一项为期6周的半监督运动训练计划对covid -19后医护人员体质和心理健康的影响:一项随机临床试验

IF 2.8 3区 医学 Q1 REHABILITATION
Feng Gao, Fei Liu, Yongfu Liu, Zhi Li, Wenjun Yu, Yuxin Xiao, Di Liu, Shuaikang Yang, Song Yuan, Junhua Wang, Shenglong Le
{"title":"一项为期6周的半监督运动训练计划对covid -19后医护人员体质和心理健康的影响:一项随机临床试验","authors":"Feng Gao, Fei Liu, Yongfu Liu, Zhi Li, Wenjun Yu, Yuxin Xiao, Di Liu, Shuaikang Yang, Song Yuan, Junhua Wang, Shenglong Le","doi":"10.1186/s13102-025-01317-w","DOIUrl":null,"url":null,"abstract":"<p><strong>Background: </strong>Healthcare workers rank among the groups that are most vulnerable to the SARS-CoV-2 infection. Deterioration in physical fitness and mental health is a common manifestation in the post-COVID-19 person, which require specific and effective treatment. This study aimed to evaluate the effects of a 6-week, semi-supervised exercise intervention on physical fitness and mental health in post-COVID-19 healthcare workers (HCWs).</p><p><strong>Methods: </strong>Fifty-four HCWs infected with SARS-CoV-2 within 3-4 weeks were randomly assigned to an exercise group or a control group. The exercise group followed a 6-week semi-supervised program with three weekly 60-80-minute sessions. Assessments included handgrip strength, sit-to-stand, push-up, curl-up, cardiorespiratory fitness, flexibility, balance, and mental health. Analyses followed intention-to-treat principles.</p><p><strong>Results: </strong>Compared with those of the control group, the push-up scores (p = 0.003, η<sub>p</sub><sup>2</sup> = 0.162), curl-up scores (p < 0.001, η<sub>p</sub><sup>2</sup> = 0.248), and maximum load of the rowing ergometer (p = 0.012, η<sub>p</sub><sup>2</sup> = 0.121) significantly increased in the exercise group. The depression (p = 0.003) and anxiety (p = 0.023) scores significantly decreased at the end of the intervention in the exercise group, although no significant differences were observed between the groups. No adverse events potentially linked to the intervention were observed.</p><p><strong>Conclusions: </strong>A six-week semi-supervised exercise training significantly improved functional muscle strength and endurance, and maximum rowing intensity in post-COVID-19 HCWs compared to controls, along with within-group reductions in depression and anxiety. No adverse events were reported. These findings suggest that exercise may be a safe and effective recovery strategy to prevent or alleviate post-COVID-19 conditions, although further research is needed to confirm long-term effectiveness and mechanisms of action.</p><p><strong>Trial registration: </strong>The study was registered in the Chinese Clinical Trial Registry (#ChiCTR2100051901) from 2021-10-09.</p>","PeriodicalId":48585,"journal":{"name":"BMC Sports Science Medicine and Rehabilitation","volume":"17 1","pages":"263"},"PeriodicalIF":2.8000,"publicationDate":"2025-09-03","publicationTypes":"Journal Article","fieldsOfStudy":null,"isOpenAccess":false,"openAccessPdf":"https://www.ncbi.nlm.nih.gov/pmc/articles/PMC12406416/pdf/","citationCount":"0","resultStr":"{\"title\":\"Effects of a 6-week semi-supervised exercise training program on physical fitness and mental health in post-COVID-19 healthcare workers: a randomized clinical trial.\",\"authors\":\"Feng Gao, Fei Liu, Yongfu Liu, Zhi Li, Wenjun Yu, Yuxin Xiao, Di Liu, Shuaikang Yang, Song Yuan, Junhua Wang, Shenglong Le\",\"doi\":\"10.1186/s13102-025-01317-w\",\"DOIUrl\":null,\"url\":null,\"abstract\":\"<p><strong>Background: </strong>Healthcare workers rank among the groups that are most vulnerable to the SARS-CoV-2 infection. Deterioration in physical fitness and mental health is a common manifestation in the post-COVID-19 person, which require specific and effective treatment. This study aimed to evaluate the effects of a 6-week, semi-supervised exercise intervention on physical fitness and mental health in post-COVID-19 healthcare workers (HCWs).</p><p><strong>Methods: </strong>Fifty-four HCWs infected with SARS-CoV-2 within 3-4 weeks were randomly assigned to an exercise group or a control group. The exercise group followed a 6-week semi-supervised program with three weekly 60-80-minute sessions. Assessments included handgrip strength, sit-to-stand, push-up, curl-up, cardiorespiratory fitness, flexibility, balance, and mental health. Analyses followed intention-to-treat principles.</p><p><strong>Results: </strong>Compared with those of the control group, the push-up scores (p = 0.003, η<sub>p</sub><sup>2</sup> = 0.162), curl-up scores (p < 0.001, η<sub>p</sub><sup>2</sup> = 0.248), and maximum load of the rowing ergometer (p = 0.012, η<sub>p</sub><sup>2</sup> = 0.121) significantly increased in the exercise group. The depression (p = 0.003) and anxiety (p = 0.023) scores significantly decreased at the end of the intervention in the exercise group, although no significant differences were observed between the groups. No adverse events potentially linked to the intervention were observed.</p><p><strong>Conclusions: </strong>A six-week semi-supervised exercise training significantly improved functional muscle strength and endurance, and maximum rowing intensity in post-COVID-19 HCWs compared to controls, along with within-group reductions in depression and anxiety. No adverse events were reported. These findings suggest that exercise may be a safe and effective recovery strategy to prevent or alleviate post-COVID-19 conditions, although further research is needed to confirm long-term effectiveness and mechanisms of action.</p><p><strong>Trial registration: </strong>The study was registered in the Chinese Clinical Trial Registry (#ChiCTR2100051901) from 2021-10-09.</p>\",\"PeriodicalId\":48585,\"journal\":{\"name\":\"BMC Sports Science Medicine and Rehabilitation\",\"volume\":\"17 1\",\"pages\":\"263\"},\"PeriodicalIF\":2.8000,\"publicationDate\":\"2025-09-03\",\"publicationTypes\":\"Journal Article\",\"fieldsOfStudy\":null,\"isOpenAccess\":false,\"openAccessPdf\":\"https://www.ncbi.nlm.nih.gov/pmc/articles/PMC12406416/pdf/\",\"citationCount\":\"0\",\"resultStr\":null,\"platform\":\"Semanticscholar\",\"paperid\":null,\"PeriodicalName\":\"BMC Sports Science Medicine and Rehabilitation\",\"FirstCategoryId\":\"3\",\"ListUrlMain\":\"https://doi.org/10.1186/s13102-025-01317-w\",\"RegionNum\":3,\"RegionCategory\":\"医学\",\"ArticlePicture\":[],\"TitleCN\":null,\"AbstractTextCN\":null,\"PMCID\":null,\"EPubDate\":\"\",\"PubModel\":\"\",\"JCR\":\"Q1\",\"JCRName\":\"REHABILITATION\",\"Score\":null,\"Total\":0}","platform":"Semanticscholar","paperid":null,"PeriodicalName":"BMC Sports Science Medicine and Rehabilitation","FirstCategoryId":"3","ListUrlMain":"https://doi.org/10.1186/s13102-025-01317-w","RegionNum":3,"RegionCategory":"医学","ArticlePicture":[],"TitleCN":null,"AbstractTextCN":null,"PMCID":null,"EPubDate":"","PubModel":"","JCR":"Q1","JCRName":"REHABILITATION","Score":null,"Total":0}
引用次数: 0

