有机肥对太白贝母根际酚酸还原的影响。

IF 3.6
Plant signaling & behavior Pub Date : 2025-12-31 Epub Date: 2025-09-03 DOI:10.1080/15592324.2025.2554917
Wenwu Yang, Jinjin Li, You Zhou, Yuhan Wang, Wenting Wenting, Nong Zhou, Qiang-Sheng Wu
{"title":"有机肥对太白贝母根际酚酸还原的影响。","authors":"Wenwu Yang, Jinjin Li, You Zhou, Yuhan Wang, Wenting Wenting, Nong Zhou, Qiang-Sheng Wu","doi":"10.1080/15592324.2025.2554917","DOIUrl":null,"url":null,"abstract":"<p><p><i>Fritillaria taipaiensis</i> is a valuable traditional Chinese medicinal plant that is prone to germplasm degradation during long-term continuous monoculture. Allelopathic autotoxicity, which is mediated primarily by phenolic acids, is considered a major factor contributing to this degradation. To reveal the accumulation patterns of phenolic acids in the rhizospheric soil of <i>F. taipaiensis</i> under continuous monoculture, five phenolic acids (<i>p</i>-hydroxybenzoic acid, vanillic acid, syringic acid, <i>p</i>-coumaric acid, and ferulic acid) in the rhizospheric soil of <i>F. taipaiensis</i> across 1-5 y, and various fertilizer regimes (chemical fertilizer, chemical fertilizer + organic fertilizer, and organic fertilizer) were determined to assess their accumulation characteristics, along with soil fertility parameters. The result showed that the levels of available nitrogen, Olsen-phosphorus, and available potassium in chemical fertilizer and chemical fertilizer + organic fertilizer, along with the organic matter content in all three soil samples, showed a decreasing trend over time, while organic fertilizer exhibited significant fluctuations without a clear pattern. The phenolic acid content in the rhizospheric soil initially increased and then generally decreased in later stages. After 5 y of cultivation, the soils treated with organic fertilizer exhibited lower phenolic acid levels than those treated with chemical fertilizer. The accumulation patterns of individual phenolic acids varied with fertilizer type and cultivation period, with organic fertilizer showing the most consistent patterns across all phenolic acids. There was a positive correlation among the five phenolic acids, along with a significant positive correlation between soil organic matter and vanillic acid and ferulic acid. These findings suggest that long-term monoculture leads to distinct accumulation characteristics of phenolic acids in the rhizospheric soil of <i>F. taipaiensis</i>, and the application of organic fertilizer can mitigate such accumulation.</p>","PeriodicalId":94172,"journal":{"name":"Plant signaling & behavior","volume":"20 1","pages":"2554917"},"PeriodicalIF":3.6000,"publicationDate":"2025-12-31","publicationTypes":"Journal Article","fieldsOfStudy":null,"isOpenAccess":false,"openAccessPdf":"https://www.ncbi.nlm.nih.gov/pmc/articles/PMC12413057/pdf/","citationCount":"0","resultStr":"{\"title\":\"Phenolic acid reduction in <i>Fritillaria taipaiensis</i> rhizosphere via organic fertilization.