研究血清NRF2作为糖尿病足溃疡的筛选生物标志物和潜在治疗靶点:一项前瞻性观察研究。

IF 3.4 3区 医学 Q2 MEDICINE, RESEARCH & EXPERIMENTAL
Wentao Yang, Hui Cao, Song Lin, Fangtao Tian
{"title":"研究血清NRF2作为糖尿病足溃疡的筛选生物标志物和潜在治疗靶点:一项前瞻性观察研究。","authors":"Wentao Yang, Hui Cao, Song Lin, Fangtao Tian","doi":"10.1186/s40001-025-03086-1","DOIUrl":null,"url":null,"abstract":"<p><strong>Objectives: </strong>The study aimed to investigate the relationship between serum nuclear factor erythroid 2-related factor 2 (NRF2) levels and the severity of diabetic foot ulcers (DFU) and to identify potential risk factors in severe DFU patients. Understanding this relationship could offer insights into mechanisms underlying DFU progression and inform diagnostic and therapeutic strategies.</p><p><strong>Methods: </strong>This prospective observational study included 195 DFU patients from January 2023 to May 2024, categorized into mild and severe groups using the Wagner classification system. Serum NRF2 and C-reactive protein (CRP), interleukin-6 (IL-6), interleukin-17 (IL-17), and tumor necrosis factor-alpha (TNF-α) levels were measured at multiple timepoints during treatment. Statistical analyses, including logistic regression and receiver operating characteristic (ROC) curve analysis, were performed to evaluate NRF2's diagnostic value and its association with DFU severity.</p><p><strong>Results: </strong>We found that severe DFU patients had significantly lower serum NRF2 levels and higher serum IL-6, IL-17, and CRP levels compared to those in the mild group. NRF2 levels were negatively correlated with IL-6 levels. ROC curve analysis demonstrated that NRF2 was a reliable screening biomarker for severe DFU, with notable sensitivity and specificity. In addition, logistic regression identified reduced NRF2 levels as an independent risk factor for severe DFU.</p><p><strong>Conclusions: </strong>Serum NRF2 levels could serve as a valuable screening biomarker for identifying severe DFU cases. Integrating NRF2 measurements with other biomarkers could improve patient stratification and clinical outcomes. Further research is needed to validate its role and therapeutic potential in DFU management.</p>","PeriodicalId":11949,"journal":{"name":"European Journal of Medical Research","volume":"30 1","pages":"841"},"PeriodicalIF":3.4000,"publicationDate":"2025-09-03","publicationTypes":"Journal Article","fieldsOfStudy":null,"isOpenAccess":false,"openAccessPdf":"https://www.ncbi.nlm.nih.gov/pmc/articles/PMC12406484/pdf/","citationCount":"0","resultStr":"{\"title\":\"Investigating serum NRF2 as a screening biomarker and potential therapeutic target in diabetic foot ulcers: a prospective observational study.\",\"authors\":\"Wentao Yang, Hui Cao, Song Lin, Fangtao Tian\",\"doi\":\"10.1186/s40001-025-03086-1\",\"DOIUrl\":null,\"url\":null,\"abstract\":\"<p><strong>Objectives: </strong>The study aimed to investigate the relationship between serum nuclear factor erythroid 2-related factor 2 (NRF2) levels and the severity of diabetic foot ulcers (DFU) and to identify potential risk factors in severe DFU patients. Understanding this relationship could offer insights into mechanisms underlying DFU progression and inform diagnostic and therapeutic strategies.</p><p><strong>Methods: </strong>This prospective observational study included 195 DFU patients from January 2023 to May 2024, categorized into mild and severe groups using the Wagner classification system. Serum NRF2 and C-reactive protein (CRP), interleukin-6 (IL-6), interleukin-17 (IL-17), and tumor necrosis factor-alpha (TNF-α) levels were measured at multiple timepoints during treatment. Statistical analyses, including logistic regression and receiver operating characteristic (ROC) curve analysis, were performed to evaluate NRF2's diagnostic value and its association with DFU severity.</p><p><strong>Results: </strong>We found that severe DFU patients had significantly lower serum NRF2 levels and higher serum IL-6, IL-17, and CRP levels compared to those in the mild group. NRF2 levels were negatively correlated with IL-6 levels. ROC curve analysis demonstrated that NRF2 was a reliable screening biomarker for severe DFU, with notable sensitivity and specificity. In addition, logistic regression identified reduced NRF2 levels as an independent risk factor for severe DFU.</p><p><strong>Conclusions: </strong>Serum NRF2 levels could serve as a valuable screening biomarker for identifying severe DFU cases. Integrating NRF2 measurements with other biomarkers could improve patient stratification and clinical outcomes. Further research is needed to validate its role and therapeutic potential in DFU management.</p>\",\"PeriodicalId\":11949,\"journal\":{\"name\":\"European Journal of Medical Research\",\"volume\":\"30 1\",\"pages\":\"841\"},\"PeriodicalIF\":3.4000,\"publicationDate\":\"2025-09-03\",\"publicationTypes\":\"Journal Article\",\"fieldsOfStudy\":null,\"isOpenAccess\":false,\"openAccessPdf\":\"https://www.ncbi.nlm.nih.gov/pmc/articles/PMC12406484/pdf/\",\"citationCount\":\"0\",\"resultStr\":null,\"platform\":\"Semanticscholar\",\"paperid\":null,\"PeriodicalName\":\"European Journal of Medical Research\",\"FirstCategoryId\":\"3\",\"ListUrlMain\":\"https://doi.org/10.1186/s40001-025-03086-1\",\"RegionNum\":3,\"RegionCategory\":\"医学\",\"ArticlePicture\":[],\"TitleCN\":null,\"AbstractTextCN\":null,\"PMCID\":null,\"EPubDate\":\"\",\"PubModel\":\"\",\"JCR\":\"Q2\",\"JCRName\":\"MEDICINE, RESEARCH & EXPERIMENTAL\",\"Score\":null,\"Total\":0}","platform":"Semanticscholar","paperid":null,"PeriodicalName":"European Journal of Medical Research","FirstCategoryId":"3","ListUrlMain":"https://doi.org/10.1186/s40001-025-03086-1","RegionNum":3,"RegionCategory":"医学","ArticlePicture":[],"TitleCN":null,"AbstractTextCN":null,"PMCID":null,"EPubDate":"","PubModel":"","JCR":"Q2","JCRName":"MEDICINE, RESEARCH & EXPERIMENTAL","Score":null,"Total":0}
引用次数: 0

