一项随机对照试验:新型多模态机械刺激优于TENS治疗和预防慢性腰痛。

IF 2.5 Q2 CLINICAL NEUROLOGY
Frontiers in pain research (Lausanne, Switzerland) Pub Date : 2025-08-18 eCollection Date: 2025-01-01 DOI:10.3389/fpain.2025.1625420
Amy Lynn Baxter, Jena L Etnoyer-Slaski, Owen Tucker, Jessica Allia Rice Williams, Kevin Swartout, Lindsey L Cohen, M Louise Lawson
{"title":"一项随机对照试验:新型多模态机械刺激优于TENS治疗和预防慢性腰痛。","authors":"Amy Lynn Baxter, Jena L Etnoyer-Slaski, Owen Tucker, Jessica Allia Rice Williams, Kevin Swartout, Lindsey L Cohen, M Louise Lawson","doi":"10.3389/fpain.2025.1625420","DOIUrl":null,"url":null,"abstract":"<p><strong>Background: </strong>Low back pain (LBP) is the leading cause of disability worldwide. Up to half of moderate-to-severe acute LBP (aLBP) progress to chronic (cLBP), with neuromotor, fascial, and muscle pathology contributing to inoperable mechanical disability. A novel thermomechanical stimulation (M-Stim) device delivering stochastic and targeted vibration frequencies relieved LBP in a pilot. Efficacy versus an active control, for cLBP prevention, or reversing disability was undetermined.</p><p><strong>Methods: </strong>As part of a National Institutes of Health (NIH) double-blind, randomized controlled trial, 159 chiropractic patients with non-radiating moderate-to-severe LBP [Numeric Rating Scale (NRS) ≥4] were randomized to add either the multimodal M-Stim device or 4-lead transcutaneous electrical nerve stimulation (TENS) for 30 minutes daily to other therapies. Between June 2022 and July 2024, pain scores, analgesic use, and device adherence were recorded for 28 days, with weekly follow-up up to 6 months. Primary outcomes included PROMIS Pain Interference scores, NRS pain scores, and transition from aLBP to cLBP (Pain Interference ≥55 at 3 months). Exploratory analyses examined higher-severity subgroups, including those meeting NIH Research Task Force (RTF) criteria, obesity, longer pain duration, and an integrated analysis with common criteria for intractable inoperable mechanical cLBP.</p><p><strong>Results: </strong>For 44 aLBP and 115 cLBP participants [mean age 42.6, 54% female, BMI 30.9 (SD 6.19), NRS 5.51 (SD 2.15)], M-Stim was noninferior to TENS for initial and 10-day relief. Over time, Linear Mixed Models (intention-to-treat) showed M-Stim significantly improved pain and disability for both aLBP and cLBP, (<i>p</i> < .001 to <i>p</i> = .024). With higher severity, 23.9% (11/46) M-Stim users reached \"no disability\" (PROMIS = 40.7) vs. 7.1% (2/28) TENS users [RR 0.81 (95% CI 0.66-0.99), <i>p</i> = 0.04]. M-Stim yielded significantly greater improvement than TENS in those with pain ≥5 years, BMI ≥30, or mechanical cLBP (all <i>p</i> < .05). Significantly fewer aLBP M-Stim users transitioned to cLBP at 3 months [31.8% vs. 72.7%, RR 0.44 (95% CI 0.23-0.85), NNT = 2.4, <i>p</i> = 0.015].</p><p><strong>Conclusions: </strong>A multimodal M-Stim device reduced progression to cLBP significantly more than TENS. Both devices reduced pain initially, but M-Stim reduced pain and disability significantly more over time, particularly in cLBP subsets with higher severity, duration, or BMI.</p><p><strong>Clinical trial registration: </strong>https://clinicaltrials.gov/study/NCT04494698, identifier NCT04494698.</p>","PeriodicalId":73097,"journal":{"name":"Frontiers in pain research (Lausanne, Switzerland)","volume":"6 ","pages":"1625420"},"PeriodicalIF":2.5000,"publicationDate":"2025-08-18","publicationTypes":"Journal Article","fieldsOfStudy":null,"isOpenAccess":false,"openAccessPdf":"https://www.ncbi.nlm.nih.gov/pmc/articles/PMC12399623/pdf/","citationCount":"0","resultStr":"{\"title\":\"Novel multimodal mechanical stimulation is superior to TENS to treat and prevent chronic low back pain: a randomized controlled trial.