闭合动力链上肢稳定性测试NCAA美式橄榄球参考值。

IF 2.1 Q3 SPORT SCIENCES
International Journal of Sports Physical Therapy Pub Date : 2025-09-01 eCollection Date: 2025-01-01 DOI:10.26603/001c.143374
Nicole Assef, Cassie Endsley, Connor Skoumal, Jessica Schlafke, Matt Dewald
{"title":"闭合动力链上肢稳定性测试NCAA美式橄榄球参考值。","authors":"Nicole Assef, Cassie Endsley, Connor Skoumal, Jessica Schlafke, Matt Dewald","doi":"10.26603/001c.143374","DOIUrl":null,"url":null,"abstract":"<p><strong>Background: </strong>The Closed Kinetic Chain Upper Extremity Stability Test (CKCUEST) is a valid and reliable test commonly used during return to sport testing. While reference values have been determined for multiple sports, few have specifically considered National Collegiate Athletic Association (NCAA) American football players.</p><p><strong>Purpose: </strong>To provide reference values on the CKCUEST for NCAA football players with considerations for position, history of upper extremity injury, year in school, and division of college football.</p><p><strong>Study design: </strong>Cross-sectional study.</p><p><strong>Methods: </strong>Eighty football players from three NCAA schools were recruited to participate in this study. Height, mass, position, year in school, and history of upper extremity injury were collected. Subjects completed three trials of the CKCUEST with their means recorded. Means were compared using ANOVA with post hoc Bonferroni tests. A T-test was used for a secondary comparison of mean touches of linemen versus all other positions. Pearson correlation coefficients assessed the relationship between number of touches and subject characteristics.</p><p><strong>Results: </strong>Subjects were all males with a mean of 2.5 years in school (95% CI 2.18-2.85). Subjects of the study averaged 27.3 touches. There were no statistically significant performance differences between players from NCAA divisions, with/without injury history, years in school, or athlete demographics. Linebackers had significantly more touches compared to offensive linemen, 29.7 and 24.8 (p<0.03), respectively. Additionally, linemen as a group (offensive and defensive) averaged 25.7 touches, which was significantly lower compared to all other positions combined (28.1 touches, p<0.01). The minimal detectable change was 1.2 touches.</p><p><strong>Conclusion: </strong>A reference value of 27 touches was found for the CKCUEST in NCAA football players. A change of at least two touches would indicate a measurable change. Position differences should play a role in clearance for return to sport; specifically, linemen may produce less touches than other non-lineman positions.</p><p><strong>Level of evidence: </strong>Level 2c: Cross-sectional study.</p>","PeriodicalId":47892,"journal":{"name":"International Journal of Sports Physical Therapy","volume":"20 9","pages":"1338-1344"},"PeriodicalIF":2.1000,"publicationDate":"2025-09-01","publicationTypes":"Journal Article","fieldsOfStudy":null,"isOpenAccess":false,"openAccessPdf":"https://www.ncbi.nlm.nih.gov/pmc/articles/PMC12404576/pdf/","citationCount":"0","resultStr":"{\"title\":\"Closed Kinetic Chain Upper Extremity Stability Test Reference Values for NCAA American Football.\",\"authors\":\"Nicole Assef, Cassie Endsley, Connor Skoumal, Jessica Schlafke, Matt Dewald\",\"doi\":\"10.26603/001c.143374\",\"DOIUrl\":null,\"url\":null,\"abstract\":\"<p><strong>Background: </strong>The Closed Kinetic Chain Upper Extremity Stability Test (CKCUEST) is a valid and reliable test commonly used during return to sport testing. While reference values have been determined for multiple sports, few have specifically considered National Collegiate Athletic Association (NCAA) American football players.</p><p><strong>Purpose: </strong>To provide reference values on the CKCUEST for NCAA football players with considerations for position, history of upper extremity injury, year in school, and division of college football.</p><p><strong>Study design: </strong>Cross-sectional study.</p><p><strong>Methods: </strong>Eighty football players from three NCAA schools were recruited to participate in this study. Height, mass, position, year in school, and history of upper extremity injury were collected. Subjects completed three trials of the CKCUEST with their means recorded. Means were compared using ANOVA with post hoc Bonferroni tests. A T-test was used for a secondary comparison of mean touches of linemen versus all other positions. Pearson correlation coefficients assessed the relationship between number of touches and subject characteristics.</p><p><strong>Results: </strong>Subjects were all males with a mean of 2.5 years in school (95% CI 2.18-2.85). Subjects of the study averaged 27.3 touches. There were no statistically significant performance differences between players from NCAA divisions, with/without injury history, years in school, or athlete demographics. Linebackers had significantly more touches compared to offensive linemen, 29.7 and 24.8 (p<0.03), respectively. Additionally, linemen as a group (offensive and defensive) averaged 25.7 touches, which was significantly lower compared to all other positions combined (28.1 touches, p<0.01). The minimal detectable change was 1.2 touches.</p><p><strong>Conclusion: </strong>A reference value of 27 touches was found for the CKCUEST in NCAA football players. A change of at least two touches would indicate a measurable change. Position differences should play a role in clearance for return to sport; specifically, linemen may produce less touches than other non-lineman positions.</p><p><strong>Level of evidence: </strong>Level 2c: Cross-sectional study.</p>\",\"PeriodicalId\":47892,\"journal\":{\"name\":\"International Journal of Sports Physical Therapy\",\"volume\":\"20 9\",\"pages\":\"1338-1344\"},\"PeriodicalIF\":2.1000,\"publicationDate\":\"2025-09-01\",\"publicationTypes\":\"Journal Article\",\"fieldsOfStudy\":null,\"isOpenAccess\":false,\"openAccessPdf\":\"https://www.ncbi.nlm.nih.gov/pmc/articles/PMC12404576/pdf/\",\"citationCount\":\"0\",\"resultStr\":null,\"platform\":\"Semanticscholar\",\"paperid\":null,\"PeriodicalName\":\"International Journal of Sports Physical Therapy\",\"FirstCategoryId\":\"1085\",\"ListUrlMain\":\"https://doi.org/10.26603/001c.143374\",\"RegionNum\":0,\"RegionCategory\":null,\"ArticlePicture\":[],\"TitleCN\":null,\"AbstractTextCN\":null,\"PMCID\":null,\"EPubDate\":\"2025/1/1 0:00:00\",\"PubModel\":\"eCollection\",\"JCR\":\"Q3\",\"JCRName\":\"SPORT SCIENCES\",\"Score\":null,\"Total\":0}","platform":"Semanticscholar","paperid":null,"PeriodicalName":"International Journal of Sports Physical Therapy","FirstCategoryId":"1085","ListUrlMain":"https://doi.org/10.26603/001c.143374","RegionNum":0,"RegionCategory":null,"ArticlePicture":[],"TitleCN":null,"AbstractTextCN":null,"PMCID":null,"EPubDate":"2025/1/1 0:00:00","PubModel":"eCollection","JCR":"Q3","JCRName":"SPORT SCIENCES","Score":null,"Total":0}
引用次数: 0