摘要

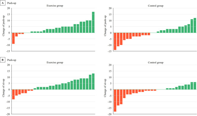
背景:医护人员是最容易感染SARS-CoV-2的人群之一。身体素质和心理健康状况的恶化是新冠肺炎后人群的普遍表现,需要针对性和有效的治疗。本研究旨在评估为期6周的半监督运动干预对covid -19后医护人员(HCWs)身体健康和心理健康的影响。方法:将54例3 ~ 4周内感染SARS-CoV-2的医护人员随机分为运动组和对照组。锻炼组遵循为期六周的半监督计划,每周进行三次60-80分钟的锻炼。评估包括握力、坐立、俯卧撑、俯卧撑、心肺健康、柔韧性、平衡和心理健康。分析遵循意向治疗原则。结果:与对照组相比,运动组俯卧撑得分(p = 0.003, ηp2 = 0.162)、卷腹得分(p = 0.248)、划船力计最大负荷(p = 0.012, ηp2 = 0.121)均显著提高。运动组抑郁(p = 0.003)和焦虑(p = 0.023)得分在干预结束时显著降低,但两组间无显著差异。未观察到与干预相关的潜在不良事件。结论:与对照组相比,为期六周的半监督运动训练显着提高了covid -19后HCWs的功能性肌肉力量和耐力,以及最大划船强度,同时组内抑郁和焦虑也有所减少。无不良事件报告。这些研究结果表明,运动可能是一种安全有效的恢复策略,可以预防或缓解covid -19后的疾病,尽管还需要进一步的研究来证实其长期有效性和作用机制。试验注册:该研究于20121-10-09在中国临床试验注册中心(#ChiCTR2100051901)注册。
本文章由计算机程序翻译,如有差异,请以英文原文为准。

