Wickerhamiella/Starmerella酵母分支的代谢多样性:从糖利用到脂质代谢。

IF 2.7 4区 生物学 Q3 BIOTECHNOLOGY & APPLIED MICROBIOLOGY
Meriam Vandeputte, Emma Diependaele, Inge Noëlle Adriënne Van Bogaert
{"title":"Wickerhamiella/Starmerella酵母分支的代谢多样性:从糖利用到脂质代谢。","authors":"Meriam Vandeputte, Emma Diependaele, Inge Noëlle Adriënne Van Bogaert","doi":"10.1093/femsyr/foaf048","DOIUrl":null,"url":null,"abstract":"<p><p>The Wickerhamiella/Starmerella (W/S) yeast clade has recently gained attention as a \"treasure trove\" of metabolic diversity, characterized by unusual pathways shaped through complex evolutionary events. One of their most distinctive traits is their specialized sugar metabolism, which allows them to thrive in sugar-rich environments. While their role in sugar utilization is well established, emerging evidence suggests that some W/S species can also metabolize hydrophobic compounds, indicating a broader capacity for lipid-related processes. For instance, several W/S species produce sophorolipids (SLs)-a class of glycolipids with commercial applications as sustainable biosurfactants. This ability has sparked growing interest in their potential to synthesize a diverse range of lipids, including glycolipids and dicarboxylic acids. This mini-review explores the evolution and distinctive metabolic features of the W/S clade, focusing not only on its well-characterized sugar metabolism but also on its lesser-known lipid metabolism. Particular attention is given to SL production and the expansion and diversity of cytochrome P450 family 52 enzymes within this underexplored group, emphasizing their biotechnological potential in lipid biosynthesis and their promising applications in sustainable bioprocesses.</p>","PeriodicalId":12290,"journal":{"name":"FEMS yeast research","volume":" ","pages":""},"PeriodicalIF":2.7000,"publicationDate":"2025-01-30","publicationTypes":"Journal Article","fieldsOfStudy":null,"isOpenAccess":false,"openAccessPdf":"https://www.ncbi.nlm.nih.gov/pmc/articles/PMC12461148/pdf/","citationCount":"0","resultStr":"{\"title\":\"Metabolic versatility of the Wickerhamiella/Starmerella yeast clade: from sugar utilization to lipid metabolism.\",\"authors\":\"Meriam Vandeputte, Emma Diependaele, Inge Noëlle Adriënne Van Bogaert\",\"doi\":\"10.1093/femsyr/foaf048\",\"DOIUrl\":null,\"url\":null,\"abstract\":\"<p><p>The Wickerhamiella/Starmerella (W/S) yeast clade has recently gained attention as a \\\"treasure trove\\\" of metabolic diversity, characterized by unusual pathways shaped through complex evolutionary events. One of their most distinctive traits is their specialized sugar metabolism, which allows them to thrive in sugar-rich environments. While their role in sugar utilization is well established, emerging evidence suggests that some W/S species can also metabolize hydrophobic compounds, indicating a broader capacity for lipid-related processes. For instance, several W/S species produce sophorolipids (SLs)-a class of glycolipids with commercial applications as sustainable biosurfactants. This ability has sparked growing interest in their potential to synthesize a diverse range of lipids, including glycolipids and dicarboxylic acids. This mini-review explores the evolution and distinctive metabolic features of the W/S clade, focusing not only on its well-characterized sugar metabolism but also on its lesser-known lipid metabolism. Particular attention is given to SL production and the expansion and diversity of cytochrome P450 family 52 enzymes within this underexplored group, emphasizing their biotechnological potential in lipid biosynthesis and their promising applications in sustainable bioprocesses.</p>\",\"PeriodicalId\":12290,\"journal\":{\"name\":\"FEMS yeast research\",\"volume\":\" \",\"pages\":\"\"},\"PeriodicalIF\":2.7000,\"publicationDate\":\"2025-01-30\",\"publicationTypes\":\"Journal Article\",\"fieldsOfStudy\":null,\"isOpenAccess\":false,\"openAccessPdf\":\"https://www.ncbi.nlm.nih.gov/pmc/articles/PMC12461148/pdf/\",\"citationCount\":\"0\",\"resultStr\":null,\"platform\":\"Semanticscholar\",\"paperid\":null,\"PeriodicalName\":\"FEMS yeast research\",\"FirstCategoryId\":\"99\",\"ListUrlMain\":\"https://doi.org/10.1093/femsyr/foaf048\",\"RegionNum\":4,\"RegionCategory\":\"生物学\",\"ArticlePicture\":[],\"TitleCN\":null,\"AbstractTextCN\":null,\"PMCID\":null,\"EPubDate\":\"\",\"PubModel\":\"\",\"JCR\":\"Q3\",\"JCRName\":\"BIOTECHNOLOGY & APPLIED MICROBIOLOGY\",\"Score\":null,\"Total\":0}","platform":"Semanticscholar","paperid":null,"PeriodicalName":"FEMS yeast research","FirstCategoryId":"99","ListUrlMain":"https://doi.org/10.1093/femsyr/foaf048","RegionNum":4,"RegionCategory":"生物学","ArticlePicture":[],"TitleCN":null,"AbstractTextCN":null,"PMCID":null,"EPubDate":"","PubModel":"","JCR":"Q3","JCRName":"BIOTECHNOLOGY & APPLIED MICROBIOLOGY","Score":null,"Total":0}
引用次数: 0

