原发性粒细胞集落刺激因子(G-CSF)预防在接受R-CHOP-21方案的弥漫性大b细胞淋巴瘤患者化疗引起的发热性中性粒细胞减少症中的作用

IF 0.9 4区 医学 Q4 MEDICINE, RESEARCH & EXPERIMENTAL
Asian Biomedicine Pub Date : 2025-09-02 eCollection Date: 2025-08-01 DOI:10.2478/abm-2025-0021
Pannathorn Nakaphan, Noppacharn Uaprasert
{"title":"原发性粒细胞集落刺激因子(G-CSF)预防在接受R-CHOP-21方案的弥漫性大b细胞淋巴瘤患者化疗引起的发热性中性粒细胞减少症中的作用","authors":"Pannathorn Nakaphan, Noppacharn Uaprasert","doi":"10.2478/abm-2025-0021","DOIUrl":null,"url":null,"abstract":"<p><strong>Background: </strong>Primary prophylaxis with granulocyte colony-stimulating factor (G-CSF) in diffuse large B-cell lymphoma (DLBCL) patients undergoing rituximab-cyclophosphamide-doxorubicin-vincristine-prednisolone every 21 d (R-CHOP-21) chemotherapy varies based on physician discretion.</p><p><strong>Objectives: </strong>The present study aims to investigate the impact of primary G-CSF prophylaxis on febrile neutropenia (FN) and other outcomes in DLBCL patients receiving R-CHOP-21 in real-world practice.</p><p><strong>Methods: </strong>Medical records of 103 newly diagnosed DLBCL patients, aged 18-80 years, were retrospectively analyzed. Seventy-four patients received primary G-CSF prophylaxis (prophylaxis group), while 29 patients did not receive prophylaxis (non-prophylaxis group). The occurrence of FN and other outcomes was compared between the two groups.</p><p><strong>Results: </strong>The prophylaxis group had older patients (median ± interquartile ranges [IQR], 63 ± 12 years vs. 50 ± 15 years, <i>P</i> < 0.001). The incidence of FN after the first R-CHOP was not statistically significant between groups (8.3% vs. 17.2%, <i>P</i> = 0.177). However, FN events were significantly higher in non-prophylaxis cycles (7.40%) compared with prophylaxis cycles (2.70%) (<i>P</i> = 0.027). Cumulative FN events were lower in the prophylaxis group (14.9%) than in the non-prophylaxis group (27.6%) (<i>P</i> = 0.134). FN-free survival was not significantly different between prophylaxis and non-prophylaxis groups (hazard ratio [HR], 0.48; 95% confidence interval [95%CI], 0.17-1.35), while primary G-CSF prophylaxis significantly improved event-free survival (HR, 0.36; 95%CI, 0.16-0.84).</p><p><strong>Conclusions: </strong>Primary G-CSF prophylaxis may reduce the risk of FN in DLBCL patients undergoing R-CHOP-21 treatment. The present study highlights the importance of primary G-CSF prophylaxis, especially for those at high risk of FN.</p>","PeriodicalId":8501,"journal":{"name":"Asian Biomedicine","volume":"19 4","pages":"165-173"},"PeriodicalIF":0.9000,"publicationDate":"2025-09-02","publicationTypes":"Journal Article","fieldsOfStudy":null,"isOpenAccess":false,"openAccessPdf":"https://www.ncbi.nlm.nih.gov/pmc/articles/PMC12404653/pdf/","citationCount":"0","resultStr":"{\"title\":\"Effects of primary granulocyte colony-stimulating factor (G-CSF) prophylaxis for chemotherapy-induced febrile neutropenia in diffuse large B-cell lymphoma patients receiving the R-CHOP-21 regimen.\",\"authors\":\"Pannathorn Nakaphan, Noppacharn Uaprasert\",\"doi\":\"10.2478/abm-2025-0021\",\"DOIUrl\":null,\"url\":null,\"abstract\":\"<p><strong>Background: </strong>Primary prophylaxis with granulocyte colony-stimulating factor (G-CSF) in diffuse large B-cell lymphoma (DLBCL) patients undergoing rituximab-cyclophosphamide-doxorubicin-vincristine-prednisolone every 21 d (R-CHOP-21) chemotherapy varies based on physician discretion.</p><p><strong>Objectives: </strong>The present study aims to investigate the impact of primary G-CSF prophylaxis on febrile neutropenia (FN) and other outcomes in DLBCL patients receiving R-CHOP-21 in real-world practice.</p><p><strong>Methods: </strong>Medical records of 103 newly diagnosed DLBCL patients, aged 18-80 years, were retrospectively analyzed. Seventy-four patients received primary G-CSF prophylaxis (prophylaxis group), while 29 patients did not receive prophylaxis (non-prophylaxis group). The occurrence of FN and other outcomes was compared between the two groups.</p><p><strong>Results: </strong>The prophylaxis group had older patients (median ± interquartile ranges [IQR], 63 ± 12 years vs. 50 ± 15 years, <i>P</i> < 0.001). The incidence of FN after the first R-CHOP was not statistically significant between groups (8.3% vs. 17.2%, <i>P</i> = 0.177). However, FN events were significantly higher in non-prophylaxis cycles (7.40%) compared with prophylaxis cycles (2.70%) (<i>P</i> = 0.027). Cumulative FN events were lower in the prophylaxis group (14.9%) than in the non-prophylaxis group (27.6%) (<i>P</i> = 0.134). FN-free survival was not significantly different between prophylaxis and non-prophylaxis groups (hazard ratio [HR], 0.48; 95% confidence interval [95%CI], 0.17-1.35), while primary G-CSF prophylaxis significantly improved event-free survival (HR, 0.36; 95%CI, 0.16-0.84).</p><p><strong>Conclusions: </strong>Primary G-CSF prophylaxis may reduce the risk of FN in DLBCL patients undergoing R-CHOP-21 treatment. The present study highlights the importance of primary G-CSF prophylaxis, especially for those at high risk of FN.</p>\",\"PeriodicalId\":8501,\"journal\":{\"name\":\"Asian Biomedicine\",\"volume\":\"19 4\",\"pages\":\"165-173\"},\"PeriodicalIF\":0.9000,\"publicationDate\":\"2025-09-02\",\"publicationTypes\":\"Journal Article\",\"fieldsOfStudy\":null,\"isOpenAccess\":false,\"openAccessPdf\":\"https://www.ncbi.nlm.nih.gov/pmc/articles/PMC12404653/pdf/\",\"citationCount\":\"0\",\"resultStr\":null,\"platform\":\"Semanticscholar\",\"paperid\":null,\"PeriodicalName\":\"Asian Biomedicine\",\"FirstCategoryId\":\"3\",\"ListUrlMain\":\"https://doi.org/10.2478/abm-2025-0021\",\"RegionNum\":4,\"RegionCategory\":\"医学\",\"ArticlePicture\":[],\"TitleCN\":null,\"AbstractTextCN\":null,\"PMCID\":null,\"EPubDate\":\"2025/8/1 0:00:00\",\"PubModel\":\"eCollection\",\"JCR\":\"Q4\",\"JCRName\":\"MEDICINE, RESEARCH & EXPERIMENTAL\",\"Score\":null,\"Total\":0}","platform":"Semanticscholar","paperid":null,"PeriodicalName":"Asian Biomedicine","FirstCategoryId":"3","ListUrlMain":"https://doi.org/10.2478/abm-2025-0021","RegionNum":4,"RegionCategory":"医学","ArticlePicture":[],"TitleCN":null,"AbstractTextCN":null,"PMCID":null,"EPubDate":"2025/8/1 0:00:00","PubModel":"eCollection","JCR":"Q4","JCRName":"MEDICINE, RESEARCH & EXPERIMENTAL","Score":null,"Total":0}
引用次数: 0

