铁状态与糖尿病患者肾功能和糖尿病肾病的因果关系:一项两样本孟德尔随机研究。

IF 3.4 3区 医学 Q2 ENDOCRINOLOGY & METABOLISM
Journal of Diabetes Research Pub Date : 2025-07-30 eCollection Date: 2025-01-01 DOI:10.1155/jdr/6658794
Ying Zhang, Wujian Peng, Jianrong Huang, Wenchang Zhang, Peishan Jiang, Yuqin He, Meiyun Wang
{"title":"铁状态与糖尿病患者肾功能和糖尿病肾病的因果关系:一项两样本孟德尔随机研究。","authors":"Ying Zhang, Wujian Peng, Jianrong Huang, Wenchang Zhang, Peishan Jiang, Yuqin He, Meiyun Wang","doi":"10.1155/jdr/6658794","DOIUrl":null,"url":null,"abstract":"<p><p>This study was to explore the causal effect of iron status on renal function and the risk of diabetic nephropathy in diabetic patients. The data on exposures including ferritin, serum iron, transferrin saturation (TSAT), and total iron-binding capacity (TIBC) were obtained from a genome-wide association study (GWAS). The outcomes were diabetic nephropathy, Type 1 diabetes mellitus (T1DM) with renal complications, Type 2 diabetes mellitus (T2DM) with renal complications, estimated glomerular filtration rate (creatinine) (eGFRcrea) in diabetes mellitus, and urinary albumin-to-creatinine ratio (UACR) in diabetes mellitus. The causal associations of exposures and outcomes were analyzed using MR analysis with the inverse variance-weighted (IVW) method as the primary analytical method. Leave-one-out analysis was utilized to find any individual SNP associated with exposures influencing outcomes. Odds ratio (OR) and 95% confidence interval (95% CI) were estimated. The <i>F</i> values of all the SNPs were > 10, indicating a sufficient strength of the instrumental variables. The results from pleiotropy analysis indicated that most SNPs showed no horizontal pleiotropy (<i>p</i> > 0.05). The ferritin level had a causal effect on decreased eGFRcrea level in diabetes mellitus patients (OR = 0.937, 95% CI: 0.887-0.990) and increased risk of T1DM with renal complications (OR = 1.783, 95% CI: 1.005-3.162). TIBC level was causally associated with decreased risk of diabetic nephropathy (OR = 0.864, 95% CI: 0.771-0.968) and T1DM with renal complications (OR = 0.743, 95% CI: 0.603-0.916). Ferritin level had a causal effect on eGFRcrea level in diabetes mellitus patients and T1DM with renal complications. In conclusion, TIBC levels are causally linked to a lower risk of both diabetic nephropathy and T1DM with renal complications. The findings might provide a reference for using TIBC levels as a biomarker for prevention and treatment of diabetic nephropathy in the future. As the study was an MR analysis based on gene, the value of TIBC levels still should be validated in large prospective trials.</p>","PeriodicalId":15576,"journal":{"name":"Journal of Diabetes Research","volume":"2025 ","pages":"6658794"},"PeriodicalIF":3.4000,"publicationDate":"2025-07-30","publicationTypes":"Journal Article","fieldsOfStudy":null,"isOpenAccess":false,"openAccessPdf":"https://www.ncbi.nlm.nih.gov/pmc/articles/PMC12401605/pdf/","citationCount":"0","resultStr":"{\"title\":\"Causal Associations of Iron Status With the Renal Function and Diabetic Nephropathy in Patients With Diabetes Mellitus: A Two-Sample Mendelian Randomization Study.\",\"authors\":\"Ying Zhang, Wujian Peng, Jianrong Huang, Wenchang Zhang, Peishan Jiang, Yuqin He, Meiyun Wang\",\"doi\":\"10.1155/jdr/6658794\",\"DOIUrl\":null,\"url\":null,\"abstract\":\"<p><p>This study was to explore the causal effect of iron status on renal function and the risk of diabetic nephropathy in diabetic patients. The data on exposures including ferritin, serum iron, transferrin saturation (TSAT), and total iron-binding capacity (TIBC) were obtained from a genome-wide association study (GWAS). The outcomes were diabetic nephropathy, Type 1 diabetes mellitus (T1DM) with renal complications, Type 2 diabetes mellitus (T2DM) with renal complications, estimated glomerular filtration rate (creatinine) (eGFRcrea) in diabetes mellitus, and urinary albumin-to-creatinine ratio (UACR) in diabetes mellitus. The causal associations of exposures and outcomes were analyzed using MR analysis with the inverse variance-weighted (IVW) method as the primary analytical method. Leave-one-out analysis was utilized to find any individual SNP associated with exposures influencing outcomes. Odds ratio (OR) and 95% confidence interval (95% CI) were estimated. The <i>F</i> values of all the SNPs were > 10, indicating a sufficient strength of the instrumental variables. The results from pleiotropy analysis indicated that most SNPs showed no horizontal pleiotropy (<i>p</i> > 0.05). The ferritin level had a causal effect on decreased eGFRcrea level in diabetes mellitus patients (OR = 0.937, 95% CI: 0.887-0.990) and increased risk of T1DM with renal complications (OR = 1.783, 95% CI: 1.005-3.162). TIBC level was causally associated with decreased risk of diabetic nephropathy (OR = 0.864, 95% CI: 0.771-0.968) and T1DM with renal complications (OR = 0.743, 95% CI: 0.603-0.916). Ferritin level had a causal effect on eGFRcrea level in diabetes mellitus patients and T1DM with renal complications. In conclusion, TIBC levels are causally linked to a lower risk of both diabetic nephropathy and T1DM with renal complications. The findings might provide a reference for using TIBC levels as a biomarker for prevention and treatment of diabetic nephropathy in the future. As the study was an MR analysis based on gene, the value of TIBC levels still should be validated in large prospective trials.</p>\",\"PeriodicalId\":15576,\"journal\":{\"name\":\"Journal of Diabetes Research\",\"volume\":\"2025 \",\"pages\":\"6658794\"},\"PeriodicalIF\":3.4000,\"publicationDate\":\"2025-07-30\",\"publicationTypes\":\"Journal Article\",\"fieldsOfStudy\":null,\"isOpenAccess\":false,\"openAccessPdf\":\"https://www.ncbi.nlm.nih.gov/pmc/articles/PMC12401605/pdf/\",\"citationCount\":\"0\",\"resultStr\":null,\"platform\":\"Semanticscholar\",\"paperid\":null,\"PeriodicalName\":\"Journal of Diabetes Research\",\"FirstCategoryId\":\"3\",\"ListUrlMain\":\"https://doi.org/10.1155/jdr/6658794\",\"RegionNum\":3,\"RegionCategory\":\"医学\",\"ArticlePicture\":[],\"TitleCN\":null,\"AbstractTextCN\":null,\"PMCID\":null,\"EPubDate\":\"2025/1/1 0:00:00\",\"PubModel\":\"eCollection\",\"JCR\":\"Q2\",\"JCRName\":\"ENDOCRINOLOGY & METABOLISM\",\"Score\":null,\"Total\":0}","platform":"Semanticscholar","paperid":null,"PeriodicalName":"Journal of Diabetes Research","FirstCategoryId":"3","ListUrlMain":"https://doi.org/10.1155/jdr/6658794","RegionNum":3,"RegionCategory":"医学","ArticlePicture":[],"TitleCN":null,"AbstractTextCN":null,"PMCID":null,"EPubDate":"2025/1/1 0:00:00","PubModel":"eCollection","JCR":"Q2","JCRName":"ENDOCRINOLOGY & METABOLISM","Score":null,"Total":0}
引用次数: 0