摘要

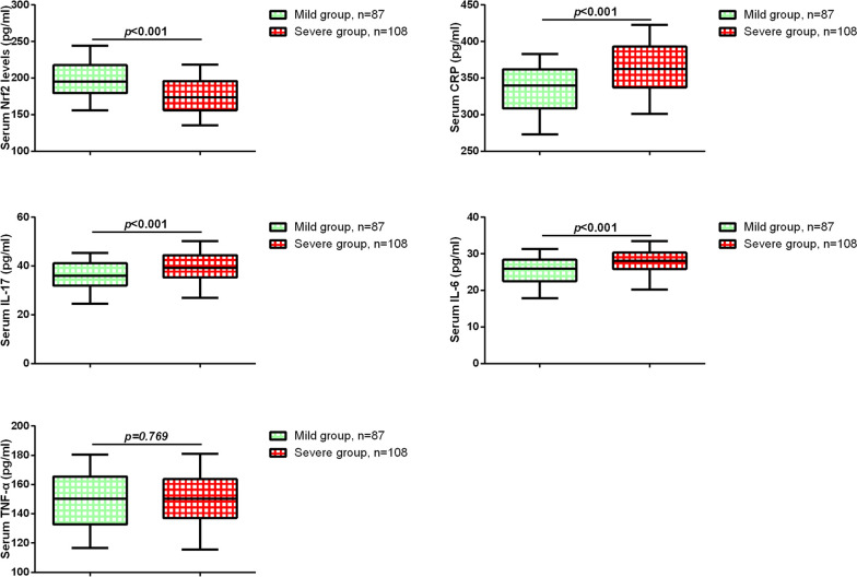
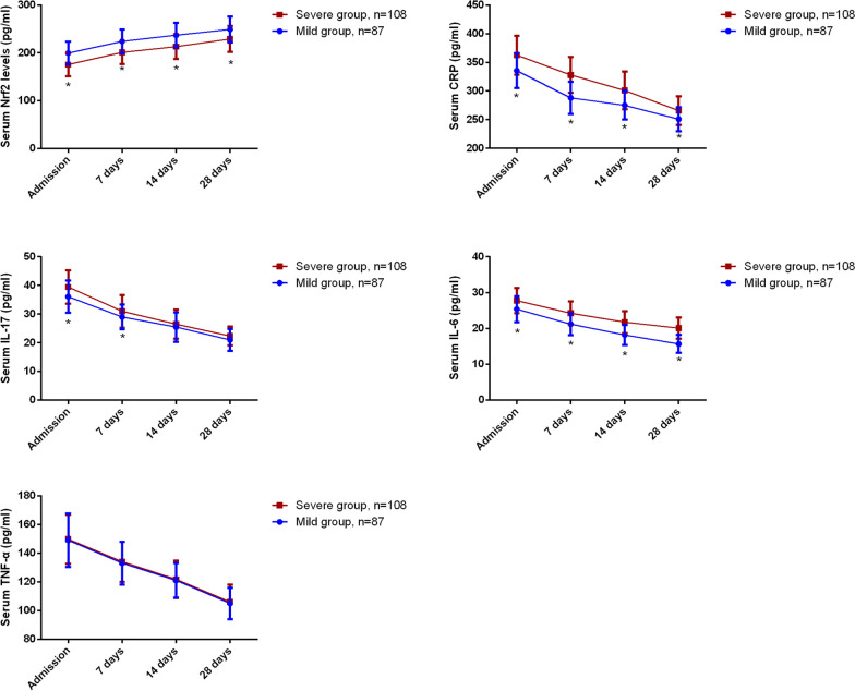
目的:探讨血清核因子-红细胞2相关因子2 (NRF2)水平与糖尿病足溃疡(DFU)严重程度的关系,并探讨重症DFU患者的潜在危险因素。了解这种关系可以深入了解DFU进展的机制,并为诊断和治疗策略提供信息。方法:本前瞻性观察研究纳入2023年1月至2024年5月期间195例DFU患者,采用Wagner分类系统分为轻度组和重度组。在治疗期间的多个时间点检测血清NRF2、c反应蛋白(CRP)、白细胞介素-6 (IL-6)、白细胞介素-17 (IL-17)和肿瘤坏死因子-α (TNF-α)水平。采用logistic回归、受试者工作特征(ROC)曲线分析等统计学方法评价NRF2的诊断价值及其与DFU严重程度的相关性。结果:我们发现,与轻度组相比,重度DFU患者血清NRF2水平明显降低,血清IL-6、IL-17和CRP水平明显升高。NRF2水平与IL-6水平呈负相关。ROC曲线分析表明,NRF2是一种可靠的重度DFU筛查生物标志物,具有显著的敏感性和特异性。此外,逻辑回归发现NRF2水平降低是严重DFU的独立危险因素。结论:血清NRF2水平可作为鉴别严重DFU病例的有价值的筛选生物标志物。将NRF2测量与其他生物标志物结合可以改善患者分层和临床结果。需要进一步的研究来验证其在DFU治疗中的作用和治疗潜力。
本文章由计算机程序翻译,如有差异,请以英文原文为准。

