periplocin、periplocymarin和periplogenin在肿瘤治疗中的最新进展。

IF 3.2 Q3 ONCOLOGY
Xin Sun, Xiao-Wei Shi, Lei Han, Yi-Fan Zhang, Yang Xu, Yu-Cheng Lu
{"title":"periplocin、periplocymarin和periplogenin在肿瘤治疗中的最新进展。","authors":"Xin Sun, Xiao-Wei Shi, Lei Han, Yi-Fan Zhang, Yang Xu, Yu-Cheng Lu","doi":"10.5306/wjco.v16.i8.107490","DOIUrl":null,"url":null,"abstract":"<p><p>Periplocin, periplocymarin and periplogenin are the main active components of <i>Cortex Periplocae</i>. The most cytotoxic constituent of <i>Cortex Periplocae</i>, periplocin is an alpha cardiac glycoside with a steroid core and an unsaturated five-membered lactone ring structure. Periplocymarin is a secondary alpha cardiac glycoside, which is produced by removing one molecule of glucose from periplocin, and periplogenin is the glycosidic portion and the basic unit of periplocin and periplocymarin. These three cardiac glycosides, by virtue of their unique pharmacological activities and mechanisms of action, mediate signaling pathways, mainly the retinoblastoma and p53 signaling pathways, and regulate cell cycle proteins, thereby hindering the proliferation of cancer cells and altering the cell cycle process. These glycosides also regulate caspase proteins by mediating endogenous and exogenous pathways, thereby inducing the apoptosis of cancer cells. This minireview focuses on the inhibitory effects of periplocin, periplocymarin and periplogenin on cancer, and explores their potential antitumor mechanisms.</p>","PeriodicalId":23802,"journal":{"name":"World journal of clinical oncology","volume":"16 8","pages":"107490"},"PeriodicalIF":3.2000,"publicationDate":"2025-08-24","publicationTypes":"Journal Article","fieldsOfStudy":null,"isOpenAccess":false,"openAccessPdf":"https://www.ncbi.nlm.nih.gov/pmc/articles/PMC12400237/pdf/","citationCount":"0","resultStr":"{\"title\":\"Recent progress in the use of periplocin, periplocymarin and periplogenin in cancer treatment.\",\"authors\":\"Xin Sun, Xiao-Wei Shi, Lei Han, Yi-Fan Zhang, Yang Xu, Yu-Cheng Lu\",\"doi\":\"10.5306/wjco.v16.i8.107490\",\"DOIUrl\":null,\"url\":null,\"abstract\":\"<p><p>Periplocin, periplocymarin and periplogenin are the main active components of <i>Cortex Periplocae</i>. The most cytotoxic constituent of <i>Cortex Periplocae</i>, periplocin is an alpha cardiac glycoside with a steroid core and an unsaturated five-membered lactone ring structure. Periplocymarin is a secondary alpha cardiac glycoside, which is produced by removing one molecule of glucose from periplocin, and periplogenin is the glycosidic portion and the basic unit of periplocin and periplocymarin. These three cardiac glycosides, by virtue of their unique pharmacological activities and mechanisms of action, mediate signaling pathways, mainly the retinoblastoma and p53 signaling pathways, and regulate cell cycle proteins, thereby hindering the proliferation of cancer cells and altering the cell cycle process. These glycosides also regulate caspase proteins by mediating endogenous and exogenous pathways, thereby inducing the apoptosis of cancer cells. This minireview focuses on the inhibitory effects of periplocin, periplocymarin and periplogenin on cancer, and explores their potential antitumor mechanisms.</p>\",\"PeriodicalId\":23802,\"journal\":{\"name\":\"World journal of clinical oncology\",\"volume\":\"16 8\",\"pages\":\"107490\"},\"PeriodicalIF\":3.2000,\"publicationDate\":\"2025-08-24\",\"publicationTypes\":\"Journal Article\",\"fieldsOfStudy\":null,\"isOpenAccess\":false,\"openAccessPdf\":\"https://www.ncbi.nlm.nih.gov/pmc/articles/PMC12400237/pdf/\",\"citationCount\":\"0\",\"resultStr\":null,\"platform\":\"Semanticscholar\",\"paperid\":null,\"PeriodicalName\":\"World journal of clinical oncology\",\"FirstCategoryId\":\"1085\",\"ListUrlMain\":\"https://doi.org/10.5306/wjco.v16.i8.107490\",\"RegionNum\":0,\"RegionCategory\":null,\"ArticlePicture\":[],\"TitleCN\":null,\"AbstractTextCN\":null,\"PMCID\":null,\"EPubDate\":\"\",\"PubModel\":\"\",\"JCR\":\"Q3\",\"JCRName\":\"ONCOLOGY\",\"Score\":null,\"Total\":0}","platform":"Semanticscholar","paperid":null,"PeriodicalName":"World journal of clinical oncology","FirstCategoryId":"1085","ListUrlMain":"https://doi.org/10.5306/wjco.v16.i8.107490","RegionNum":0,"RegionCategory":null,"ArticlePicture":[],"TitleCN":null,"AbstractTextCN":null,"PMCID":null,"EPubDate":"","PubModel":"","JCR":"Q3","JCRName":"ONCOLOGY","Score":null,"Total":0}
引用次数: 0