摘要

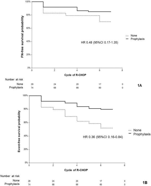
背景:弥漫性大b细胞淋巴瘤(DLBCL)患者每21天接受利妥昔单抗-环磷酰胺-阿霉素-长春新碱-强的松龙(R-CHOP-21)化疗时,粒细胞集落刺激因子(G-CSF)的初级预防取决于医生的判断。目的:本研究旨在探讨原发性G-CSF预防对现实生活中接受R-CHOP-21治疗的DLBCL患者发热性中性粒细胞减少症(FN)和其他结局的影响。方法:回顾性分析103例18 ~ 80岁新诊断的DLBCL患者的病历资料。74例患者接受了初级G-CSF预防(预防组),29例患者未接受预防(非预防组)。比较两组FN发生情况及其他结局。结果:预防组患者年龄较大(中位数±四分位数间距[IQR], 63±12岁vs 50±15岁,P < 0.001)。第一次R-CHOP术后FN发生率组间比较无统计学意义(8.3% vs. 17.2%, P = 0.177)。然而,非预防周期FN事件(7.40%)明显高于预防周期(2.70%)(P = 0.027)。预防组的累积FN事件(14.9%)低于非预防组(27.6%)(P = 0.134)。预防组和非预防组无fn生存率无显著差异(风险比[HR], 0.48; 95%可信区间[95% ci], 0.17-1.35),而初级G-CSF预防组显著改善无事件生存率(HR, 0.36; 95% ci, 0.16-0.84)。结论:原发性G-CSF预防可降低接受R-CHOP-21治疗的DLBCL患者FN的风险。目前的研究强调了初级G-CSF预防的重要性,特别是对于FN高危人群。
本文章由计算机程序翻译,如有差异,请以英文原文为准。

Effects of primary granulocyte colony-stimulating factor (G-CSF) prophylaxis for chemotherapy-induced febrile neutropenia in diffuse large B-cell lymphoma patients receiving the R-CHOP-21 regimen.