\",\"authors\":\"Wenwu Yang, Jinjin Li, You Zhou, Yuhan Wang, Wenting Wenting, Nong Zhou, Qiang-Sheng Wu\",\"doi\":\"10.1080/15592324.2025.2554917\",\"DOIUrl\":null,\"url\":null,\"abstract\":\"<p><p><i>Fritillaria taipaiensis</i> is a valuable traditional Chinese medicinal plant that is prone to germplasm degradation during long-term continuous monoculture. Allelopathic autotoxicity, which is mediated primarily by phenolic acids, is considered a major factor contributing to this degradation. To reveal the accumulation patterns of phenolic acids in the rhizospheric soil of <i>F. taipaiensis</i> under continuous monoculture, five phenolic acids (<i>p</i>-hydroxybenzoic acid, vanillic acid, syringic acid, <i>p</i>-coumaric acid, and ferulic acid) in the rhizospheric soil of <i>F. taipaiensis</i> across 1-5 y, and various fertilizer regimes (chemical fertilizer, chemical fertilizer + organic fertilizer, and organic fertilizer) were determined to assess their accumulation characteristics, along with soil fertility parameters. The result showed that the levels of available nitrogen, Olsen-phosphorus, and available potassium in chemical fertilizer and chemical fertilizer + organic fertilizer, along with the organic matter content in all three soil samples, showed a decreasing trend over time, while organic fertilizer exhibited significant fluctuations without a clear pattern. The phenolic acid content in the rhizospheric soil initially increased and then generally decreased in later stages. After 5 y of cultivation, the soils treated with organic fertilizer exhibited lower phenolic acid levels than those treated with chemical fertilizer. The accumulation patterns of individual phenolic acids varied with fertilizer type and cultivation period, with organic fertilizer showing the most consistent patterns across all phenolic acids. There was a positive correlation among the five phenolic acids, along with a significant positive correlation between soil organic matter and vanillic acid and ferulic acid. These findings suggest that long-term monoculture leads to distinct accumulation characteristics of phenolic acids in the rhizospheric soil of <i>F. taipaiensis</i>, and the application of organic fertilizer can mitigate such accumulation.</p>\",\"PeriodicalId\":94172,\"journal\":{\"name\":\"Plant signaling & behavior\",\"volume\":\"20 1\",\"pages\":\"2554917\"},\"PeriodicalIF\":3.6000,\"publicationDate\":\"2025-12-31\",\"publicationTypes\":\"Journal Article\",\"fieldsOfStudy\":null,\"isOpenAccess\":false,\"openAccessPdf\":\"https://www.ncbi.nlm.nih.gov/pmc/articles/PMC12413057/pdf/\",\"citationCount\":\"0\",\"resultStr\":null,\"platform\":\"Semanticscholar\",\"paperid\":null,\"PeriodicalName\":\"Plant signaling & behavior\",\"FirstCategoryId\":\"1085\",\"ListUrlMain\":\"https://doi.org/10.1080/15592324.2025.2554917\",\"RegionNum\":0,\"RegionCategory\":null,\"ArticlePicture\":[],\"TitleCN\":null,\"AbstractTextCN\":null,\"PMCID\":null,\"EPubDate\":\"2025/9/3 0:00:00\",\"PubModel\":\"Epub\",\"JCR\":\"\",\"JCRName\":\"\",\"Score\":null,\"Total\":0}","platform":"Semanticscholar","paperid":null,"PeriodicalName":"Plant signaling & behavior","FirstCategoryId":"1085","ListUrlMain":"https://doi.org/10.1080/15592324.2025.2554917","RegionNum":0,"RegionCategory":null,"ArticlePicture":[],"TitleCN":null,"AbstractTextCN":null,"PMCID":null,"EPubDate":"2025/9/3 0:00:00","PubModel":"Epub","JCR":"","JCRName":"","Score":null,"Total":0}
引用次数: 0