\",\"authors\":\"Amy Lynn Baxter, Jena L Etnoyer-Slaski, Owen Tucker, Jessica Allia Rice Williams, Kevin Swartout, Lindsey L Cohen, M Louise Lawson\",\"doi\":\"10.3389/fpain.2025.1625420\",\"DOIUrl\":null,\"url\":null,\"abstract\":\"<p><strong>Background: </strong>Low back pain (LBP) is the leading cause of disability worldwide. Up to half of moderate-to-severe acute LBP (aLBP) progress to chronic (cLBP), with neuromotor, fascial, and muscle pathology contributing to inoperable mechanical disability. A novel thermomechanical stimulation (M-Stim) device delivering stochastic and targeted vibration frequencies relieved LBP in a pilot. Efficacy versus an active control, for cLBP prevention, or reversing disability was undetermined.</p><p><strong>Methods: </strong>As part of a National Institutes of Health (NIH) double-blind, randomized controlled trial, 159 chiropractic patients with non-radiating moderate-to-severe LBP [Numeric Rating Scale (NRS) ≥4] were randomized to add either the multimodal M-Stim device or 4-lead transcutaneous electrical nerve stimulation (TENS) for 30 minutes daily to other therapies. Between June 2022 and July 2024, pain scores, analgesic use, and device adherence were recorded for 28 days, with weekly follow-up up to 6 months. Primary outcomes included PROMIS Pain Interference scores, NRS pain scores, and transition from aLBP to cLBP (Pain Interference ≥55 at 3 months). Exploratory analyses examined higher-severity subgroups, including those meeting NIH Research Task Force (RTF) criteria, obesity, longer pain duration, and an integrated analysis with common criteria for intractable inoperable mechanical cLBP.</p><p><strong>Results: </strong>For 44 aLBP and 115 cLBP participants [mean age 42.6, 54% female, BMI 30.9 (SD 6.19), NRS 5.51 (SD 2.15)], M-Stim was noninferior to TENS for initial and 10-day relief. Over time, Linear Mixed Models (intention-to-treat) showed M-Stim significantly improved pain and disability for both aLBP and cLBP, (<i>p</i> < .001 to <i>p</i> = .024). With higher severity, 23.9% (11/46) M-Stim users reached \\\"no disability\\\" (PROMIS = 40.7) vs. 7.1% (2/28) TENS users [RR 0.81 (95% CI 0.66-0.99), <i>p</i> = 0.04]. M-Stim yielded significantly greater improvement than TENS in those with pain ≥5 years, BMI ≥30, or mechanical cLBP (all <i>p</i> < .05). Significantly fewer aLBP M-Stim users transitioned to cLBP at 3 months [31.8% vs. 72.7%, RR 0.44 (95% CI 0.23-0.85), NNT = 2.4, <i>p</i> = 0.015].</p><p><strong>Conclusions: </strong>A multimodal M-Stim device reduced progression to cLBP significantly more than TENS. Both devices reduced pain initially, but M-Stim reduced pain and disability significantly more over time, particularly in cLBP subsets with higher severity, duration, or BMI.</p><p><strong>Clinical trial registration: </strong>https://clinicaltrials.gov/study/NCT04494698, identifier NCT04494698.</p>\",\"PeriodicalId\":73097,\"journal\":{\"name\":\"Frontiers in pain research (Lausanne, Switzerland)\",\"volume\":\"6 \",\"pages\":\"1625420\"},\"PeriodicalIF\":2.5000,\"publicationDate\":\"2025-08-18\",\"publicationTypes\":\"Journal Article\",\"fieldsOfStudy\":null,\"isOpenAccess\":false,\"openAccessPdf\":\"https://www.ncbi.nlm.nih.gov/pmc/articles/PMC12399623/pdf/\",\"citationCount\":\"0\",\"resultStr\":null,\"platform\":\"Semanticscholar\",\"paperid\":null,\"PeriodicalName\":\"Frontiers in pain research (Lausanne, Switzerland)\",\"FirstCategoryId\":\"1085\",\"ListUrlMain\":\"https://doi.org/10.3389/fpain.2025.1625420\",\"RegionNum\":0,\"RegionCategory\":null,\"ArticlePicture\":[],\"TitleCN\":null,\"AbstractTextCN\":null,\"PMCID\":null,\"EPubDate\":\"2025/1/1 0:00:00\",\"PubModel\":\"eCollection\",\"JCR\":\"Q2\",\"JCRName\":\"CLINICAL NEUROLOGY\",\"Score\":null,\"Total\":0}","platform":"Semanticscholar","paperid":null,"PeriodicalName":"Frontiers in pain research (Lausanne, Switzerland)","FirstCategoryId":"1085","ListUrlMain":"https://doi.org/10.3389/fpain.2025.1625420","RegionNum":0,"RegionCategory":null,"ArticlePicture":[],"TitleCN":null,"AbstractTextCN":null,"PMCID":null,"EPubDate":"2025/1/1 0:00:00","PubModel":"eCollection","JCR":"Q2","JCRName":"CLINICAL NEUROLOGY","Score":null,"Total":0}
引用次数: 0

