结节性痒疹患者新发自身免疫性疾病:一项全球联合回顾性队列研究

IF 3.7 4区 医学 Q1 DERMATOLOGY
Hui-Chin Chang, Chia-Chi Chang, Yen-Ju Chu, Wei-Ting Hsu, Yun-Feng Li, Yi-Sheng Jhang, Yu-Jung Su, Shiu-Jau Chen, Torsten Zuberbier, Shuo-Yan Gau
{"title":"结节性痒疹患者新发自身免疫性疾病:一项全球联合回顾性队列研究","authors":"Hui-Chin Chang, Chia-Chi Chang, Yen-Ju Chu, Wei-Ting Hsu, Yun-Feng Li, Yi-Sheng Jhang, Yu-Jung Su, Shiu-Jau Chen, Torsten Zuberbier, Shuo-Yan Gau","doi":"10.2340/actadv.v105.43515","DOIUrl":null,"url":null,"abstract":"<p><p>Prurigo nodularis (PN) has been associated with autoimmune diseases, though longitudinal data are limited. This study investigates the risk of autoimmune disease development in PN patients using a global electronic health record database. This retrospective cohort study analysed data from the Global Collaborative Network within the TriNetX research network. Adults (≥ 18 years) with PN were compared with propensity score-matched controls without PN. Matching considered age, sex, comorbidities, race, and socioeconomic status. Patients with prior autoimmune diseases or cancers were excluded. Incident autoimmune diseases, including systemic lupus erythematosus (SLE), Sjögren's syndrome, psoriasis, ankylosing spondylitis (AS), rheumatoid arthritis (RA), Crohn's disease (CD), and ulcerative colitis (UC), were evaluated using hazard ratios (HR). Among 17,963 PN patients and the same amount of matched pairs, PN patients had higher risks for SLE (HR: 2.16, 95% CI: 1.44-3.24), Sjögren's syndrome (HR: 1.86, 95% CI: 1.33-2.59), and psoriasis (HR: 3.20, 95% CI: 2.58-3.97). Stratified analysis revealed that female PN patients had higher risks for SLE and Sjögren's syndrome, while psoriasis risk was elevated in both sexes, especially in males. Risks for AS, RA, CD, and UC were not significant. Sensitivity analyses validated these findings. In conclusion, PN is linked to increased risks for SLE, Sjögren's syndrome, and psoriasis, highlighting the need for proactive screening and management of autoimmune diseases in PN patients.</p>","PeriodicalId":6944,"journal":{"name":"Acta dermato-venereologica","volume":"105 ","pages":"adv43515"},"PeriodicalIF":3.7000,"publicationDate":"2025-09-04","publicationTypes":"Journal Article","fieldsOfStudy":null,"isOpenAccess":false,"openAccessPdf":"https://www.ncbi.nlm.nih.gov/pmc/articles/PMC12427582/pdf/","citationCount":"0","resultStr":"{\"title\":\"New-onset Autoimmune Diseases in Patients with Prurigo Nodularis: A Global-federated Retrospective Cohort Study.\",\"authors\":\"Hui-Chin Chang, Chia-Chi Chang, Yen-Ju Chu, Wei-Ting Hsu, Yun-Feng Li, Yi-Sheng Jhang, Yu-Jung Su, Shiu-Jau Chen, Torsten Zuberbier, Shuo-Yan Gau\",\"doi\":\"10.2340/actadv.v105.43515\",\"DOIUrl\":null,\"url\":null,\"abstract\":\"<p><p>Prurigo nodularis (PN) has been associated with autoimmune diseases, though longitudinal data are limited. This study investigates the risk of autoimmune disease development in PN patients using a global electronic health record database. This retrospective cohort study analysed data from the Global Collaborative Network within the TriNetX research network. Adults (≥ 18 years) with PN were compared with propensity score-matched controls without PN. Matching considered age, sex, comorbidities, race, and socioeconomic status. Patients with prior autoimmune diseases or cancers were excluded. Incident autoimmune diseases, including systemic lupus erythematosus (SLE), Sjögren's syndrome, psoriasis, ankylosing spondylitis (AS), rheumatoid arthritis (RA), Crohn's disease (CD), and ulcerative colitis (UC), were evaluated using hazard ratios (HR). Among 17,963 PN patients and the same amount of matched pairs, PN patients had higher risks for SLE (HR: 2.16, 95% CI: 1.44-3.24), Sjögren's syndrome (HR: 1.86, 95% CI: 1.33-2.59), and psoriasis (HR: 3.20, 95% CI: 2.58-3.97). Stratified analysis revealed that female PN patients had higher risks for SLE and Sjögren's syndrome, while psoriasis risk was elevated in both sexes, especially in males. Risks for AS, RA, CD, and UC were not significant. Sensitivity analyses validated these findings. In conclusion, PN is linked to increased risks for SLE, Sjögren's syndrome, and psoriasis, highlighting the need for proactive screening and management of autoimmune diseases in PN patients.</p>\",\"PeriodicalId\":6944,\"journal\":{\"name\":\"Acta dermato-venereologica\",\"volume\":\"105 \",\"pages\":\"adv43515\"},\"PeriodicalIF\":3.7000,\"publicationDate\":\"2025-09-04\",\"publicationTypes\":\"Journal Article\",\"fieldsOfStudy\":null,\"isOpenAccess\":false,\"openAccessPdf\":\"https://www.ncbi.nlm.nih.gov/pmc/articles/PMC12427582/pdf/\",\"citationCount\":\"0\",\"resultStr\":null,\"platform\":\"Semanticscholar\",\"paperid\":null,\"PeriodicalName\":\"Acta dermato-venereologica\",\"FirstCategoryId\":\"3\",\"ListUrlMain\":\"https://doi.org/10.2340/actadv.v105.43515\",\"RegionNum\":4,\"RegionCategory\":\"医学\",\"ArticlePicture\":[],\"TitleCN\":null,\"AbstractTextCN\":null,\"PMCID\":null,\"EPubDate\":\"\",\"PubModel\":\"\",\"JCR\":\"Q1\",\"JCRName\":\"DERMATOLOGY\",\"Score\":null,\"Total\":0}","platform":"Semanticscholar","paperid":null,"PeriodicalName":"Acta dermato-venereologica","FirstCategoryId":"3","ListUrlMain":"https://doi.org/10.2340/actadv.v105.43515","RegionNum":4,"RegionCategory":"医学","ArticlePicture":[],"TitleCN":null,"AbstractTextCN":null,"PMCID":null,"EPubDate":"","PubModel":"","JCR":"Q1","JCRName":"DERMATOLOGY","Score":null,"Total":0}
引用次数: 0

