黎巴嫩孕妇维生素D不足:患病率和主要预测因素

IF 3.4 2区 医学 Q1 PUBLIC, ENVIRONMENTAL & OCCUPATIONAL HEALTH
Sara Ajjour, Marlene Chakhtoura, Anwar Nassar, Mariam Assaad, Maya Rahme, Cyrus Cooper, Nicholas Harvey, Nawal Tfaily, Taghried Diab, Rihab Al-Tayeh, Ghada El-Hajj Fuleihan
{"title":"黎巴嫩孕妇维生素D不足:患病率和主要预测因素","authors":"Sara Ajjour, Marlene Chakhtoura, Anwar Nassar, Mariam Assaad, Maya Rahme, Cyrus Cooper, Nicholas Harvey, Nawal Tfaily, Taghried Diab, Rihab Al-Tayeh, Ghada El-Hajj Fuleihan","doi":"10.1186/s12978-025-02028-8","DOIUrl":null,"url":null,"abstract":"<p><strong>Background: </strong>Suboptimal 25-hydroxyvitamin D (25OHD) during pregnancy can have adverse maternal and neonatal outcomes.</p><p><strong>Aim: </strong>This study aimed to estimate the prevalence of vitamin D deficiency in pregnant females in Lebanon and to identify its risk factors.</p><p><strong>Methods: </strong>This is a cross-sectional study involving pregnant females identified during their first-early second trimester visit to obstetricians in two centers in Beirut. We collected blood samples, anthropometric measurements and lifestyle data. We measured maternal serum 25OHD and used the data to explore possible determinants of deficiency.</p><p><strong>Results: </strong>We tested 25OHD levels of 548 females; 270 from American University of Beirut Medical Center and 278 from Bahman hospital. Mean age was 29 ± 5 years and 41.5% were nulliparous. Mean serum 25OHD was 15.4ng/ml and 72.3% had levels < 20 ng/ml. Levels were significantly lower at Bahman hospital, 12.9ng/ml versus 18.1ng/ml at American University of Beirut Medical Center, p-value 0.001. The risk of having 25OHD < 20ng/ml was significantly higher in females from Bahman hospital, those who were veiled, those who smoked and had higher pre-pregnancy body mass index, with a trend for significance for early pregnancy body mass index. This risk decreased for older females, those with higher education, employed females, and those screened during summer/fall. Multivariable logistic regression showed that veiling and younger age were significant risk factors for 25OHD < 20 ng/ml.</p><p><strong>Conclusion: </strong>Vitamin D deficiency is prevalent in pregnant females from two centers in Beirut. Our findings emphasize the importance of proper screening and supplementation of vitamin D to ensure adequacy throughout pregnancy.</p>","PeriodicalId":20899,"journal":{"name":"Reproductive Health","volume":"22 1","pages":"158"},"PeriodicalIF":3.4000,"publicationDate":"2025-09-03","publicationTypes":"Journal Article","fieldsOfStudy":null,"isOpenAccess":false,"openAccessPdf":"https://www.ncbi.nlm.nih.gov/pmc/articles/PMC12406351/pdf/","citationCount":"0","resultStr":"{\"title\":\"Vitamin D insufficiency in pregnant women from Lebanon: prevalence and key predictors.\",\"authors\":\"Sara Ajjour, Marlene Chakhtoura, Anwar Nassar, Mariam Assaad, Maya Rahme, Cyrus Cooper, Nicholas Harvey, Nawal Tfaily, Taghried Diab, Rihab Al-Tayeh, Ghada El-Hajj Fuleihan\",\"doi\":\"10.1186/s12978-025-02028-8\",\"DOIUrl\":null,\"url\":null,\"abstract\":\"<p><strong>Background: </strong>Suboptimal 25-hydroxyvitamin D (25OHD) during pregnancy can have adverse maternal and neonatal outcomes.