中老年人群的睡眠类型与高血压和代谢参数的关系:一项横断面研究。

IF 3.4 2区 医学 Q2 CLINICAL NEUROLOGY
Nature and Science of Sleep Pub Date : 2025-08-27 eCollection Date: 2025-01-01 DOI:10.2147/NSS.S540364
Ming-Jun Hu, Wen-Wen Hu, Bei Yao, Xiao-Min Dong, Xue-Li Wang, Dan Su, Gui-Qi Song, Yong-Liang Zhang
{"title":"中老年人群的睡眠类型与高血压和代谢参数的关系:一项横断面研究。","authors":"Ming-Jun Hu, Wen-Wen Hu, Bei Yao, Xiao-Min Dong, Xue-Li Wang, Dan Su, Gui-Qi Song, Yong-Liang Zhang","doi":"10.2147/NSS.S540364","DOIUrl":null,"url":null,"abstract":"<p><strong>Purpose: </strong>Chronotype can be used to describe individual's circadian preference in behavioral and circadian rhythm, representing the preferences for earlier or later sleep times. This study aimed to investigate the association of chronotype with hypertension and metabolic parameters in middle-aged and older adults.</p><p><strong>Patients and methods: </strong>A total of 945 participants were recruited from December 2023 to December 2024 at First Affiliated Hospital of University of Science and Technology of China. Chronotype was determined using the full Morningness-Eveningness Questionnaire, with higher scores indicating preference for morning chronotype. Chronotype was dichotomized at the median score in current cohort, classifying 447 participants as morning chronotypes and 498 as evening chronotypes. Anthropometric measurements and biochemical analyses were also conducted. Multivariable logistic, linear regression, and restricted cubic spline (RCS) analyses were employed to evaluate association between chronotype, metabolic parameters, and hypertension.</p><p><strong>Results: </strong>After adjustment for covariates, evening chronotype was significantly associated with hypertension risk (OR = 1.60, 95% CI: 1.17-2.17), compared with morning chronotype. The RCS analysis suggested a significant nonlinearity association between chronotype score and hypertension (<i>P</i> for nonlinear = 0.047). Furthermore, higher chronotype score was significantly associated with decreased levels of total cholesterol [TC, β (95% CI): -0.12 (-0.19, -0.04)], low-density lipoprotein-cholesterol [LDL-C, β (95% CI): -0.21 (-0.33, -0.08)] and serum uric acid [SUA, β (95% CI): -0.09 (-0.18, -0.01)], but with increased levels of aspartate aminotransferase [AST, β (95% CI): 0.16 (0.05, 0.27)]. In discrimination model, chronotype was associated with hypertension independently of TC, SUA, alanine transaminase, and alkaline phosphatase, with model's AUC of 0.779 (95% CI: 0.749-0.808).</p><p><strong>Conclusion: </strong>In middle-aged and older adults, preference for morning chronotype was associated with decreased levels of TC, LDL-C, and SUA, but with increased levels of AST. Moreover, evening chronotype was significantly independently associated with increased risk of hypertension.</p>","PeriodicalId":18896,"journal":{"name":"Nature and Science of Sleep","volume":"17 ","pages":"1985-1995"},"PeriodicalIF":3.4000,"publicationDate":"2025-08-27","publicationTypes":"Journal Article","fieldsOfStudy":null,"isOpenAccess":false,"openAccessPdf":"https://www.ncbi.nlm.nih.gov/pmc/articles/PMC12399889/pdf/","citationCount":"0","resultStr":"{\"title\":\"Association of Chronotype with Hypertension and Metabolic Parameters in Middle-Aged and Older Adults: A Cross-Sectional Study.