摘要

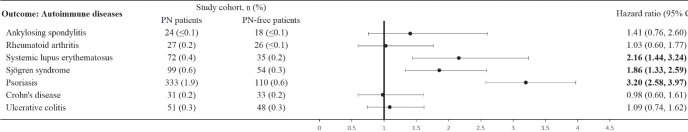
结节性痒疹(PN)与自身免疫性疾病有关,但纵向数据有限。本研究利用全球电子健康记录数据库调查PN患者自身免疫性疾病发展的风险。这项回顾性队列研究分析了TriNetX研究网络内全球协作网络的数据。患有PN的成人(≥18岁)与没有PN的倾向评分匹配的对照组进行比较。匹配考虑了年龄、性别、合并症、种族和社会经济地位。既往有自身免疫性疾病或癌症的患者被排除在外。使用风险比(HR)评估自身免疫性疾病,包括系统性红斑狼疮(SLE)、Sjögren综合征、牛皮癣、强直性脊柱炎(AS)、类风湿性关节炎(RA)、克罗恩病(CD)和溃疡性结肠炎(UC)。在17,963例PN患者和相同数量的配对对中,PN患者发生SLE (HR: 2.16, 95% CI: 1.44-3.24)、Sjögren综合征(HR: 1.86, 95% CI: 1.33-2.59)和牛皮癣(HR: 3.20, 95% CI: 2.58-3.97)的风险更高。分层分析显示,女性PN患者SLE和Sjögren综合征的风险较高,而牛皮癣的风险在两性中均升高,尤其是男性。AS、RA、CD和UC的风险不显著。敏感性分析证实了这些发现。总之,PN与SLE、Sjögren综合征和牛皮癣的风险增加有关,强调了PN患者主动筛查和管理自身免疫性疾病的必要性。
本文章由计算机程序翻译,如有差异,请以英文原文为准。