摘要

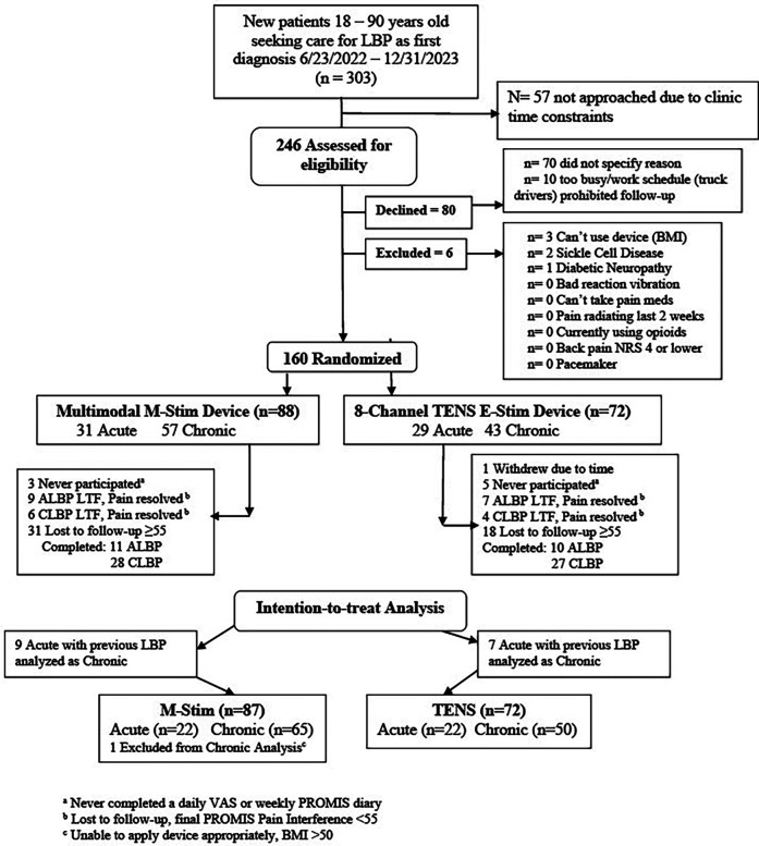
背景:腰痛(LBP)是世界范围内致残的主要原因。多达一半的中重度急性腰痛(aLBP)进展为慢性(cLBP),伴有神经运动、筋膜和肌肉病理导致无法手术的机械残疾。一种新的热机械刺激(M-Stim)装置提供随机和有针对性的振动频率,缓解了飞行员的LBP。与主动对照相比,预防cLBP或逆转残疾的疗效尚不确定。方法:作为美国国立卫生研究院(NIH)的一项双盲、随机对照试验的一部分,159例非辐射性中重度LBP[数值评定量表(NRS)≥4]的整脊患者被随机分组,每天在其他治疗方法中加入多模态M-Stim装置或4导联经皮神经电刺激(TENS) 30分钟。在2022年6月至2024年7月期间,记录疼痛评分、止痛药使用和器械依从性28天,每周随访6个月。主要结局包括PROMIS疼痛干扰评分、NRS疼痛评分和aLBP向cLBP的转变(3个月时疼痛干扰≥55)。探索性分析检查了严重程度较高的亚组,包括符合NIH研究工作组(RTF)标准的亚组、肥胖、较长的疼痛持续时间,以及与难治性不可手术的机械性cLBP共同标准的综合分析。结果:对于44名aLBP和115名cLBP参与者[平均年龄42.6岁,54%为女性,BMI 30.9 (SD 6.19), NRS 5.51 (SD 2.15)], M-Stim在初始和10天缓解方面不逊于TENS。随着时间的推移,线性混合模型(意向治疗)显示M-Stim显著改善了aLBP和cLBP的疼痛和残疾,(p p = 0.024)。在严重程度较高的情况下,23.9% (11/46)M-Stim使用者达到“无残疾”(PROMIS = 40.7),而7.1% (2/28)TENS使用者达到“无残疾”[RR 0.81 (95% CI 0.66-0.99), p = 0.04]。在疼痛≥5年、BMI≥30或机械性cLBP患者中,M-Stim的改善效果显著高于TENS(均p p = 0.015)。结论:与TENS相比,多模态M-Stim装置显著减少了cLBP的进展。这两种装置最初都能减轻疼痛,但随着时间的推移,M-Stim能显著减轻疼痛和残疾,特别是在严重程度、持续时间或BMI较高的cLBP亚群中。临床试验注册:https://clinicaltrials.gov/study/NCT04494698,标识符NCT04494698。
本文章由计算机程序翻译,如有差异,请以英文原文为准。

Novel multimodal mechanical stimulation is superior to TENS to treat and prevent chronic low back pain: a randomized controlled trial.