\",\"authors\":\"Ming-Jun Hu, Wen-Wen Hu, Bei Yao, Xiao-Min Dong, Xue-Li Wang, Dan Su, Gui-Qi Song, Yong-Liang Zhang\",\"doi\":\"10.2147/NSS.S540364\",\"DOIUrl\":null,\"url\":null,\"abstract\":\"<p><strong>Purpose: </strong>Chronotype can be used to describe individual's circadian preference in behavioral and circadian rhythm, representing the preferences for earlier or later sleep times. This study aimed to investigate the association of chronotype with hypertension and metabolic parameters in middle-aged and older adults.</p><p><strong>Patients and methods: </strong>A total of 945 participants were recruited from December 2023 to December 2024 at First Affiliated Hospital of University of Science and Technology of China. Chronotype was determined using the full Morningness-Eveningness Questionnaire, with higher scores indicating preference for morning chronotype. Chronotype was dichotomized at the median score in current cohort, classifying 447 participants as morning chronotypes and 498 as evening chronotypes. Anthropometric measurements and biochemical analyses were also conducted. Multivariable logistic, linear regression, and restricted cubic spline (RCS) analyses were employed to evaluate association between chronotype, metabolic parameters, and hypertension.</p><p><strong>Results: </strong>After adjustment for covariates, evening chronotype was significantly associated with hypertension risk (OR = 1.60, 95% CI: 1.17-2.17), compared with morning chronotype. The RCS analysis suggested a significant nonlinearity association between chronotype score and hypertension (<i>P</i> for nonlinear = 0.047). Furthermore, higher chronotype score was significantly associated with decreased levels of total cholesterol [TC, β (95% CI): -0.12 (-0.19, -0.04)], low-density lipoprotein-cholesterol [LDL-C, β (95% CI): -0.21 (-0.33, -0.08)] and serum uric acid [SUA, β (95% CI): -0.09 (-0.18, -0.01)], but with increased levels of aspartate aminotransferase [AST, β (95% CI): 0.16 (0.05, 0.27)]. In discrimination model, chronotype was associated with hypertension independently of TC, SUA, alanine transaminase, and alkaline phosphatase, with model's AUC of 0.779 (95% CI: 0.749-0.808).</p><p><strong>Conclusion: </strong>In middle-aged and older adults, preference for morning chronotype was associated with decreased levels of TC, LDL-C, and SUA, but with increased levels of AST. Moreover, evening chronotype was significantly independently associated with increased risk of hypertension.</p>\",\"PeriodicalId\":18896,\"journal\":{\"name\":\"Nature and Science of Sleep\",\"volume\":\"17 \",\"pages\":\"1985-1995\"},\"PeriodicalIF\":3.4000,\"publicationDate\":\"2025-08-27\",\"publicationTypes\":\"Journal Article\",\"fieldsOfStudy\":null,\"isOpenAccess\":false,\"openAccessPdf\":\"https://www.ncbi.nlm.nih.gov/pmc/articles/PMC12399889/pdf/\",\"citationCount\":\"0\",\"resultStr\":null,\"platform\":\"Semanticscholar\",\"paperid\":null,\"PeriodicalName\":\"Nature and Science of Sleep\",\"FirstCategoryId\":\"3\",\"ListUrlMain\":\"https://doi.org/10.2147/NSS.S540364\",\"RegionNum\":2,\"RegionCategory\":\"医学\",\"ArticlePicture\":[],\"TitleCN\":null,\"AbstractTextCN\":null,\"PMCID\":null,\"EPubDate\":\"2025/1/1 0:00:00\",\"PubModel\":\"eCollection\",\"JCR\":\"Q2\",\"JCRName\":\"CLINICAL NEUROLOGY\",\"Score\":null,\"Total\":0}","platform":"Semanticscholar","paperid":null,"PeriodicalName":"Nature and Science of Sleep","FirstCategoryId":"3","ListUrlMain":"https://doi.org/10.2147/NSS.S540364","RegionNum":2,"RegionCategory":"医学","ArticlePicture":[],"TitleCN":null,"AbstractTextCN":null,"PMCID":null,"EPubDate":"2025/1/1 0:00:00","PubModel":"eCollection","JCR":"Q2","JCRName":"CLINICAL NEUROLOGY","Score":null,"Total":0}
引用次数: 0

