猫白血病疫苗的抗体反应:探讨性别、增强时间表、接种地点和疫苗类型的影响。

IF 2.1 2区 农林科学 Q2 VETERINARY SCIENCES
Journal of Feline Medicine and Surgery Pub Date : 2025-09-01 Epub Date: 2025-09-04 DOI:10.1177/1098612X251353080
Mark E Westman, Yasmin Parr, Caitlin Martin, Eliza Wuestner, Stefanie Pan, Jacqueline M Norris, Mike McDonald, Dawn Dunbar, William Weir, Evelyn Hall, Mizuho Nakamura, Nerida Atkin, Rabia Hajjar, Maira Nascimento Meggiolaro, David Hughes, Richard Malik, Margaret J Hosie
{"title":"猫白血病疫苗的抗体反应:探讨性别、增强时间表、接种地点和疫苗类型的影响。","authors":"Mark E Westman, Yasmin Parr, Caitlin Martin, Eliza Wuestner, Stefanie Pan, Jacqueline M Norris, Mike McDonald, Dawn Dunbar, William Weir, Evelyn Hall, Mizuho Nakamura, Nerida Atkin, Rabia Hajjar, Maira Nascimento Meggiolaro, David Hughes, Richard Malik, Margaret J Hosie","doi":"10.1177/1098612X251353080","DOIUrl":null,"url":null,"abstract":"<p><p>ObjectivesHistorically, vaccines have been administered in the dorsal interscapular region of cats (the 'scruff' of the neck) owing to easy access to the subcutaneous space. In response to concerns about sarcomas developing at injection sites (feline injection site sarcomas [FISSs]), and a possible association between feline leukaemia virus (FeLV) vaccination and the development of FISS, alternative FeLV vaccination sites such as the distal left hindlimb and tail have been proposed by influential vaccination bodies and various key opinion leaders. There is a dearth of evidence, however, to demonstrate the development of a comparable immune response after FeLV vaccination in these sites.MethodsThis field study was undertaken to investigate the FeLV anti-surface unit (SU) antibody response in FeLV-uninfected cats inoculated with one of three different FeLV vaccines (Fel-O-Vax 5, Fel-O-Vax Lv-K or Leucogen FeLV), administered in one of three different anatomical locations ('scruff', left distal hindlimb or tail). Kittens were sampled at three different time points, 1 month apart (T0, T1, T2) and again 12 months later (T12). Testing with a published anti-SU ELISA to detect FeLV-A and FeLV-B antibody responses to vaccination was performed. Antigen p27 testing, PCR testing to detect FeLV proviral DNA and neutralising antibody (NAb) testing to identify any FeLV-infected or FeLV-exposed animals were also performed.ResultsA total of 125 kittens were recruited and allocated into one of nine vaccine groups, with 105 kittens completing the initial course of vaccinations and blood draws, and 83 cats returning for T12 sampling. No progressive or regressive FeLV infections were detected in the entire kitten or adult cohorts. A total of 14 (11%) kittens and two (2%) adults tested FeLV NAb-positive. Females had higher (approximately 1.6-fold) post-vaccinal FeLV-A and FeLV-B antibody concentrations compared with males (<i>P</i> = 0.003 and 0.009, respectively). An anamnestic response ('booster' effect) was observed, with FeLV-A and FeLV-B antibody levels higher at T2 (day 56) after two primary vaccine doses than at T1 (day 28) after one dose (<i>P</i> = 0.004 and <i>P</i> <0.001, respectively). No biologically significant differences in FeLV antibody concentrations were found between the different sites of vaccination or vaccine formulations. Tail injections produced fewer vaccine 'non-responders' against FeLV-A at T2 than scruff and hindlimb vaccination (<i>P</i> = 0.020), possibly because tail injections were actually intramuscular, due to a lack of subcutaneous space in the tail.Conclusions and relevanceFeLV vaccines can be administered in the scruff, left hindlimb or tail of cats, with comparable antibody responses observed across all sites. This result will assist veterinarians in making evidence-based recommendations about possible sites for FeLV vaccinations.</p>","PeriodicalId":15851,"journal":{"name":"Journal of Feline Medicine and Surgery","volume":"27 9","pages":"1098612X251353080"},"PeriodicalIF":2.1000,"publicationDate":"2025-09-01","publicationTypes":"Journal Article","fieldsOfStudy":null,"isOpenAccess":false,"openAccessPdf":"https://www.ncbi.nlm.nih.gov/pmc/articles/PMC12411714/pdf/","citationCount":"0","resultStr":"{\"title\":\"Antibody responses to feline leukaemia vaccination: exploring the effect of sex, boosting schedule, site of administration and vaccine type.