后部可逆性脑病综合征颅内出血:系统回顾和荟萃分析。

IF 1.6 Q2 MEDICINE, GENERAL & INTERNAL
Annals of Medicine and Surgery Pub Date : 2025-08-05 eCollection Date: 2025-09-01 DOI:10.1097/MS9.0000000000003676
Bahadar S Srichawla, Mihnea-Alexandru Găman, Hande Can, Vincent Kipkorir, Maria A Garcia-Dominguez
{"title":"后部可逆性脑病综合征颅内出血:系统回顾和荟萃分析。","authors":"Bahadar S Srichawla, Mihnea-Alexandru Găman, Hande Can, Vincent Kipkorir, Maria A Garcia-Dominguez","doi":"10.1097/MS9.0000000000003676","DOIUrl":null,"url":null,"abstract":"<p><strong>Background: </strong>Posterior reversible encephalopathy syndrome (PRES) is a clinical-radiographic phenomenon characterized by vasogenic edema, predominantly affecting the posterior regions of the brain. The hemorrhagic variant of PRES has been increasingly recognized, complicating the clinical picture and prognosis.</p><p><strong>Methods: </strong>This meta-analysis was conducted in accordance with Preferred Reporting Items for Systematic Reviews and Meta-Analyses guidelines. Observational studies and case reports/series were included. Extracted data included demographics, clinical presentations, imaging findings, and outcomes. A random-effects model to pool the incidence rate of hemorrhagic PRES and heterogeneity was assessed using the I<sup>2</sup> statistic. The Joanna Briggs Institute scale for case reports/series and the Newcastle-Ottawa scale for cohort studies were used for quality and risk of bias assessment.</p><p><strong>Results: </strong>A total of 63 individual records and 12 cohort studies were reviewed. Hypertension at arrival was seen in > 90% of cases. Overall, 60.3% of cases occurred in women and the average age was 39.3, with a 12.7% mortality rate. The incidence rate of hemorrhagic PRES was found to be approximately 17%, with significant heterogeneity among the included studies (I<sup>2</sup> = 67%). Seizures (31.7%), headaches (33.3%), and altered mental status (30.1%) were the most reported symptoms. Hypertension (31.7%), immunosuppressive therapy (23.8%), and coagulopathy (11.1%) were identified as the most common risk factors. Hemorrhagic findings included intraparenchymal hemorrhage (77.7%), subarachnoid hemorrhage (15.8%), and microhemorrhages (6.3%).</p><p><strong>Conclusions: </strong>Hemorrhagic PRES is a significant clinical concern, occurring in approximately 17% of PRES cases, and is often associated with poorer outcomes. We highlight the importance of early recognition, aggressive blood pressure control, and careful monitoring in high-risk patients.</p>","PeriodicalId":8025,"journal":{"name":"Annals of Medicine and Surgery","volume":"87 9","pages":"6023-6032"},"PeriodicalIF":1.6000,"publicationDate":"2025-08-05","publicationTypes":"Journal Article","fieldsOfStudy":null,"isOpenAccess":false,"openAccessPdf":"https://www.ncbi.nlm.nih.gov/pmc/articles/PMC12401445/pdf/","citationCount":"0","resultStr":"{\"title\":\"Intracranial hemorrhage in posterior reversible encephalopathy syndrome: a systematic review and meta-analysis.