机器学习预测新鲜IVF/ICSI-ET后子宫内膜异位症患者的临床妊娠。

IF 3.4 3区 医学 Q2 MEDICINE, RESEARCH & EXPERIMENTAL
Xiaoju Wan, Min Yu, Xingwu Wu, Zhihui Huang, Jun Tan
{"title":"机器学习预测新鲜IVF/ICSI-ET后子宫内膜异位症患者的临床妊娠。","authors":"Xiaoju Wan, Min Yu, Xingwu Wu, Zhihui Huang, Jun Tan","doi":"10.1186/s40001-025-03113-1","DOIUrl":null,"url":null,"abstract":"<p><strong>Background: </strong>Fresh embryo transfer reduces waiting time and minimizes embryo cryodamage for endometriosis (EM) patients. The current prediction models for fresh embryo transfer outcomes in EM primarily rely on logistic regression, with limited application of machine learning (ML) approaches. This study aimed to develop an ML-based predictive model for clinical pregnancy in EM patients undergoing fresh embryo transfer.</p><p><strong>Methods: </strong>A retrospective analysis included 1752 EM patients undergoing IVF/ICSI with fresh embryo transfer (2014-2024). Twenty-four clinical and embryonic characteristics were predictors; clinical pregnancy was the outcome. Six ML models-Naïve Bayes, Logistic Regression, Random Forest, k-Nearest Neighbors, Neural Network, and eXtreme Gradient Boosting (XGBoost)-were developed and compared. Feature selection involved logistic regression and Random Forest recursive feature elimination, with tenfold cross-validation.</p><p><strong>Results: </strong>Male age (OR = 0.96, 95% CI 0.93-0.98, p < 0.001), normal fertilization count (OR = 1.07, 95% CI 1.03-1.11, p = 0.001), and transferred embryo count (OR = 1.61, 95% CI 1.24-2.08, p < 0.001) significantly predicted clinical pregnancy. The XGBoost model demonstrated optimal performance (training AUC: 0.764; testing AUC: 0.622). Shapley Additive Explanations (SHAP) provided model interpretability.</p><p><strong>Conclusions: </strong>An XGBoost-based model effectively predicts clinical pregnancy in EM patients after fresh embryo transfer, showing acceptable performance and interpretability.</p>","PeriodicalId":11949,"journal":{"name":"European Journal of Medical Research","volume":"30 1","pages":"838"},"PeriodicalIF":3.4000,"publicationDate":"2025-09-03","publicationTypes":"Journal Article","fieldsOfStudy":null,"isOpenAccess":false,"openAccessPdf":"https://www.ncbi.nlm.nih.gov/pmc/articles/PMC12406419/pdf/","citationCount":"0","resultStr":"{\"title\":\"Machine learning prediction of clinical pregnancy in endometriosis patients following fresh IVF/ICSI-ET.\",\"authors\":\"Xiaoju Wan, Min Yu, Xingwu Wu, Zhihui Huang, Jun Tan\",\"doi\":\"10.1186/s40001-025-03113-1\",\"DOIUrl\":null,\"url\":null,\"abstract\":\"<p><strong>Background: </strong>Fresh embryo transfer reduces waiting time and minimizes embryo cryodamage for endometriosis (EM) patients. The current prediction models for fresh embryo transfer outcomes in EM primarily rely on logistic regression, with limited application of machine learning (ML) approaches. This study aimed to develop an ML-based predictive model for clinical pregnancy in EM patients undergoing fresh embryo transfer.</p><p><strong>Methods: </strong>A retrospective analysis included 1752 EM patients undergoing IVF/ICSI with fresh embryo transfer (2014-2024). Twenty-four clinical and embryonic characteristics were predictors; clinical pregnancy was the outcome. Six ML models-Naïve Bayes, Logistic Regression, Random Forest, k-Nearest Neighbors, Neural Network, and eXtreme Gradient Boosting (XGBoost)-were developed and compared. Feature selection involved logistic regression and Random Forest recursive feature elimination, with tenfold cross-validation.</p><p><strong>Results: </strong>Male age (OR = 0.96, 95% CI 0.93-0.98, p < 0.001), normal fertilization count (OR = 1.07, 95% CI 1.03-1.11, p = 0.001), and transferred embryo count (OR = 1.61, 95% CI 1.24-2.08, p < 0.001) significantly predicted clinical pregnancy. The XGBoost model demonstrated optimal performance (training AUC: 0.764; testing AUC: 0.622). Shapley Additive Explanations (SHAP) provided model interpretability.</p><p><strong>Conclusions: </strong>An XGBoost-based model effectively predicts clinical pregnancy in EM patients after fresh embryo transfer, showing acceptable performance and interpretability.</p>\",\"PeriodicalId\":11949,\"journal\":{\"name\":\"European Journal of Medical Research\",\"volume\":\"30 1\",\"pages\":\"838\"},\"PeriodicalIF\":3.4000,\"publicationDate\":\"2025-09-03\",\"publicationTypes\":\"Journal Article\",\"fieldsOfStudy\":null,\"isOpenAccess\":false,\"openAccessPdf\":\"https://www.ncbi.nlm.nih.gov/pmc/articles/PMC12406419/pdf/\",\"citationCount\":\"0\",\"resultStr\":null,\"platform\":\"Semanticscholar\",\"paperid\":null,\"PeriodicalName\":\"European Journal of Medical Research\",\"FirstCategoryId\":\"3\",\"ListUrlMain\":\"https://doi.org/10.1186/s40001-025-03113-1\",\"RegionNum\":3,\"RegionCategory\":\"医学\",\"ArticlePicture\":[],\"TitleCN\":null,\"AbstractTextCN\":null,\"PMCID\":null,\"EPubDate\":\"\",\"PubModel\":\"\",\"JCR\":\"Q2\",\"JCRName\":\"MEDICINE, RESEARCH & EXPERIMENTAL\",\"Score\":null,\"Total\":0}","platform":"Semanticscholar","paperid":null,"PeriodicalName":"European Journal of Medical Research","FirstCategoryId":"3","ListUrlMain":"https://doi.org/10.1186/s40001-025-03113-1","RegionNum":3,"RegionCategory":"医学","ArticlePicture":[],"TitleCN":null,"AbstractTextCN":null,"PMCID":null,"EPubDate":"","PubModel":"","JCR":"Q2","JCRName":"MEDICINE, RESEARCH & EXPERIMENTAL","Score":null,"Total":0}
引用次数: 0