摘要

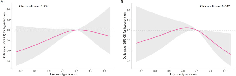
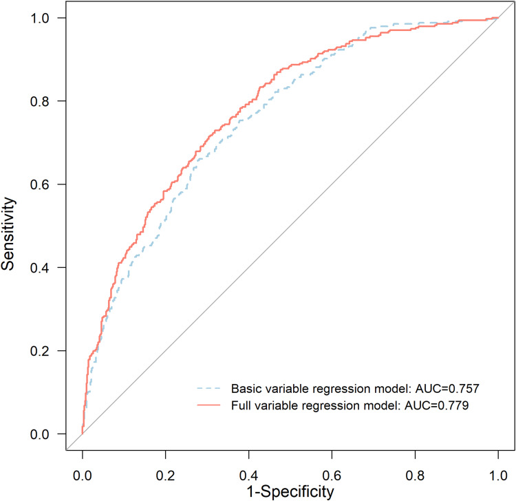
目的:睡眠类型可以用来描述个体在行为和昼夜节律方面的昼夜偏好,代表个体对早睡或晚睡的偏好。本研究旨在探讨中老年人睡眠类型与高血压和代谢参数的关系。患者与方法:于2023年12月至2024年12月在中国科学技术大学第一附属医院招募945名受试者。时间类型是通过完整的“早-晚”问卷来确定的,得分越高表明人们更喜欢早晨的时间类型。在当前队列中,按中位数分时间型,将447名参与者划分为早晨时间型和498名参与者划分为晚上时间型。还进行了人体测量和生化分析。采用多变量逻辑、线性回归和限制性三次样条(RCS)分析来评估睡眠类型、代谢参数和高血压之间的关系。结果:调整协变量后,与早晨睡眠类型相比,晚上睡眠类型与高血压风险显著相关(OR = 1.60, 95% CI: 1.17-2.17)。RCS分析显示,时间型评分与高血压之间存在显著的非线性关系(非线性P = 0.047)。此外,较高的时型评分与降低总胆固醇[TC, β (95% CI): -0.12(-0.19, -0.04)]、低密度脂蛋白-胆固醇[LDL-C, β (95% CI): -0.21(-0.33, -0.08)]和血清尿酸[SUA, β (95% CI): -0.09(-0.18, -0.01)]水平显著相关,但与升高的天冬氨酸转氨酶[AST, β (95% CI): 0.16(0.05, 0.27)]水平相关。在判别模型中,时间型与高血压的相关性与TC、SUA、丙氨酸转氨酶和碱性磷酸酶无关,模型的AUC为0.779 (95% CI: 0.749 ~ 0.808)。结论:在中老年人群中,晨型与TC、LDL-C和SUA水平降低相关,但与AST水平升高相关。此外,夜型与高血压风险增加显著独立相关。
本文章由计算机程序翻译,如有差异,请以英文原文为准。

Association of Chronotype with Hypertension and Metabolic Parameters in Middle-Aged and Older Adults: A Cross-Sectional Study.

Association of Chronotype with Hypertension and Metabolic Parameters in Middle-Aged and Older Adults: A Cross-Sectional Study.

Association of Chronotype with Hypertension and Metabolic Parameters in Middle-Aged and Older Adults: A Cross-Sectional Study.

Association of Chronotype with Hypertension and Metabolic Parameters in Middle-Aged and Older Adults: A Cross-Sectional Study.

Purpose: Chronotype can be used to describe individual's circadian preference in behavioral and circadian rhythm, representing the preferences for earlier or later sleep times. This study aimed to investigate the association of chronotype with hypertension and metabolic parameters in middle-aged and older adults.

Patients and methods: A total of 945 participants were recruited from December 2023 to December 2024 at First Affiliated Hospital of University of Science and Technology of China. Chronotype was determined using the full Morningness-Eveningness Questionnaire, with higher scores indicating preference for morning chronotype. Chronotype was dichotomized at the median score in current cohort, classifying 447 participants as morning chronotypes and 498 as evening chronotypes. Anthropometric measurements and biochemical analyses were also conducted. Multivariable logistic, linear regression, and restricted cubic spline (RCS) analyses were employed to evaluate association between chronotype, metabolic parameters, and hypertension.