\",\"authors\":\"Mark E Westman, Yasmin Parr, Caitlin Martin, Eliza Wuestner, Stefanie Pan, Jacqueline M Norris, Mike McDonald, Dawn Dunbar, William Weir, Evelyn Hall, Mizuho Nakamura, Nerida Atkin, Rabia Hajjar, Maira Nascimento Meggiolaro, David Hughes, Richard Malik, Margaret J Hosie\",\"doi\":\"10.1177/1098612X251353080\",\"DOIUrl\":null,\"url\":null,\"abstract\":\"<p><p>ObjectivesHistorically, vaccines have been administered in the dorsal interscapular region of cats (the 'scruff' of the neck) owing to easy access to the subcutaneous space. In response to concerns about sarcomas developing at injection sites (feline injection site sarcomas [FISSs]), and a possible association between feline leukaemia virus (FeLV) vaccination and the development of FISS, alternative FeLV vaccination sites such as the distal left hindlimb and tail have been proposed by influential vaccination bodies and various key opinion leaders. There is a dearth of evidence, however, to demonstrate the development of a comparable immune response after FeLV vaccination in these sites.MethodsThis field study was undertaken to investigate the FeLV anti-surface unit (SU) antibody response in FeLV-uninfected cats inoculated with one of three different FeLV vaccines (Fel-O-Vax 5, Fel-O-Vax Lv-K or Leucogen FeLV), administered in one of three different anatomical locations ('scruff', left distal hindlimb or tail). Kittens were sampled at three different time points, 1 month apart (T0, T1, T2) and again 12 months later (T12). Testing with a published anti-SU ELISA to detect FeLV-A and FeLV-B antibody responses to vaccination was performed. Antigen p27 testing, PCR testing to detect FeLV proviral DNA and neutralising antibody (NAb) testing to identify any FeLV-infected or FeLV-exposed animals were also performed.ResultsA total of 125 kittens were recruited and allocated into one of nine vaccine groups, with 105 kittens completing the initial course of vaccinations and blood draws, and 83 cats returning for T12 sampling. No progressive or regressive FeLV infections were detected in the entire kitten or adult cohorts. A total of 14 (11%) kittens and two (2%) adults tested FeLV NAb-positive. Females had higher (approximately 1.6-fold) post-vaccinal FeLV-A and FeLV-B antibody concentrations compared with males (<i>P</i> = 0.003 and 0.009, respectively). An anamnestic response ('booster' effect) was observed, with FeLV-A and FeLV-B antibody levels higher at T2 (day 56) after two primary vaccine doses than at T1 (day 28) after one dose (<i>P</i> = 0.004 and <i>P</i> <0.001, respectively). No biologically significant differences in FeLV antibody concentrations were found between the different sites of vaccination or vaccine formulations. Tail injections produced fewer vaccine 'non-responders' against FeLV-A at T2 than scruff and hindlimb vaccination (<i>P</i> = 0.020), possibly because tail injections were actually intramuscular, due to a lack of subcutaneous space in the tail.Conclusions and relevanceFeLV vaccines can be administered in the scruff, left hindlimb or tail of cats, with comparable antibody responses observed across all sites. This result will assist veterinarians in making evidence-based recommendations about possible sites for FeLV vaccinations.</p>\",\"PeriodicalId\":15851,\"journal\":{\"name\":\"Journal of Feline Medicine and Surgery\",\"volume\":\"27 9\",\"pages\":\"1098612X251353080\"},\"PeriodicalIF\":2.1000,\"publicationDate\":\"2025-09-01\",\"publicationTypes\":\"Journal Article\",\"fieldsOfStudy\":null,\"isOpenAccess\":false,\"openAccessPdf\":\"https://www.ncbi.nlm.nih.gov/pmc/articles/PMC12411714/pdf/\",\"citationCount\":\"0\",\"resultStr\":null,\"platform\":\"Semanticscholar\",\"paperid\":null,\"PeriodicalName\":\"Journal of Feline Medicine and Surgery\",\"FirstCategoryId\":\"97\",\"ListUrlMain\":\"https://doi.org/10.1177/1098612X251353080\",\"RegionNum\":2,\"RegionCategory\":\"农林科学\",\"ArticlePicture\":[],\"TitleCN\":null,\"AbstractTextCN\":null,\"PMCID\":null,\"EPubDate\":\"2025/9/4 0:00:00\",\"PubModel\":\"Epub\",\"JCR\":\"Q2\",\"JCRName\":\"VETERINARY SCIENCES\",\"Score\":null,\"Total\":0}","platform":"Semanticscholar","paperid":null,"PeriodicalName":"Journal of Feline Medicine and Surgery","FirstCategoryId":"97","ListUrlMain":"https://doi.org/10.1177/1098612X251353080","RegionNum":2,"RegionCategory":"农林科学","ArticlePicture":[],"TitleCN":null,"AbstractTextCN":null,"PMCID":null,"EPubDate":"2025/9/4 0:00:00","PubModel":"Epub","JCR":"Q2","JCRName":"VETERINARY SCIENCES","Score":null,"Total":0}
引用次数: 0