摘要

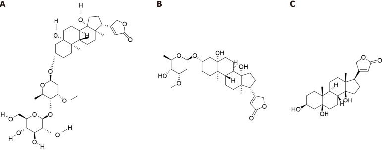
环草素、环草素和环草素是环草皮的主要活性成分。环皮苷是环皮中最具细胞毒性的成分,是一种具有类固醇核心和不饱和五元内酯环结构的α心脏糖苷。Periplocymarin是一种次生α心脏糖苷,由periplocin中去除一个葡萄糖分子而产生,periplogenin是periplocin和Periplocymarin的糖苷部分和基本单位。这三种心苷以其独特的药理活性和作用机制,介导信号通路,主要是视网膜母细胞瘤和p53信号通路,调节细胞周期蛋白,从而阻碍癌细胞的增殖,改变细胞周期过程。这些糖苷还通过介导内源性和外源性途径调节caspase蛋白,从而诱导癌细胞凋亡。本文主要综述了periplocin、periplocymarin和periplogenin对肿瘤的抑制作用,并探讨了它们潜在的抗肿瘤机制。
本文章由计算机程序翻译,如有差异,请以英文原文为准。

Recent progress in the use of periplocin, periplocymarin and periplogenin in cancer treatment.

Recent progress in the use of periplocin, periplocymarin and periplogenin in cancer treatment.

Periplocin, periplocymarin and periplogenin are the main active components of Cortex Periplocae. The most cytotoxic constituent of Cortex Periplocae, periplocin is an alpha cardiac glycoside with a steroid core and an unsaturated five-membered lactone ring structure. Periplocymarin is a secondary alpha cardiac glycoside, which is produced by removing one molecule of glucose from periplocin, and periplogenin is the glycosidic portion and the basic unit of periplocin and periplocymarin. These three cardiac glycosides, by virtue of their unique pharmacological activities and mechanisms of action, mediate signaling pathways, mainly the retinoblastoma and p53 signaling pathways, and regulate cell cycle proteins, thereby hindering the proliferation of cancer cells and altering the cell cycle process. These glycosides also regulate caspase proteins by mediating endogenous and exogenous pathways, thereby inducing the apoptosis of cancer cells. This minireview focuses on the inhibitory effects of periplocin, periplocymarin and periplogenin on cancer, and explores their potential antitumor mechanisms.

求助全文
通过发布文献求助,成功后即可免费获取论文全文。 去求助
来源期刊
自引率
0.00%
发文量
585
期刊介绍: The WJCO is a high-quality, peer reviewed, open-access journal. The primary task of WJCO is to rapidly publish high-quality original articles, reviews, editorials, and case reports in the field of oncology. In order to promote productive academic communication, the peer review process for the WJCO is transparent; to this end, all published manuscripts are accompanied by the anonymized reviewers’ comments as well as the authors’ responses. The primary aims of the WJCO are to improve diagnostic, therapeutic and preventive modalities and the skills of clinicians and to guide clinical practice in oncology. Scope: Art of Oncology, Biology of Neoplasia, Breast Cancer, Cancer Prevention and Control, Cancer-Related Complications, Diagnosis in Oncology, Gastrointestinal Cancer, Genetic Testing For Cancer, Gynecologic Cancer, Head and Neck Cancer, Hematologic Malignancy, Lung Cancer, Melanoma, Molecular Oncology, Neurooncology, Palliative and Supportive Care, Pediatric Oncology, Surgical Oncology, Translational Oncology, and Urologic Oncology.
×
引用
GB/T 7714-2015
复制
MLA
复制
APA
复制
导出至
BibTeX EndNote RefMan NoteFirst NoteExpress
×
提示
您的信息不完整,为了账户安全,请先补充。
现在去补充
×
提示
您因"违规操作"
具体请查看互助需知
我知道了
×
提示
确定
请完成安全验证×
copy
已复制链接
快去分享给好友吧!
我知道了
右上角分享
点击右上角分享
0
联系我们:info@booksci.cn Book学术提供免费学术资源搜索服务,方便国内外学者检索中英文文献。致力于提供最便捷和优质的服务体验。 Copyright © 2023 布克学术 All rights reserved.
京ICP备2023020795号-1
ghs 京公网安备 11010802042870号
Book学术文献互助
Book学术文献互助群
群 号:604180095
Book学术官方微信