</p><p><strong>Aim: </strong>This study aimed to estimate the prevalence of vitamin D deficiency in pregnant females in Lebanon and to identify its risk factors.</p><p><strong>Methods: </strong>This is a cross-sectional study involving pregnant females identified during their first-early second trimester visit to obstetricians in two centers in Beirut. We collected blood samples, anthropometric measurements and lifestyle data. We measured maternal serum 25OHD and used the data to explore possible determinants of deficiency.</p><p><strong>Results: </strong>We tested 25OHD levels of 548 females; 270 from American University of Beirut Medical Center and 278 from Bahman hospital. Mean age was 29 ± 5 years and 41.5% were nulliparous. Mean serum 25OHD was 15.4ng/ml and 72.3% had levels < 20 ng/ml. Levels were significantly lower at Bahman hospital, 12.9ng/ml versus 18.1ng/ml at American University of Beirut Medical Center, p-value 0.001. The risk of having 25OHD < 20ng/ml was significantly higher in females from Bahman hospital, those who were veiled, those who smoked and had higher pre-pregnancy body mass index, with a trend for significance for early pregnancy body mass index. This risk decreased for older females, those with higher education, employed females, and those screened during summer/fall. Multivariable logistic regression showed that veiling and younger age were significant risk factors for 25OHD < 20 ng/ml.</p><p><strong>Conclusion: </strong>Vitamin D deficiency is prevalent in pregnant females from two centers in Beirut. Our findings emphasize the importance of proper screening and supplementation of vitamin D to ensure adequacy throughout pregnancy.</p>\",\"PeriodicalId\":20899,\"journal\":{\"name\":\"Reproductive Health\",\"volume\":\"22 1\",\"pages\":\"158\"},\"PeriodicalIF\":3.4000,\"publicationDate\":\"2025-09-03\",\"publicationTypes\":\"Journal Article\",\"fieldsOfStudy\":null,\"isOpenAccess\":false,\"openAccessPdf\":\"https://www.ncbi.nlm.nih.gov/pmc/articles/PMC12406351/pdf/\",\"citationCount\":\"0\",\"resultStr\":null,\"platform\":\"Semanticscholar\",\"paperid\":null,\"PeriodicalName\":\"Reproductive Health\",\"FirstCategoryId\":\"3\",\"ListUrlMain\":\"https://doi.org/10.1186/s12978-025-02028-8\",\"RegionNum\":2,\"RegionCategory\":\"医学\",\"ArticlePicture\":[],\"TitleCN\":null,\"AbstractTextCN\":null,\"PMCID\":null,\"EPubDate\":\"\",\"PubModel\":\"\",\"JCR\":\"Q1\",\"JCRName\":\"PUBLIC, ENVIRONMENTAL & OCCUPATIONAL HEALTH\",\"Score\":null,\"Total\":0}","platform":"Semanticscholar","paperid":null,"PeriodicalName":"Reproductive Health","FirstCategoryId":"3","ListUrlMain":"https://doi.org/10.1186/s12978-025-02028-8","RegionNum":2,"RegionCategory":"医学","ArticlePicture":[],"TitleCN":null,"AbstractTextCN":null,"PMCID":null,"EPubDate":"","PubModel":"","JCR":"Q1","JCRName":"PUBLIC, ENVIRONMENTAL & OCCUPATIONAL HEALTH","Score":null,"Total":0}
引用次数: 0