\",\"authors\":\"Bahadar S Srichawla, Mihnea-Alexandru Găman, Hande Can, Vincent Kipkorir, Maria A Garcia-Dominguez\",\"doi\":\"10.1097/MS9.0000000000003676\",\"DOIUrl\":null,\"url\":null,\"abstract\":\"<p><strong>Background: </strong>Posterior reversible encephalopathy syndrome (PRES) is a clinical-radiographic phenomenon characterized by vasogenic edema, predominantly affecting the posterior regions of the brain. The hemorrhagic variant of PRES has been increasingly recognized, complicating the clinical picture and prognosis.</p><p><strong>Methods: </strong>This meta-analysis was conducted in accordance with Preferred Reporting Items for Systematic Reviews and Meta-Analyses guidelines. Observational studies and case reports/series were included. Extracted data included demographics, clinical presentations, imaging findings, and outcomes. A random-effects model to pool the incidence rate of hemorrhagic PRES and heterogeneity was assessed using the I<sup>2</sup> statistic. The Joanna Briggs Institute scale for case reports/series and the Newcastle-Ottawa scale for cohort studies were used for quality and risk of bias assessment.</p><p><strong>Results: </strong>A total of 63 individual records and 12 cohort studies were reviewed. Hypertension at arrival was seen in > 90% of cases. Overall, 60.3% of cases occurred in women and the average age was 39.3, with a 12.7% mortality rate. The incidence rate of hemorrhagic PRES was found to be approximately 17%, with significant heterogeneity among the included studies (I<sup>2</sup> = 67%). Seizures (31.7%), headaches (33.3%), and altered mental status (30.1%) were the most reported symptoms. Hypertension (31.7%), immunosuppressive therapy (23.8%), and coagulopathy (11.1%) were identified as the most common risk factors. Hemorrhagic findings included intraparenchymal hemorrhage (77.7%), subarachnoid hemorrhage (15.8%), and microhemorrhages (6.3%).</p><p><strong>Conclusions: </strong>Hemorrhagic PRES is a significant clinical concern, occurring in approximately 17% of PRES cases, and is often associated with poorer outcomes. We highlight the importance of early recognition, aggressive blood pressure control, and careful monitoring in high-risk patients.</p>\",\"PeriodicalId\":8025,\"journal\":{\"name\":\"Annals of Medicine and Surgery\",\"volume\":\"87 9\",\"pages\":\"6023-6032\"},\"PeriodicalIF\":1.6000,\"publicationDate\":\"2025-08-05\",\"publicationTypes\":\"Journal Article\",\"fieldsOfStudy\":null,\"isOpenAccess\":false,\"openAccessPdf\":\"https://www.ncbi.nlm.nih.gov/pmc/articles/PMC12401445/pdf/\",\"citationCount\":\"0\",\"resultStr\":null,\"platform\":\"Semanticscholar\",\"paperid\":null,\"PeriodicalName\":\"Annals of Medicine and Surgery\",\"FirstCategoryId\":\"1085\",\"ListUrlMain\":\"https://doi.org/10.1097/MS9.0000000000003676\",\"RegionNum\":0,\"RegionCategory\":null,\"ArticlePicture\":[],\"TitleCN\":null,\"AbstractTextCN\":null,\"PMCID\":null,\"EPubDate\":\"2025/9/1 0:00:00\",\"PubModel\":\"eCollection\",\"JCR\":\"Q2\",\"JCRName\":\"MEDICINE, GENERAL & INTERNAL\",\"Score\":null,\"Total\":0}","platform":"Semanticscholar","paperid":null,"PeriodicalName":"Annals of Medicine and Surgery","FirstCategoryId":"1085","ListUrlMain":"https://doi.org/10.1097/MS9.0000000000003676","RegionNum":0,"RegionCategory":null,"ArticlePicture":[],"TitleCN":null,"AbstractTextCN":null,"PMCID":null,"EPubDate":"2025/9/1 0:00:00","PubModel":"eCollection","JCR":"Q2","JCRName":"MEDICINE, GENERAL & INTERNAL","Score":null,"Total":0}
引用次数: 0