摘要

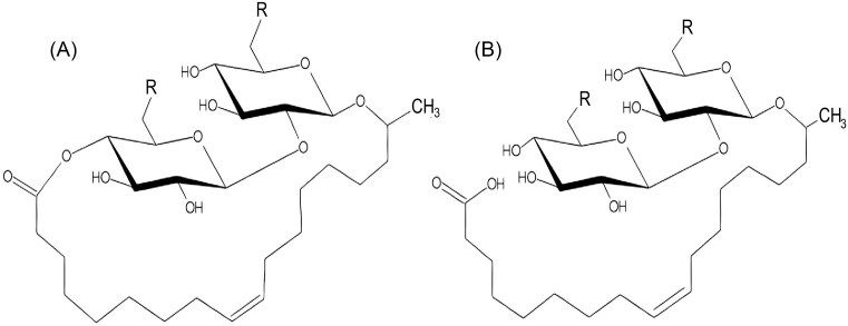
Wickerhamiella/Starmerella (W/S)酵母进化支最近作为代谢多样性的“宝库”而受到关注,其特征是通过复杂的进化事件形成了不寻常的途径。它们最独特的特征之一是它们特殊的糖代谢,这使它们能够在富含糖的环境中茁壮成长。虽然它们在糖利用中的作用已经确立,但新出现的证据表明,一些W/S物种也可以代谢疏水化合物,这表明它们具有更广泛的脂质相关过程的能力。例如,一些W/S物种产生苦参脂——一类作为可持续生物表面活性剂具有商业应用的糖脂。这种能力引发了人们对它们合成多种脂质的潜力的兴趣,包括糖脂和二羧酸。这篇综述探讨了W/S支系的进化和独特的代谢特征,不仅关注其已被熟知的糖代谢,还关注其鲜为人知的脂质代谢。特别关注的是槐脂的生产和CYP52酶的扩展和多样性,强调它们在脂质生物合成中的生物技术潜力和它们在可持续生物过程中的应用前景。
本文章由计算机程序翻译,如有差异,请以英文原文为准。

Metabolic versatility of the Wickerhamiella/Starmerella yeast clade: from sugar utilization to lipid metabolism.

Metabolic versatility of the Wickerhamiella/Starmerella yeast clade: from sugar utilization to lipid metabolism.

Metabolic versatility of the Wickerhamiella/Starmerella yeast clade: from sugar utilization to lipid metabolism.

Metabolic versatility of the Wickerhamiella/Starmerella yeast clade: from sugar utilization to lipid metabolism.

The Wickerhamiella/Starmerella (W/S) yeast clade has recently gained attention as a "treasure trove" of metabolic diversity, characterized by unusual pathways shaped through complex evolutionary events. One of their most distinctive traits is their specialized sugar metabolism, which allows them to thrive in sugar-rich environments. While their role in sugar utilization is well established, emerging evidence suggests that some W/S species can also metabolize hydrophobic compounds, indicating a broader capacity for lipid-related processes. For instance, several W/S species produce sophorolipids (SLs)-a class of glycolipids with commercial applications as sustainable biosurfactants. This ability has sparked growing interest in their potential to synthesize a diverse range of lipids, including glycolipids and dicarboxylic acids. This mini-review explores the evolution and distinctive metabolic features of the W/S clade, focusing not only on its well-characterized sugar metabolism but also on its lesser-known lipid metabolism. Particular attention is given to SL production and the expansion and diversity of cytochrome P450 family 52 enzymes within this underexplored group, emphasizing their biotechnological potential in lipid biosynthesis and their promising applications in sustainable bioprocesses.

求助全文
通过发布文献求助,成功后即可免费获取论文全文。 去求助
来源期刊
FEMS yeast research
FEMS yeast research 生物-生物工程与应用微生物
CiteScore
5.70
自引率
6.20%
发文量
54
审稿时长
1 months
期刊介绍: FEMS Yeast Research offers efficient publication of high-quality original Research Articles, Mini-reviews, Letters to the Editor, Perspectives and Commentaries that express current opinions. The journal will select for publication only those manuscripts deemed to be of major relevance to the field and generally will not consider articles that are largely descriptive without insights on underlying mechanism or biology. Submissions on any yeast species are welcome provided they report results within the scope outlined below and are of significance to the yeast field.
×
引用
GB/T 7714-2015
复制
MLA
复制
APA
复制
导出至
BibTeX EndNote RefMan NoteFirst NoteExpress
×
提示
您的信息不完整,为了账户安全,请先补充。
现在去补充
×
提示
您因"违规操作"
具体请查看互助需知
我知道了
×
提示
确定
请完成安全验证×
copy
已复制链接
快去分享给好友吧!
我知道了
右上角分享
点击右上角分享
0
联系我们:info@booksci.cn Book学术提供免费学术资源搜索服务,方便国内外学者检索中英文文献。致力于提供最便捷和优质的服务体验。 Copyright © 2023 布克学术 All rights reserved.
京ICP备2023020795号-1
ghs 京公网安备 11010802042870号
Book学术文献互助
Book学术文献互助群
群 号:604180095
Book学术官方微信