摘要

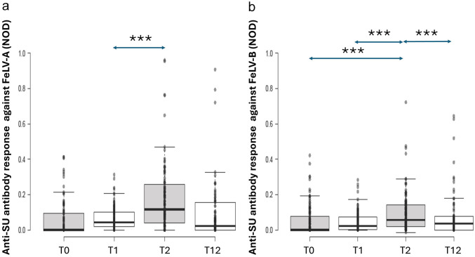
历史上,由于易于进入皮下空间,疫苗一直在猫的背肩胛间区域(颈部的“颈背”)接种。针对对注射部位发生肉瘤(猫注射部位肉瘤[FISS])的担忧,以及猫白血病病毒(FeLV)疫苗接种与FISS发生之间可能存在的关联,有影响力的疫苗接种机构和各主要意见领袖提出了替代FeLV疫苗接种部位,如左后肢远端和尾巴。然而,缺乏证据证明在这些地点接种FeLV疫苗后产生了类似的免疫反应。方法对未感染FeLV的猫接种三种不同的FeLV疫苗(FeLV- o - vax 5、FeLV- o - vax Lv-K或Leucogen FeLV)中的一种,分别在三个不同的解剖位置(“颈背”、左后肢远端或尾巴)接种,观察FeLV抗表面单位(SU)抗体的反应。在三个不同的时间点,分别间隔1个月(T0、T1、T2)和12个月后(T12)对小猫进行采样。用已发表的抗- su ELISA检测FeLV-A和FeLV-B抗体对疫苗接种的反应。还进行了抗原p27检测、检测FeLV前病毒DNA的PCR检测和中和抗体(NAb)检测,以确定任何FeLV感染或FeLV暴露的动物。结果共招募125只小猫,将其分为9个疫苗组,其中105只小猫完成了最初的疫苗接种和抽血,83只猫返回进行T12抽样。在整个小猫或成年队列中未检测到进行性或退行性FeLV感染。共有14只(11%)小猫和2只(2%)成年猫被检测为FeLV nab阳性。与男性相比,女性接种后FeLV-A和FeLV-B抗体浓度较高(约1.6倍)(P分别= 0.003和0.009)。观察到一种记忆反应(“增强”效应),两次主疫苗接种后T2(第56天)FeLV-A和FeLV-B抗体水平高于一次接种后T1(第28天)(P = 0.004和P = 0.020),可能是因为尾部注射实际上是肌肉内注射,因为尾部缺乏皮下空间。结论和相关性efelv疫苗可用于猫的颈背、左后肢或尾巴,在所有部位观察到相似的抗体反应。这一结果将有助于兽医对可能的FeLV疫苗接种地点提出基于证据的建议。
本文章由计算机程序翻译,如有差异,请以英文原文为准。

Antibody responses to feline leukaemia vaccination: exploring the effect of sex, boosting schedule, site of administration and vaccine type.

Antibody responses to feline leukaemia vaccination: exploring the effect of sex, boosting schedule, site of administration and vaccine type.

Antibody responses to feline leukaemia vaccination: exploring the effect of sex, boosting schedule, site of administration and vaccine type.