摘要

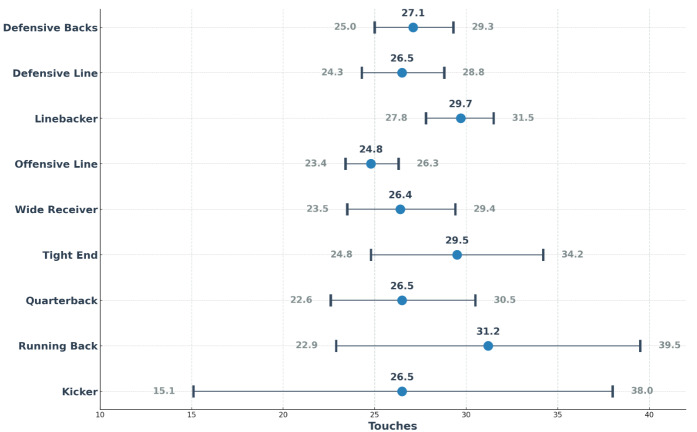
背景:闭合动力链上肢稳定性测试(CKCUEST)是一种有效和可靠的测试,通常用于重返运动测试。虽然已经确定了多种运动的参考值,但很少有人专门考虑美国大学体育协会(NCAA)的美式足球运动员。目的:为考虑体位、上肢损伤史、年级、大学橄榄球赛区等因素的NCAA橄榄球运动员提供CKCUEST的参考价值。研究设计:横断面研究。方法:从三所NCAA学校招募80名足球运动员参与本研究。收集患者的身高、体重、体位、上学年限、上肢损伤史。受试者完成了三次CKCUEST试验,并记录了他们的手段。均值比较采用方差分析和事后Bonferroni检验。采用t检验对锋线队员与所有其他位置的平均触球次数进行二次比较。Pearson相关系数评估触摸次数与受试者特征之间的关系。结果:受试者均为男性,平均受教育时间为2.5年(95% CI 2.18-2.85)。研究对象平均触摸27.3次。NCAA各赛区的球员,无论有无受伤史、在校时间或运动员统计数据,在统计上都没有显著的表现差异。线卫的触球次数显著高于进攻线卫,分别为29.7次和24.8次(p)结论:NCAA橄榄球运动员的CKCUEST触球次数为27次。至少两次触摸的变化将表明可测量的变化。体位差异应起到清场的作用,为重返赛场做好准备;具体来说,锋线队员可能比其他非锋线队员的位置产生更少的接触。证据等级:2c级:横断面研究。
本文章由计算机程序翻译,如有差异,请以英文原文为准。