摘要

背景:怀孕期间25-羟基维生素D (25OHD)不理想可导致不良的孕产妇和新生儿结局。目的:本研究旨在估计黎巴嫩孕妇维生素D缺乏症的患病率,并确定其危险因素。方法:这是一项横断面研究,涉及在贝鲁特两个中心产科医生的妊娠早期和中期访问期间确定的孕妇。我们收集了血液样本、人体测量数据和生活方式数据。我们测量了母体血清25OHD,并使用数据来探索可能的缺陷决定因素。结果:我们检测了548名女性25OHD水平;贝鲁特美国大学医学中心270例,巴曼医院278例。平均年龄29±5岁,无产率为41.5%。结论:贝鲁特两个中心孕妇普遍存在维生素D缺乏症。我们的研究结果强调了适当筛查和补充维生素D的重要性,以确保在整个怀孕期间充足。
本文章由计算机程序翻译,如有差异,请以英文原文为准。

Vitamin D insufficiency in pregnant women from Lebanon: prevalence and key predictors.

Vitamin D insufficiency in pregnant women from Lebanon: prevalence and key predictors.

Background: Suboptimal 25-hydroxyvitamin D (25OHD) during pregnancy can have adverse maternal and neonatal outcomes.

Aim: This study aimed to estimate the prevalence of vitamin D deficiency in pregnant females in Lebanon and to identify its risk factors.

Methods: This is a cross-sectional study involving pregnant females identified during their first-early second trimester visit to obstetricians in two centers in Beirut. We collected blood samples, anthropometric measurements and lifestyle data. We measured maternal serum 25OHD and used the data to explore possible determinants of deficiency.

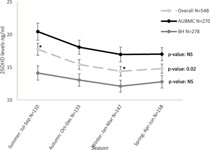
Results: We tested 25OHD levels of 548 females; 270 from American University of Beirut Medical Center and 278 from Bahman hospital. Mean age was 29 ± 5 years and 41.5% were nulliparous. Mean serum 25OHD was 15.4ng/ml and 72.3% had levels < 20 ng/ml. Levels were significantly lower at Bahman hospital, 12.9ng/ml versus 18.1ng/ml at American University of Beirut Medical Center, p-value 0.001. The risk of having 25OHD < 20ng/ml was significantly higher in females from Bahman hospital, those who were veiled, those who smoked and had higher pre-pregnancy body mass index, with a trend for significance for early pregnancy body mass index. This risk decreased for older females, those with higher education, employed females, and those screened during summer/fall. Multivariable logistic regression showed that veiling and younger age were significant risk factors for 25OHD < 20 ng/ml.

Conclusion: Vitamin D deficiency is prevalent in pregnant females from two centers in Beirut. Our findings emphasize the importance of proper screening and supplementation of vitamin D to ensure adequacy throughout pregnancy.

求助全文
通过发布文献求助,成功后即可免费获取论文全文。 去求助
来源期刊
Reproductive Health
Reproductive Health PUBLIC, ENVIRONMENTAL & OCCUPATIONAL HEALTH-
CiteScore
6.00
自引率
5.90%
发文量
220
审稿时长
>12 weeks
期刊介绍: Reproductive Health focuses on all aspects of human reproduction. The journal includes sections dedicated to adolescent health, female fertility and midwifery and all content is open access. Reproductive health is defined as a state of physical, mental, and social well-being in all matters relating to the reproductive system, at all stages of life. Good reproductive health implies that people are able to have a satisfying and safe sex life, the capability to reproduce and the freedom to decide if, when, and how often to do so. Men and women should be informed about and have access to safe, effective, affordable, and acceptable methods of family planning of their choice, and the right to appropriate health-care services that enable women to safely go through pregnancy and childbirth.
×
引用
GB/T 7714-2015
复制
MLA
复制
APA
复制
导出至
BibTeX EndNote RefMan NoteFirst NoteExpress
×
提示
您的信息不完整,为了账户安全,请先补充。
现在去补充
×
提示
您因"违规操作"
具体请查看互助需知
我知道了
×
提示
确定
请完成安全验证×
copy
已复制链接
快去分享给好友吧!
我知道了
右上角分享
点击右上角分享
0
联系我们:info@booksci.cn Book学术提供免费学术资源搜索服务,方便国内外学者检索中英文文献。致力于提供最便捷和优质的服务体验。 Copyright © 2023 布克学术 All rights reserved.
京ICP备2023020795号-1
ghs 京公网安备 11010802042870号
Book学术文献互助
Book学术文献互助群
群 号:604180095
Book学术官方微信