New-onset Autoimmune Diseases in Patients with Prurigo Nodularis: A Global-federated Retrospective Cohort Study.

New-onset Autoimmune Diseases in Patients with Prurigo Nodularis: A Global-federated Retrospective Cohort Study.

New-onset Autoimmune Diseases in Patients with Prurigo Nodularis: A Global-federated Retrospective Cohort Study.

Prurigo nodularis (PN) has been associated with autoimmune diseases, though longitudinal data are limited. This study investigates the risk of autoimmune disease development in PN patients using a global electronic health record database. This retrospective cohort study analysed data from the Global Collaborative Network within the TriNetX research network. Adults (≥ 18 years) with PN were compared with propensity score-matched controls without PN. Matching considered age, sex, comorbidities, race, and socioeconomic status. Patients with prior autoimmune diseases or cancers were excluded. Incident autoimmune diseases, including systemic lupus erythematosus (SLE), Sjögren's syndrome, psoriasis, ankylosing spondylitis (AS), rheumatoid arthritis (RA), Crohn's disease (CD), and ulcerative colitis (UC), were evaluated using hazard ratios (HR). Among 17,963 PN patients and the same amount of matched pairs, PN patients had higher risks for SLE (HR: 2.16, 95% CI: 1.44-3.24), Sjögren's syndrome (HR: 1.86, 95% CI: 1.33-2.59), and psoriasis (HR: 3.20, 95% CI: 2.58-3.97). Stratified analysis revealed that female PN patients had higher risks for SLE and Sjögren's syndrome, while psoriasis risk was elevated in both sexes, especially in males. Risks for AS, RA, CD, and UC were not significant. Sensitivity analyses validated these findings. In conclusion, PN is linked to increased risks for SLE, Sjögren's syndrome, and psoriasis, highlighting the need for proactive screening and management of autoimmune diseases in PN patients.

求助全文
通过发布文献求助,成功后即可免费获取论文全文。 去求助
来源期刊
Acta dermato-venereologica
Acta dermato-venereologica 医学-皮肤病学
CiteScore
4.90
自引率
2.80%
发文量
210
审稿时长
6-12 weeks
期刊介绍: Acta Dermato-Venereologica publishes high-quality manuscripts in English in the field of Dermatology and Venereology, dealing with new observations on basic dermatological and venereological research, as well as clinical investigations. Each volume also features a number of Review articles in special areas, as well as short Letters to the Editor to stimulate debate and to disseminate important clinical observations. Acta Dermato-Venereologica has rapid publication times and is amply illustrated with a large number of colour photographs.
×
引用
GB/T 7714-2015
复制
MLA
复制
APA
复制
导出至
BibTeX EndNote RefMan NoteFirst NoteExpress
×
提示
您的信息不完整,为了账户安全,请先补充。
现在去补充
×
提示
您因"违规操作"
具体请查看互助需知
我知道了
×
提示
确定
请完成安全验证×
copy
已复制链接
快去分享给好友吧!
我知道了
右上角分享
点击右上角分享
0
联系我们:info@booksci.cn Book学术提供免费学术资源搜索服务,方便国内外学者检索中英文文献。致力于提供最便捷和优质的服务体验。 Copyright © 2023 布克学术 All rights reserved.
京ICP备2023020795号-1
ghs 京公网安备 11010802042870号
Book学术文献互助
Book学术文献互助群
群 号:604180095
Book学术官方微信