Effects of a 6-week semi-supervised exercise training program on physical fitness and mental health in post-COVID-19 healthcare workers: a randomized clinical trial.

Effects of a 6-week semi-supervised exercise training program on physical fitness and mental health in post-COVID-19 healthcare workers: a randomized clinical trial.

Effects of a 6-week semi-supervised exercise training program on physical fitness and mental health in post-COVID-19 healthcare workers: a randomized clinical trial.

Effects of a 6-week semi-supervised exercise training program on physical fitness and mental health in post-COVID-19 healthcare workers: a randomized clinical trial.

Background: Healthcare workers rank among the groups that are most vulnerable to the SARS-CoV-2 infection. Deterioration in physical fitness and mental health is a common manifestation in the post-COVID-19 person, which require specific and effective treatment. This study aimed to evaluate the effects of a 6-week, semi-supervised exercise intervention on physical fitness and mental health in post-COVID-19 healthcare workers (HCWs).

Methods: Fifty-four HCWs infected with SARS-CoV-2 within 3-4 weeks were randomly assigned to an exercise group or a control group. The exercise group followed a 6-week semi-supervised program with three weekly 60-80-minute sessions. Assessments included handgrip strength, sit-to-stand, push-up, curl-up, cardiorespiratory fitness, flexibility, balance, and mental health. Analyses followed intention-to-treat principles.

Results: Compared with those of the control group, the push-up scores (p = 0.003, ηp2 = 0.162), curl-up scores (p < 0.001, ηp2 = 0.248), and maximum load of the rowing ergometer (p = 0.012, ηp2 = 0.121) significantly increased in the exercise group. The depression (p = 0.003) and anxiety (p = 0.023) scores significantly decreased at the end of the intervention in the exercise group, although no significant differences were observed between the groups. No adverse events potentially linked to the intervention were observed.

Conclusions: A six-week semi-supervised exercise training significantly improved functional muscle strength and endurance, and maximum rowing intensity in post-COVID-19 HCWs compared to controls, along with within-group reductions in depression and anxiety. No adverse events were reported. These findings suggest that exercise may be a safe and effective recovery strategy to prevent or alleviate post-COVID-19 conditions, although further research is needed to confirm long-term effectiveness and mechanisms of action.

Trial registration: The study was registered in the Chinese Clinical Trial Registry (#ChiCTR2100051901) from 2021-10-09.

求助全文
通过发布文献求助,成功后即可免费获取论文全文。 去求助
来源期刊
BMC Sports Science Medicine and Rehabilitation
BMC Sports Science Medicine and Rehabilitation Medicine-Orthopedics and Sports Medicine
CiteScore
3.00
自引率
5.30%
发文量
196
审稿时长
26 weeks
期刊介绍: BMC Sports Science, Medicine and Rehabilitation is an open access, peer reviewed journal that considers articles on all aspects of sports medicine and the exercise sciences, including rehabilitation, traumatology, cardiology, physiology, and nutrition.
×
引用
GB/T 7714-2015
复制
MLA
复制
APA
复制
导出至
BibTeX EndNote RefMan NoteFirst NoteExpress
×
提示
您的信息不完整,为了账户安全,请先补充。
现在去补充
×
提示
您因"违规操作"
具体请查看互助需知
我知道了
×
提示
确定
请完成安全验证×
copy
已复制链接
快去分享给好友吧!
我知道了
右上角分享
点击右上角分享
0
联系我们:info@booksci.cn Book学术提供免费学术资源搜索服务,方便国内外学者检索中英文文献。致力于提供最便捷和优质的服务体验。 Copyright © 2023 布克学术 All rights reserved.
京ICP备2023020795号-1
ghs 京公网安备 11010802042870号
Book学术文献互助
Book学术文献互助群
群 号:604180095
Book学术官方微信