摘要

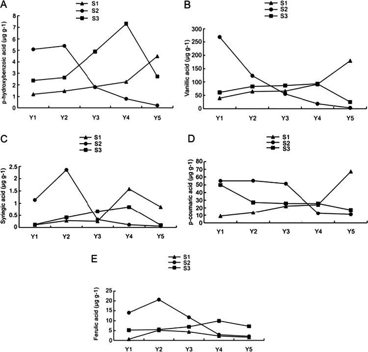
太白贝母是一种珍贵的传统药用植物,在长期连续栽培过程中容易发生种质退化。化感性自毒性主要由酚酸介导,被认为是导致这种降解的主要因素。为揭示单作连续栽培下太白栎根际土壤中酚酸的积累规律,测定了5种酚酸(对羟基苯甲酸、香草酸、丁香酸、对香豆酸和阿魏酸)在1 ~ 5 y间和不同施肥制度(化肥、化肥+有机肥和有机肥)下在太白栎根际土壤中的积累特征。还有土壤肥力参数。结果表明:化肥和化肥+有机肥中速效氮、奥尔森磷、速效钾含量及有机质含量随时间的变化均呈下降趋势,有机肥波动明显,但变化规律不明显。根际土壤酚酸含量呈先上升后下降的趋势。栽培5 y后,施用有机肥的土壤酚酸含量明显低于施用化肥的土壤。各酚酸的积累模式随肥料类型和栽培期的不同而不同,其中有机肥的积累模式最一致。5种酚酸与土壤有机质呈显著正相关,与香草酸、阿魏酸呈显著正相关。上述结果表明,长期单一栽培导致太白根际土壤酚酸积累特征明显,施用有机肥可以缓解这种积累。
本文章由计算机程序翻译,如有差异,请以英文原文为准。

Phenolic acid reduction in <i>Fritillaria taipaiensis</i> rhizosphere via organic fertilization.

Phenolic acid reduction in <i>Fritillaria taipaiensis</i> rhizosphere via organic fertilization.

Phenolic acid reduction in Fritillaria taipaiensis rhizosphere via organic fertilization.

Fritillaria taipaiensis is a valuable traditional Chinese medicinal plant that is prone to germplasm degradation during long-term continuous monoculture. Allelopathic autotoxicity, which is mediated primarily by phenolic acids, is considered a major factor contributing to this degradation. To reveal the accumulation patterns of phenolic acids in the rhizospheric soil of F. taipaiensis under continuous monoculture, five phenolic acids (p-hydroxybenzoic acid, vanillic acid, syringic acid, p-coumaric acid, and ferulic acid) in the rhizospheric soil of F. taipaiensis across 1-5 y, and various fertilizer regimes (chemical fertilizer, chemical fertilizer + organic fertilizer, and organic fertilizer) were determined to assess their accumulation characteristics, along with soil fertility parameters. The result showed that the levels of available nitrogen, Olsen-phosphorus, and available potassium in chemical fertilizer and chemical fertilizer + organic fertilizer, along with the organic matter content in all three soil samples, showed a decreasing trend over time, while organic fertilizer exhibited significant fluctuations without a clear pattern. The phenolic acid content in the rhizospheric soil initially increased and then generally decreased in later stages. After 5 y of cultivation, the soils treated with organic fertilizer exhibited lower phenolic acid levels than those treated with chemical fertilizer. The accumulation patterns of individual phenolic acids varied with fertilizer type and cultivation period, with organic fertilizer showing the most consistent patterns across all phenolic acids. There was a positive correlation among the five phenolic acids, along with a significant positive correlation between soil organic matter and vanillic acid and ferulic acid. These findings suggest that long-term monoculture leads to distinct accumulation characteristics of phenolic acids in the rhizospheric soil of F. taipaiensis, and the application of organic fertilizer can mitigate such accumulation.

求助全文
通过发布文献求助,成功后即可免费获取论文全文。 去求助
来源期刊
自引率
0.00%
发文量
0
×
引用
GB/T 7714-2015
复制
MLA
复制
APA
复制
导出至
BibTeX EndNote RefMan NoteFirst NoteExpress
×
提示
您的信息不完整,为了账户安全,请先补充。
现在去补充
×
提示
您因"违规操作"
具体请查看互助需知
我知道了
×
提示
确定
请完成安全验证×
copy
已复制链接
快去分享给好友吧!
我知道了
右上角分享
点击右上角分享
0
联系我们:info@booksci.cn Book学术提供免费学术资源搜索服务,方便国内外学者检索中英文文献。致力于提供最便捷和优质的服务体验。 Copyright © 2023 布克学术 All rights reserved.
京ICP备2023020795号-1
ghs 京公网安备 11010802042870号
Book学术文献互助
Book学术文献互助群
群 号:604180095
Book学术官方微信