摘要

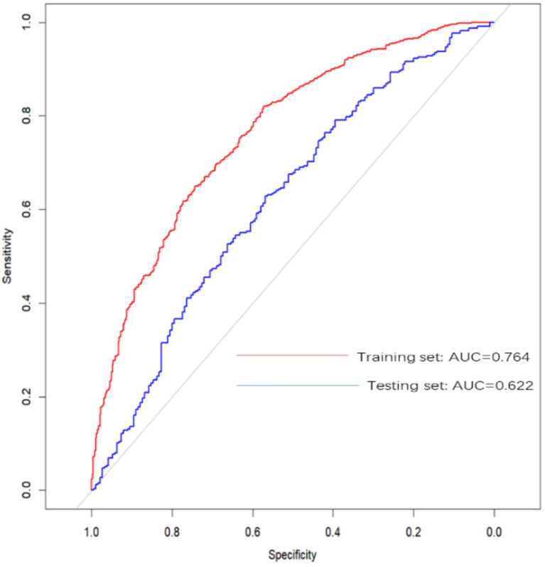
背景:新鲜胚胎移植减少了子宫内膜异位症(EM)患者的等待时间并最大限度地减少了胚胎冷冻损伤。目前对EM中新鲜胚胎移植结果的预测模型主要依赖于逻辑回归,机器学习(ML)方法的应用有限。本研究旨在建立一种基于ml的EM患者新鲜胚胎移植临床妊娠预测模型。方法:回顾性分析2014-2024年1752例体外受精/ICSI合并新鲜胚胎移植的EM患者。24项临床和胚胎特征是预测因素;结果是临床妊娠。6 ML models-Naïve贝叶斯,逻辑回归,随机森林,k近邻,神经网络和极端梯度增强(XGBoost)-开发和比较。特征选择涉及逻辑回归和随机森林递归特征消除,具有十倍交叉验证。结果:男性年龄(OR = 0.96, 95% CI 0.93-0.98, p)结论:基于xgboost的模型能有效预测EM患者新鲜胚胎移植后的临床妊娠,表现出可接受的性能和可解释性。
本文章由计算机程序翻译,如有差异,请以英文原文为准。