摘要

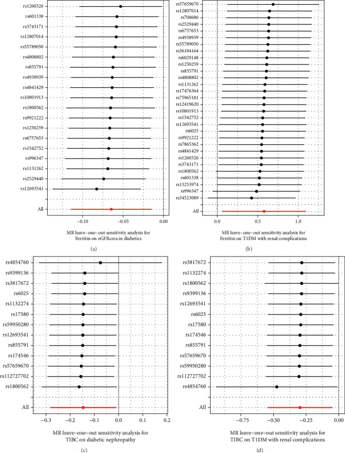
本研究旨在探讨铁状态对糖尿病患者肾功能及糖尿病肾病风险的因果关系。暴露数据包括铁蛋白、血清铁、转铁蛋白饱和度(TSAT)和总铁结合能力(TIBC),这些数据来自全基因组关联研究(GWAS)。结果为糖尿病肾病、1型糖尿病(T1DM)合并肾脏并发症、2型糖尿病(T2DM)合并肾脏并发症、糖尿病患者肾小球滤过率(肌酐)(eGFRcrea)和糖尿病患者尿白蛋白/肌酐比值(UACR)。使用磁共振分析,以逆方差加权(IVW)方法作为主要分析方法,分析暴露与结果的因果关系。使用留一分析来发现任何与影响结果的暴露相关的个体SNP。估计优势比(OR)和95%置信区间(95% CI)。所有snp的F值均为bbb10,表明工具变量的强度足够。多效性分析结果显示,多数snp不存在水平多效性(p < 0.05)。铁蛋白水平与糖尿病患者eGFRcrea水平降低(OR = 0.937, 95% CI: 0.887-0.990)和T1DM合并肾脏并发症的风险增加(OR = 1.783, 95% CI: 1.005-3.162)有因果关系。TIBC水平与糖尿病肾病(OR = 0.864, 95% CI: 0.771-0.968)和T1DM合并肾脏并发症(OR = 0.743, 95% CI: 0.603-0.916)的风险降低有因果关系。铁蛋白水平对糖尿病和合并肾脏并发症的T1DM患者eGFRcrea水平有因果影响。总之,TIBC水平与糖尿病肾病和T1DM合并肾脏并发症的风险降低有因果关系。研究结果可为今后将TIBC水平作为预防和治疗糖尿病肾病的生物标志物提供参考。由于该研究是基于基因的MR分析,因此TIBC水平的价值仍需在大型前瞻性试验中得到验证。
本文章由计算机程序翻译,如有差异,请以英文原文为准。