Novel multimodal mechanical stimulation is superior to TENS to treat and prevent chronic low back pain: a randomized controlled trial.

Novel multimodal mechanical stimulation is superior to TENS to treat and prevent chronic low back pain: a randomized controlled trial.

Novel multimodal mechanical stimulation is superior to TENS to treat and prevent chronic low back pain: a randomized controlled trial.

Background: Low back pain (LBP) is the leading cause of disability worldwide. Up to half of moderate-to-severe acute LBP (aLBP) progress to chronic (cLBP), with neuromotor, fascial, and muscle pathology contributing to inoperable mechanical disability. A novel thermomechanical stimulation (M-Stim) device delivering stochastic and targeted vibration frequencies relieved LBP in a pilot. Efficacy versus an active control, for cLBP prevention, or reversing disability was undetermined.

Methods: As part of a National Institutes of Health (NIH) double-blind, randomized controlled trial, 159 chiropractic patients with non-radiating moderate-to-severe LBP [Numeric Rating Scale (NRS) ≥4] were randomized to add either the multimodal M-Stim device or 4-lead transcutaneous electrical nerve stimulation (TENS) for 30 minutes daily to other therapies. Between June 2022 and July 2024, pain scores, analgesic use, and device adherence were recorded for 28 days, with weekly follow-up up to 6 months. Primary outcomes included PROMIS Pain Interference scores, NRS pain scores, and transition from aLBP to cLBP (Pain Interference ≥55 at 3 months). Exploratory analyses examined higher-severity subgroups, including those meeting NIH Research Task Force (RTF) criteria, obesity, longer pain duration, and an integrated analysis with common criteria for intractable inoperable mechanical cLBP.

Results: For 44 aLBP and 115 cLBP participants [mean age 42.6, 54% female, BMI 30.9 (SD 6.19), NRS 5.51 (SD 2.15)], M-Stim was noninferior to TENS for initial and 10-day relief. Over time, Linear Mixed Models (intention-to-treat) showed M-Stim significantly improved pain and disability for both aLBP and cLBP, (p < .001 to p = .024). With higher severity, 23.9% (11/46) M-Stim users reached "no disability" (PROMIS = 40.7) vs. 7.1% (2/28) TENS users [RR 0.81 (95% CI 0.66-0.99), p = 0.04]. M-Stim yielded significantly greater improvement than TENS in those with pain ≥5 years, BMI ≥30, or mechanical cLBP (all p < .05). Significantly fewer aLBP M-Stim users transitioned to cLBP at 3 months [31.8% vs. 72.7%, RR 0.44 (95% CI 0.23-0.85), NNT = 2.4, p = 0.015].

Conclusions: A multimodal M-Stim device reduced progression to cLBP significantly more than TENS. Both devices reduced pain initially, but M-Stim reduced pain and disability significantly more over time, particularly in cLBP subsets with higher severity, duration, or BMI.

Clinical trial registration: https://clinicaltrials.gov/study/NCT04494698, identifier NCT04494698.

求助全文
通过发布文献求助,成功后即可免费获取论文全文。 去求助
来源期刊
CiteScore
2.10
自引率
0.00%
发文量
0
审稿时长
13 weeks
×
引用
GB/T 7714-2015
复制
MLA
复制
APA
复制
导出至
BibTeX EndNote RefMan NoteFirst NoteExpress
×
提示
您的信息不完整,为了账户安全,请先补充。
现在去补充
×
提示
您因"违规操作"
具体请查看互助需知
我知道了
×
提示
确定
请完成安全验证×
copy
已复制链接
快去分享给好友吧!
我知道了
右上角分享
点击右上角分享
0
联系我们:info@booksci.cn Book学术提供免费学术资源搜索服务,方便国内外学者检索中英文文献。致力于提供最便捷和优质的服务体验。 Copyright © 2023 布克学术 All rights reserved.
京ICP备2023020795号-1
ghs 京公网安备 11010802042870号
Book学术文献互助
Book学术文献互助群
群 号:604180095
Book学术官方微信