Closed Kinetic Chain Upper Extremity Stability Test Reference Values for NCAA American Football.

Closed Kinetic Chain Upper Extremity Stability Test Reference Values for NCAA American Football.

Closed Kinetic Chain Upper Extremity Stability Test Reference Values for NCAA American Football.

Background: The Closed Kinetic Chain Upper Extremity Stability Test (CKCUEST) is a valid and reliable test commonly used during return to sport testing. While reference values have been determined for multiple sports, few have specifically considered National Collegiate Athletic Association (NCAA) American football players.

Purpose: To provide reference values on the CKCUEST for NCAA football players with considerations for position, history of upper extremity injury, year in school, and division of college football.

Study design: Cross-sectional study.

Methods: Eighty football players from three NCAA schools were recruited to participate in this study. Height, mass, position, year in school, and history of upper extremity injury were collected. Subjects completed three trials of the CKCUEST with their means recorded. Means were compared using ANOVA with post hoc Bonferroni tests. A T-test was used for a secondary comparison of mean touches of linemen versus all other positions. Pearson correlation coefficients assessed the relationship between number of touches and subject characteristics.

Results: Subjects were all males with a mean of 2.5 years in school (95% CI 2.18-2.85). Subjects of the study averaged 27.3 touches. There were no statistically significant performance differences between players from NCAA divisions, with/without injury history, years in school, or athlete demographics. Linebackers had significantly more touches compared to offensive linemen, 29.7 and 24.8 (p<0.03), respectively. Additionally, linemen as a group (offensive and defensive) averaged 25.7 touches, which was significantly lower compared to all other positions combined (28.1 touches, p<0.01). The minimal detectable change was 1.2 touches.

Conclusion: A reference value of 27 touches was found for the CKCUEST in NCAA football players. A change of at least two touches would indicate a measurable change. Position differences should play a role in clearance for return to sport; specifically, linemen may produce less touches than other non-lineman positions.

Level of evidence: Level 2c: Cross-sectional study.

求助全文
通过发布文献求助,成功后即可免费获取论文全文。 去求助
来源期刊
CiteScore
2.50
自引率
5.90%
发文量
124
审稿时长
16 weeks
×
引用
GB/T 7714-2015
复制
MLA
复制
APA
复制
导出至
BibTeX EndNote RefMan NoteFirst NoteExpress
×
提示
您的信息不完整,为了账户安全,请先补充。
现在去补充
×
提示
您因"违规操作"
具体请查看互助需知
我知道了
×
提示
确定
请完成安全验证×
copy
已复制链接
快去分享给好友吧!
我知道了
右上角分享
点击右上角分享
0
联系我们:info@booksci.cn Book学术提供免费学术资源搜索服务,方便国内外学者检索中英文文献。致力于提供最便捷和优质的服务体验。 Copyright © 2023 布克学术 All rights reserved.
京ICP备2023020795号-1
ghs 京公网安备 11010802042870号
Book学术文献互助
Book学术文献互助群
群 号:604180095
Book学术官方微信