Investigating serum NRF2 as a screening biomarker and potential therapeutic target in diabetic foot ulcers: a prospective observational study.

Investigating serum NRF2 as a screening biomarker and potential therapeutic target in diabetic foot ulcers: a prospective observational study.

Investigating serum NRF2 as a screening biomarker and potential therapeutic target in diabetic foot ulcers: a prospective observational study.

Investigating serum NRF2 as a screening biomarker and potential therapeutic target in diabetic foot ulcers: a prospective observational study.

Objectives: The study aimed to investigate the relationship between serum nuclear factor erythroid 2-related factor 2 (NRF2) levels and the severity of diabetic foot ulcers (DFU) and to identify potential risk factors in severe DFU patients. Understanding this relationship could offer insights into mechanisms underlying DFU progression and inform diagnostic and therapeutic strategies.

Methods: This prospective observational study included 195 DFU patients from January 2023 to May 2024, categorized into mild and severe groups using the Wagner classification system. Serum NRF2 and C-reactive protein (CRP), interleukin-6 (IL-6), interleukin-17 (IL-17), and tumor necrosis factor-alpha (TNF-α) levels were measured at multiple timepoints during treatment. Statistical analyses, including logistic regression and receiver operating characteristic (ROC) curve analysis, were performed to evaluate NRF2's diagnostic value and its association with DFU severity.

Results: We found that severe DFU patients had significantly lower serum NRF2 levels and higher serum IL-6, IL-17, and CRP levels compared to those in the mild group. NRF2 levels were negatively correlated with IL-6 levels. ROC curve analysis demonstrated that NRF2 was a reliable screening biomarker for severe DFU, with notable sensitivity and specificity. In addition, logistic regression identified reduced NRF2 levels as an independent risk factor for severe DFU.

Conclusions: Serum NRF2 levels could serve as a valuable screening biomarker for identifying severe DFU cases. Integrating NRF2 measurements with other biomarkers could improve patient stratification and clinical outcomes. Further research is needed to validate its role and therapeutic potential in DFU management.

求助全文
通过发布文献求助,成功后即可免费获取论文全文。 去求助
来源期刊
European Journal of Medical Research
European Journal of Medical Research 医学-医学:研究与实验
CiteScore
3.20
自引率
0.00%
发文量
247
审稿时长
>12 weeks
期刊介绍: European Journal of Medical Research publishes translational and clinical research of international interest across all medical disciplines, enabling clinicians and other researchers to learn about developments and innovations within these disciplines and across the boundaries between disciplines. The journal publishes high quality research and reviews and aims to ensure that the results of all well-conducted research are published, regardless of their outcome.
×
引用
GB/T 7714-2015
复制
MLA
复制
APA
复制
导出至
BibTeX EndNote RefMan NoteFirst NoteExpress
×
提示
您的信息不完整,为了账户安全,请先补充。
现在去补充
×
提示
您因"违规操作"
具体请查看互助需知
我知道了
×
提示
确定
请完成安全验证×
copy
已复制链接
快去分享给好友吧!
我知道了
右上角分享
点击右上角分享
0
联系我们:info@booksci.cn Book学术提供免费学术资源搜索服务,方便国内外学者检索中英文文献。致力于提供最便捷和优质的服务体验。 Copyright © 2023 布克学术 All rights reserved.
京ICP备2023020795号-1
ghs 京公网安备 11010802042870号
Book学术文献互助
Book学术文献互助群
群 号:604180095
Book学术官方微信