先补充。
现在去补充
×
提示
您因"违规操作"
具体请查看互助需知
我知道了
×
提示
确定
请完成安全验证×
copy
已复制链接
快去分享给好友吧!
我知道了
右上角分享
点击右上角分享
0
联系我们:info@booksci.cn Book学术提供免费学术资源搜索服务,方便国内外学者检索中英文文献。致力于提供最便捷和优质的服务体验。 Copyright © 2023 布克学术 All rights reserved.
京ICP备2023020795号-1
ghs 京公网安备 11010802042870号
Book学术文献互助
Book学术文献互助群
群 号:604180095
Book学术官方微信