Antibody responses to feline leukaemia vaccination: exploring the effect of sex, boosting schedule, site of administration and vaccine type.

ObjectivesHistorically, vaccines have been administered in the dorsal interscapular region of cats (the 'scruff' of the neck) owing to easy access to the subcutaneous space. In response to concerns about sarcomas developing at injection sites (feline injection site sarcomas [FISSs]), and a possible association between feline leukaemia virus (FeLV) vaccination and the development of FISS, alternative FeLV vaccination sites such as the distal left hindlimb and tail have been proposed by influential vaccination bodies and various key opinion leaders. There is a dearth of evidence, however, to demonstrate the development of a comparable immune response after FeLV vaccination in these sites.MethodsThis field study was undertaken to investigate the FeLV anti-surface unit (SU) antibody response in FeLV-uninfected cats inoculated with one of three different FeLV vaccines (Fel-O-Vax 5, Fel-O-Vax Lv-K or Leucogen FeLV), administered in one of three different anatomical locations ('scruff', left distal hindlimb or tail). Kittens were sampled at three different time points, 1 month apart (T0, T1, T2) and again 12 months later (T12). Testing with a published anti-SU ELISA to detect FeLV-A and FeLV-B antibody responses to vaccination was performed. Antigen p27 testing, PCR testing to detect FeLV proviral DNA and neutralising antibody (NAb) testing to identify any FeLV-infected or FeLV-exposed animals were also performed.ResultsA total of 125 kittens were recruited and allocated into one of nine vaccine groups, with 105 kittens completing the initial course of vaccinations and blood draws, and 83 cats returning for T12 sampling. No progressive or regressive FeLV infections were detected in the entire kitten or adult cohorts. A total of 14 (11%) kittens and two (2%) adults tested FeLV NAb-positive. Females had higher (approximately 1.6-fold) post-vaccinal FeLV-A and FeLV-B antibody concentrations compared with males (P = 0.003 and 0.009, respectively). An anamnestic response ('booster' effect) was observed, with FeLV-A and FeLV-B antibody levels higher at T2 (day 56) after two primary vaccine doses than at T1 (day 28) after one dose (P = 0.004 and P <0.001, respectively). No biologically significant differences in FeLV antibody concentrations were found between the different sites of vaccination or vaccine formulations. Tail injections produced fewer vaccine 'non-responders' against FeLV-A at T2 than scruff and hindlimb vaccination (P = 0.020), possibly because tail injections were actually intramuscular, due to a lack of subcutaneous space in the tail.Conclusions and relevanceFeLV vaccines can be administered in the scruff, left hindlimb or tail of cats, with comparable antibody responses observed across all sites. This result will assist veterinarians in making evidence-based recommendations about possible sites for FeLV vaccinations.

求助全文
通过发布文献求助,成功后即可免费获取论文全文。 去求助
来源期刊
CiteScore
3.90
自引率
17.60%
发文量
254
审稿时长
8-16 weeks
期刊介绍: JFMS is an international, peer-reviewed journal aimed at both practitioners and researchers with an interest in the clinical veterinary healthcare of domestic cats. The journal is published monthly in two formats: ‘Classic’ editions containing high-quality original papers on all aspects of feline medicine and surgery, including basic research relevant to clinical practice; and dedicated ‘Clinical Practice’ editions primarily containing opinionated review articles providing state-of-the-art information for feline clinicians, along with other relevant articles such as consensus guidelines.
×
引用
GB/T 7714-2015
复制
MLA
复制
APA
复制
导出至
BibTeX EndNote RefMan NoteFirst NoteExpress
×
提示
您的信息不完整,为了账户安全,请先补充。
现在去补充
×
提示
您因"违规操作"
具体请查看互助需知
我知道了
×
提示
确定
请完成安全验证×
copy
已复制链接
快去分享给好友吧!
我知道了
右上角分享
点击右上角分享
0
联系我们:info@booksci.cn Book学术提供免费学术资源搜索服务,方便国内外学者检索中英文文献。致力于提供最便捷和优质的服务体验。 Copyright © 2023 布克学术 All rights reserved.
京ICP备2023020795号-1
ghs 京公网安备 11010802042870号
Book学术文献互助
Book学术文献互助群
群 号:604180095
Book学术官方微信