Results: After adjustment for covariates, evening chronotype was significantly associated with hypertension risk (OR = 1.60, 95% CI: 1.17-2.17), compared with morning chronotype. The RCS analysis suggested a significant nonlinearity association between chronotype score and hypertension (P for nonlinear = 0.047). Furthermore, higher chronotype score was significantly associated with decreased levels of total cholesterol [TC, β (95% CI): -0.12 (-0.19, -0.04)], low-density lipoprotein-cholesterol [LDL-C, β (95% CI): -0.21 (-0.33, -0.08)] and serum uric acid [SUA, β (95% CI): -0.09 (-0.18, -0.01)], but with increased levels of aspartate aminotransferase [AST, β (95% CI): 0.16 (0.05, 0.27)]. In discrimination model, chronotype was associated with hypertension independently of TC, SUA, alanine transaminase, and alkaline phosphatase, with model's AUC of 0.779 (95% CI: 0.749-0.808).

Conclusion: In middle-aged and older adults, preference for morning chronotype was associated with decreased levels of TC, LDL-C, and SUA, but with increased levels of AST. Moreover, evening chronotype was significantly independently associated with increased risk of hypertension.

求助全文
通过发布文献求助,成功后即可免费获取论文全文。 去求助
来源期刊
Nature and Science of Sleep
Nature and Science of Sleep Neuroscience-Behavioral Neuroscience
CiteScore
5.70
自引率
5.90%
发文量
245
审稿时长
16 weeks
期刊介绍: Nature and Science of Sleep is an international, peer-reviewed, open access journal covering all aspects of sleep science and sleep medicine, including the neurophysiology and functions of sleep, the genetics of sleep, sleep and society, biological rhythms, dreaming, sleep disorders and therapy, and strategies to optimize healthy sleep. Specific topics covered in the journal include: The functions of sleep in humans and other animals Physiological and neurophysiological changes with sleep The genetics of sleep and sleep differences The neurotransmitters, receptors and pathways involved in controlling both sleep and wakefulness Behavioral and pharmacological interventions aimed at improving sleep, and improving wakefulness Sleep changes with development and with age Sleep and reproduction (e.g., changes across the menstrual cycle, with pregnancy and menopause) The science and nature of dreams Sleep disorders Impact of sleep and sleep disorders on health, daytime function and quality of life Sleep problems secondary to clinical disorders Interaction of society with sleep (e.g., consequences of shift work, occupational health, public health) The microbiome and sleep Chronotherapy Impact of circadian rhythms on sleep, physiology, cognition and health Mechanisms controlling circadian rhythms, centrally and peripherally Impact of circadian rhythm disruptions (including night shift work, jet lag and social jet lag) on sleep, physiology, cognition and health Behavioral and pharmacological interventions aimed at reducing adverse effects of circadian-related sleep disruption Assessment of technologies and biomarkers for measuring sleep and/or circadian rhythms Epigenetic markers of sleep or circadian disruption.
×
引用
GB/T 7714-2015
复制
MLA
复制
APA
复制
导出至
BibTeX EndNote RefMan NoteFirst NoteExpress
×
提示
您的信息不完整,为了账户安全,请先补充。
现在去补充
×
提示
您因"违规操作"
具体请查看互助需知
我知道了
×
提示
确定
请完成安全验证×
copy
已复制链接
快去分享给好友吧!
我知道了
右上角分享
点击右上角分享
0
联系我们:info@booksci.cn Book学术提供免费学术资源搜索服务,方便国内外学者检索中英文文献。致力于提供最便捷和优质的服务体验。 Copyright © 2023 布克学术 All rights reserved.
京ICP备2023020795号-1
ghs 京公网安备 11010802042870号
Book学术文献互助
Book学术文献互助群
群 号:604180095
Book学术官方微信