Effects of primary granulocyte colony-stimulating factor (G-CSF) prophylaxis for chemotherapy-induced febrile neutropenia in diffuse large B-cell lymphoma patients receiving the R-CHOP-21 regimen.

Background: Primary prophylaxis with granulocyte colony-stimulating factor (G-CSF) in diffuse large B-cell lymphoma (DLBCL) patients undergoing rituximab-cyclophosphamide-doxorubicin-vincristine-prednisolone every 21 d (R-CHOP-21) chemotherapy varies based on physician discretion.

Objectives: The present study aims to investigate the impact of primary G-CSF prophylaxis on febrile neutropenia (FN) and other outcomes in DLBCL patients receiving R-CHOP-21 in real-world practice.

Methods: Medical records of 103 newly diagnosed DLBCL patients, aged 18-80 years, were retrospectively analyzed. Seventy-four patients received primary G-CSF prophylaxis (prophylaxis group), while 29 patients did not receive prophylaxis (non-prophylaxis group). The occurrence of FN and other outcomes was compared between the two groups.

Results: The prophylaxis group had older patients (median ± interquartile ranges [IQR], 63 ± 12 years vs. 50 ± 15 years, P < 0.001). The incidence of FN after the first R-CHOP was not statistically significant between groups (8.3% vs. 17.2%, P = 0.177). However, FN events were significantly higher in non-prophylaxis cycles (7.40%) compared with prophylaxis cycles (2.70%) (P = 0.027). Cumulative FN events were lower in the prophylaxis group (14.9%) than in the non-prophylaxis group (27.6%) (P = 0.134). FN-free survival was not significantly different between prophylaxis and non-prophylaxis groups (hazard ratio [HR], 0.48; 95% confidence interval [95%CI], 0.17-1.35), while primary G-CSF prophylaxis significantly improved event-free survival (HR, 0.36; 95%CI, 0.16-0.84).

Conclusions: Primary G-CSF prophylaxis may reduce the risk of FN in DLBCL patients undergoing R-CHOP-21 treatment. The present study highlights the importance of primary G-CSF prophylaxis, especially for those at high risk of FN.

求助全文
通过发布文献求助,成功后即可免费获取论文全文。 去求助
来源期刊
Asian Biomedicine
Asian Biomedicine 医学-医学:研究与实验
CiteScore
1.20
自引率
0.00%
发文量
24
审稿时长
6-12 weeks
期刊介绍: Asian Biomedicine: Research, Reviews and News (ISSN 1905-7415 print; 1875-855X online) is published in one volume (of 6 bimonthly issues) a year since 2007. [...]Asian Biomedicine is an international, general medical and biomedical journal that aims to publish original peer-reviewed contributions dealing with various topics in the biomedical and health sciences from basic experimental to clinical aspects. The work and authorship must be strongly affiliated with a country in Asia, or with specific importance and relevance to the Asian region. The Journal will publish reviews, original experimental studies, observational studies, technical and clinical (case) reports, practice guidelines, historical perspectives of Asian biomedicine, clinicopathological conferences, and commentaries Asian biomedicine is intended for a broad and international audience, primarily those in the health professions including researchers, physician practitioners, basic medical scientists, dentists, educators, administrators, those in the assistive professions, such as nurses, and the many types of allied health professionals in research and health care delivery systems including those in training.
×
引用
GB/T 7714-2015
复制
MLA
复制
APA
复制
导出至
BibTeX EndNote RefMan NoteFirst NoteExpress
×
提示
您的信息不完整,为了账户安全,请先补充。
现在去补充
×
提示
您因"违规操作"
具体请查看互助需知
我知道了
×
提示
确定
请完成安全验证×
copy
已复制链接
快去分享给好友吧!
我知道了
右上角分享
点击右上角分享
0
联系我们:info@booksci.cn Book学术提供免费学术资源搜索服务,方便国内外学者检索中英文文献。致力于提供最便捷和优质的服务体验。 Copyright © 2023 布克学术 All rights reserved.
京ICP备2023020795号-1
ghs 京公网安备 11010802042870号
Book学术文献互助
Book学术文献互助群
群 号:604180095
Book学术官方微信