摘要

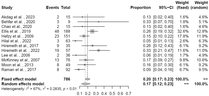
背景:后部可逆性脑病综合征(PRES)是一种以血管源性水肿为特征的临床影像学现象,主要影响大脑后部区域。出血性PRES变体已被越来越多地认识到,使临床表现和预后复杂化。方法:本荟萃分析按照系统评价和荟萃分析指南的首选报告项目进行。包括观察性研究和病例报告/系列。提取的数据包括人口统计学、临床表现、影像学发现和结果。采用I2统计量评估出血性PRES发生率和异质性的随机效应模型。病例报告/系列采用乔安娜布里格斯研究所量表,队列研究采用纽卡斯尔-渥太华量表进行质量和偏倚风险评估。结果:共回顾了63项个人记录和12项队列研究。90%的患者到达时出现高血压。总的来说,60.3%的病例发生在妇女身上,平均年龄为39.3岁,死亡率为12.7%。出血性PRES的发生率约为17%,在纳入的研究中存在显著的异质性(I2 = 67%)。癫痫发作(31.7%)、头痛(33.3%)和精神状态改变(30.1%)是报告最多的症状。高血压(31.7%)、免疫抑制治疗(23.8%)和凝血功能障碍(11.1%)被认为是最常见的危险因素。出血表现包括肺实质出血(77.7%)、蛛网膜下腔出血(15.8%)和微出血(6.3%)。结论:出血性PRES是一个重要的临床问题,发生在大约17%的PRES病例中,并且通常与较差的预后相关。我们强调早期识别、积极控制血压和仔细监测高危患者的重要性。
本文章由计算机程序翻译,如有差异,请以英文原文为准。

Intracranial hemorrhage in posterior reversible encephalopathy syndrome: a systematic review and meta-analysis.

Intracranial hemorrhage in posterior reversible encephalopathy syndrome: a systematic review and meta-analysis.

Intracranial hemorrhage in posterior reversible encephalopathy syndrome: a systematic review and meta-analysis.

Intracranial hemorrhage in posterior reversible encephalopathy syndrome: a systematic review and meta-analysis.

Background: Posterior reversible encephalopathy syndrome (PRES) is a clinical-radiographic phenomenon characterized by vasogenic edema, predominantly affecting the posterior regions of the brain. The hemorrhagic variant of PRES has been increasingly recognized, complicating the clinical picture and prognosis.

Methods: This meta-analysis was conducted in accordance with Preferred Reporting Items for Systematic Reviews and Meta-Analyses guidelines. Observational studies and case reports/series were included. Extracted data included demographics, clinical presentations, imaging findings, and outcomes. A random-effects model to pool the incidence rate of hemorrhagic PRES and heterogeneity was assessed using the I2 statistic. The Joanna Briggs Institute scale for case reports/series and the Newcastle-Ottawa scale for cohort studies were used for quality and risk of bias assessment.

Results: A total of 63 individual records and 12 cohort studies were reviewed. Hypertension at arrival was seen in > 90% of cases. Overall, 60.3% of cases occurred in women and the average age was 39.3, with a 12.7% mortality rate. The incidence rate of hemorrhagic PRES was found to be approximately 17%, with significant heterogeneity among the included studies (I2 = 67%). Seizures (31.7%), headaches (33.3%), and altered mental status (30.1%) were the most reported symptoms. Hypertension (31.7%), immunosuppressive therapy (23.8%), and coagulopathy (11.1%) were identified as the most common risk factors. Hemorrhagic findings included intraparenchymal hemorrhage (77.7%), subarachnoid hemorrhage (15.8%), and microhemorrhages (6.3%).

Conclusions: Hemorrhagic PRES is a significant clinical concern, occurring in approximately 17% of PRES cases, and is often associated with poorer outcomes. We highlight the importance of early recognition, aggressive blood pressure control, and careful monitoring in high-risk patients.

求助全文
通过发布文献求助,成功后即可免费获取论文全文。 去求助
来源期刊
Annals of Medicine and Surgery
Annals of Medicine and Surgery MEDICINE, GENERAL & INTERNAL-
自引率
5.90%
发文量
1665
×
引用
GB/T 7714-2015
复制
MLA
复制
APA
复制
导出至
BibTeX EndNote RefMan NoteFirst NoteExpress
×
提示
您的信息不完整,为了账户安全,请先补充。
现在去补充
×
提示
您因"违规操作"
具体请查看互助需知
我知道了
×
提示
确定
请完成安全验证×
copy
已复制链接
快去分享给好友吧!
我知道了
右上角分享
点击右上角分享
0
联系我们:info@booksci.cn Book学术提供免费学术资源搜索服务,方便国内外学者检索中英文文献。致力于提供最便捷和优质的服务体验。 Copyright © 2023 布克学术 All rights reserved.
京ICP备2023020795号-1
ghs 京公网安备 11010802042870号
Book学术文献互助
Book学术文献互助群
群 号:604180095
Book学术官方微信