Machine learning prediction of clinical pregnancy in endometriosis patients following fresh IVF/ICSI-ET.

Machine learning prediction of clinical pregnancy in endometriosis patients following fresh IVF/ICSI-ET.

Machine learning prediction of clinical pregnancy in endometriosis patients following fresh IVF/ICSI-ET.

Machine learning prediction of clinical pregnancy in endometriosis patients following fresh IVF/ICSI-ET.

Background: Fresh embryo transfer reduces waiting time and minimizes embryo cryodamage for endometriosis (EM) patients. The current prediction models for fresh embryo transfer outcomes in EM primarily rely on logistic regression, with limited application of machine learning (ML) approaches. This study aimed to develop an ML-based predictive model for clinical pregnancy in EM patients undergoing fresh embryo transfer.

Methods: A retrospective analysis included 1752 EM patients undergoing IVF/ICSI with fresh embryo transfer (2014-2024). Twenty-four clinical and embryonic characteristics were predictors; clinical pregnancy was the outcome. Six ML models-Naïve Bayes, Logistic Regression, Random Forest, k-Nearest Neighbors, Neural Network, and eXtreme Gradient Boosting (XGBoost)-were developed and compared. Feature selection involved logistic regression and Random Forest recursive feature elimination, with tenfold cross-validation.

Results: Male age (OR = 0.96, 95% CI 0.93-0.98, p < 0.001), normal fertilization count (OR = 1.07, 95% CI 1.03-1.11, p = 0.001), and transferred embryo count (OR = 1.61, 95% CI 1.24-2.08, p < 0.001) significantly predicted clinical pregnancy. The XGBoost model demonstrated optimal performance (training AUC: 0.764; testing AUC: 0.622). Shapley Additive Explanations (SHAP) provided model interpretability.

Conclusions: An XGBoost-based model effectively predicts clinical pregnancy in EM patients after fresh embryo transfer, showing acceptable performance and interpretability.

求助全文
通过发布文献求助,成功后即可免费获取论文全文。 去求助
来源期刊
European Journal of Medical Research
European Journal of Medical Research 医学-医学:研究与实验
CiteScore
3.20
自引率
0.00%
发文量
247
审稿时长
>12 weeks
期刊介绍: European Journal of Medical Research publishes translational and clinical research of international interest across all medical disciplines, enabling clinicians and other researchers to learn about developments and innovations within these disciplines and across the boundaries between disciplines. The journal publishes high quality research and reviews and aims to ensure that the results of all well-conducted research are published, regardless of their outcome.
×
引用
GB/T 7714-2015
复制
MLA
复制
APA
复制
导出至
BibTeX EndNote RefMan NoteFirst NoteExpress
×
提示
您的信息不完整,为了账户安全,请先补充。
现在去补充
×
提示
您因"违规操作"
具体请查看互助需知
我知道了
×
提示
确定
请完成安全验证×
copy
已复制链接
快去分享给好友吧!
我知道了
右上角分享
点击右上角分享
0
联系我们:info@booksci.cn Book学术提供免费学术资源搜索服务,方便国内外学者检索中英文文献。致力于提供最便捷和优质的服务体验。 Copyright © 2023 布克学术 All rights reserved.
京ICP备2023020795号-1
ghs 京公网安备 11010802042870号
Book学术文献互助
Book学术文献互助群
群 号:604180095
Book学术官方微信