Causal Associations of Iron Status With the Renal Function and Diabetic Nephropathy in Patients With Diabetes Mellitus: A Two-Sample Mendelian Randomization Study.

Causal Associations of Iron Status With the Renal Function and Diabetic Nephropathy in Patients With Diabetes Mellitus: A Two-Sample Mendelian Randomization Study.

Causal Associations of Iron Status With the Renal Function and Diabetic Nephropathy in Patients With Diabetes Mellitus: A Two-Sample Mendelian Randomization Study.

Causal Associations of Iron Status With the Renal Function and Diabetic Nephropathy in Patients With Diabetes Mellitus: A Two-Sample Mendelian Randomization Study.

This study was to explore the causal effect of iron status on renal function and the risk of diabetic nephropathy in diabetic patients. The data on exposures including ferritin, serum iron, transferrin saturation (TSAT), and total iron-binding capacity (TIBC) were obtained from a genome-wide association study (GWAS). The outcomes were diabetic nephropathy, Type 1 diabetes mellitus (T1DM) with renal complications, Type 2 diabetes mellitus (T2DM) with renal complications, estimated glomerular filtration rate (creatinine) (eGFRcrea) in diabetes mellitus, and urinary albumin-to-creatinine ratio (UACR) in diabetes mellitus. The causal associations of exposures and outcomes were analyzed using MR analysis with the inverse variance-weighted (IVW) method as the primary analytical method. Leave-one-out analysis was utilized to find any individual SNP associated with exposures influencing outcomes. Odds ratio (OR) and 95% confidence interval (95% CI) were estimated. The F values of all the SNPs were > 10, indicating a sufficient strength of the instrumental variables. The results from pleiotropy analysis indicated that most SNPs showed no horizontal pleiotropy (p > 0.05). The ferritin level had a causal effect on decreased eGFRcrea level in diabetes mellitus patients (OR = 0.937, 95% CI: 0.887-0.990) and increased risk of T1DM with renal complications (OR = 1.783, 95% CI: 1.005-3.162). TIBC level was causally associated with decreased risk of diabetic nephropathy (OR = 0.864, 95% CI: 0.771-0.968) and T1DM with renal complications (OR = 0.743, 95% CI: 0.603-0.916). Ferritin level had a causal effect on eGFRcrea level in diabetes mellitus patients and T1DM with renal complications. In conclusion, TIBC levels are causally linked to a lower risk of both diabetic nephropathy and T1DM with renal complications. The findings might provide a reference for using TIBC levels as a biomarker for prevention and treatment of diabetic nephropathy in the future. As the study was an MR analysis based on gene, the value of TIBC levels still should be validated in large prospective trials.

求助全文
通过发布文献求助,成功后即可免费获取论文全文。 去求助
来源期刊
Journal of Diabetes Research
Journal of Diabetes Research ENDOCRINOLOGY & METABOLISM-MEDICINE, RESEARCH & EXPERIMENTAL
CiteScore
8.40
自引率
2.30%
发文量
152
审稿时长
14 weeks
期刊介绍: Journal of Diabetes Research is a peer-reviewed, Open Access journal that publishes research articles, review articles, and clinical studies related to type 1 and type 2 diabetes. The journal welcomes submissions focusing on the epidemiology, etiology, pathogenesis, management, and prevention of diabetes, as well as associated complications, such as diabetic retinopathy, neuropathy and nephropathy.
×
引用
GB/T 7714-2015
复制
MLA
复制
APA
复制
导出至
BibTeX EndNote RefMan NoteFirst NoteExpress
×
提示
您的信息不完整,为了账户安全,请先补充。
现在去补充
×
提示
您因"违规操作"
具体请查看互助需知
我知道了
×
提示
确定
请完成安全验证×
copy
已复制链接
快去分享给好友吧!
我知道了
右上角分享
点击右上角分享
0
联系我们:info@booksci.cn Book学术提供免费学术资源搜索服务,方便国内外学者检索中英文文献。致力于提供最便捷和优质的服务体验。 Copyright © 2023 布克学术 All rights reserved.
京ICP备2023020795号-1
ghs 京公网安备 11010802042870号
Book学术文献互助
Book学术文献互助群
群 号:604180095
Book学术官方微信