父母的宗教信仰在塑造父亲投资中的作用:来自孟加拉国和印度的证据。

IF 3.5
Proceedings. Biological sciences Pub Date : 2025-08-01 Epub Date: 2025-08-20 DOI:10.1098/rspb.2025.1352
Radim Chvaja, John H Shaver, Laure Spake, Anushe Hassan, Nurul Alam, Rajesh Kumar Rai, Rebecca Sear, Richard Sosis, Mary Katherine Shenk
{"title":"父母的宗教信仰在塑造父亲投资中的作用:来自孟加拉国和印度的证据。","authors":"Radim Chvaja, John H Shaver, Laure Spake, Anushe Hassan, Nurul Alam, Rajesh Kumar Rai, Rebecca Sear, Richard Sosis, Mary Katherine Shenk","doi":"10.1098/rspb.2025.1352","DOIUrl":null,"url":null,"abstract":"<p><p>Among humans, paternal investment has been shown to enhance both fertility and offspring survival. While psychological and ecological influences on human paternal investment are relatively well documented, cultural influences remain less well understood. It has been proposed that religion can be an important socio-cultural factor shaping paternal investment. First, religions often instill pro-family values in fathers, potentially increasing their investment. Second, if religions promote pro-family values in mothers, these values may be communicated through religious behaviours, encouraging greater paternal investment. Alternatively, fathers may use maternal religiosity as a strategic cue of maternal pro-family commitment to reduce their own investment, shifting responsibility to mothers. To evaluate these hypotheses, we analyse data from 1238 children under 17 years old across 822 households in India and Bangladesh. Our findings suggest that in India, paternal religiosity is positively associated with fathers' housework assistance and emotional support to mothers. In Bangladesh, maternal religiosity is positively associated with paternal emotional support to mothers and child provisioning. In both countries, maternal religiosity positively associates with paternal investment among the most religious fathers. These findings indicate that religion plays a complex role in paternal investment, shaped by the interplay of parental religiosity and socio-ecological context.</p>","PeriodicalId":520757,"journal":{"name":"Proceedings. Biological sciences","volume":"292 2053","pages":"20251352"},"PeriodicalIF":3.5000,"publicationDate":"2025-08-01","publicationTypes":"Journal Article","fieldsOfStudy":null,"isOpenAccess":false,"openAccessPdf":"https://www.ncbi.nlm.nih.gov/pmc/articles/PMC12365927/pdf/","citationCount":"0","resultStr":"{\"title\":\"The role of parental religiosity in shaping paternal investment: evidence from Bangladesh and India.\",\"authors\":\"Radim Chvaja, John H Shaver, Laure Spake, Anushe Hassan, Nurul Alam, Rajesh Kumar Rai, Rebecca Sear, Richard Sosis, Mary Katherine Shenk\",\"doi\":\"10.1098/rspb.2025.1352\",\"DOIUrl\":null,\"url\":null,\"abstract\":\"<p><p>Among humans, paternal investment has been shown to enhance both fertility and offspring survival. While psychological and ecological influences on human paternal investment are relatively well documented, cultural influences remain less well understood. It has been proposed that religion can be an important socio-cultural factor shaping paternal investment. First, religions often instill pro-family values in fathers, potentially increasing their investment. Second, if religions promote pro-family values in mothers, these values may be communicated through religious behaviours, encouraging greater paternal investment. Alternatively, fathers may use maternal religiosity as a strategic cue of maternal pro-family commitment to reduce their own investment, shifting responsibility to mothers. To evaluate these hypotheses, we analyse data from 1238 children under 17 years old across 822 households in India and Bangladesh. Our findings suggest that in India, paternal religiosity is positively associated with fathers' housework assistance and emotional support to mothers. In Bangladesh, maternal religiosity is positively associated with paternal emotional support to mothers and child provisioning. In both countries, maternal religiosity positively associates with paternal investment among the most religious fathers. These findings indicate that religion plays a complex role in paternal investment, shaped by the interplay of parental religiosity and socio-ecological context.</p>\",\"PeriodicalId\":520757,\"journal\":{\"name\":\"Proceedings. Biological sciences\",\"volume\":\"292 2053\",\"pages\":\"20251352\"},\"PeriodicalIF\":3.5000,\"publicationDate\":\"2025-08-01\",\"publicationTypes\":\"Journal Article\",\"fieldsOfStudy\":null,\"isOpenAccess\":false,\"openAccessPdf\":\"https://www.ncbi.nlm.nih.gov/pmc/articles/PMC12365927/pdf/\",\"citationCount\":\"0\",\"resultStr\":null,\"platform\":\"Semanticscholar\",\"paperid\":null,\"PeriodicalName\":\"Proceedings. Biological sciences\",\"FirstCategoryId\":\"1085\",\"ListUrlMain\":\"https://doi.org/10.1098/rspb.2025.1352\",\"RegionNum\":0,\"RegionCategory\":null,\"ArticlePicture\":[],\"TitleCN\":null,\"AbstractTextCN\":null,\"PMCID\":null,\"EPubDate\":\"2025/8/20 0:00:00\",\"PubModel\":\"Epub\",\"JCR\":\"\",\"JCRName\":\"\",\"Score\":null,\"Total\":0}","platform":"Semanticscholar","paperid":null,"PeriodicalName":"Proceedings. Biological sciences","FirstCategoryId":"1085","ListUrlMain":"https://doi.org/10.1098/rspb.2025.1352","RegionNum":0,"RegionCategory":null,"ArticlePicture":[],"TitleCN":null,"AbstractTextCN":null,"PMCID":null,"EPubDate":"2025/8/20 0:00:00","PubModel":"Epub","JCR":"","JCRName":"","Score":null,"Total":0}
引用次数: 0

摘要

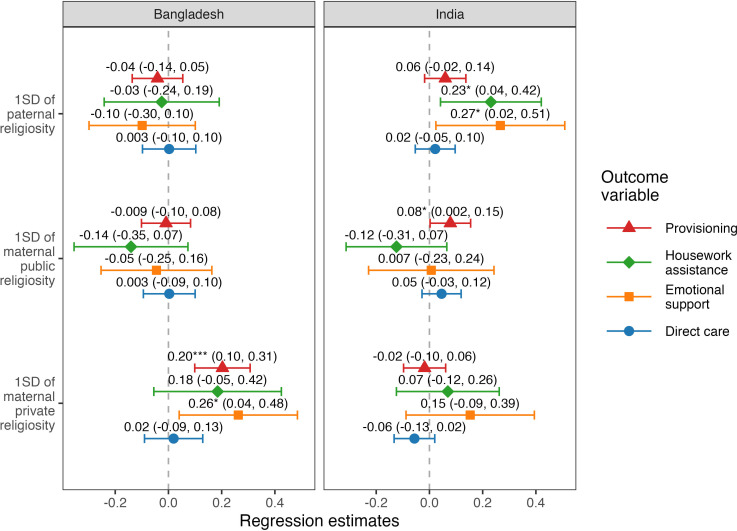
在人类中,父系投资已被证明可以提高生育能力和后代存活率。虽然对人类父系投资的心理和生态影响已经有了较好的记录,但文化影响仍然不太清楚。有人提出,宗教可能是影响父系投资的重要社会文化因素。首先,宗教通常会向父亲灌输亲家庭的价值观,潜在地增加他们的投资。其次,如果宗教促进母亲的亲家庭价值观,这些价值观可能通过宗教行为传播,鼓励更多的父亲投资。或者,父亲可以将母亲的宗教虔诚作为母亲亲家庭承诺的战略暗示,以减少自己的投资,将责任转移给母亲。为了评估这些假设,我们分析了来自印度和孟加拉国822个家庭的1238名17岁以下儿童的数据。我们的研究结果表明,在印度,父亲的宗教信仰与父亲对母亲的家务帮助和情感支持呈正相关。在孟加拉国,母亲的宗教虔诚度与父亲对母亲的情感支持和儿童供给呈正相关。在这两个国家,在最虔诚的父亲中,母亲的宗教虔诚度与父亲的投资呈正相关。这些发现表明,宗教在父亲的投资中起着复杂的作用,这是由父母的宗教信仰和社会生态环境的相互作用形成的。
本文章由计算机程序翻译,如有差异,请以英文原文为准。

The role of parental religiosity in shaping paternal investment: evidence from Bangladesh and India.

The role of parental religiosity in shaping paternal investment: evidence from Bangladesh and India.

The role of parental religiosity in shaping paternal investment: evidence from Bangladesh and India.

The role of parental religiosity in shaping paternal investment: evidence from Bangladesh and India.

Among humans, paternal investment has been shown to enhance both fertility and offspring survival. While psychological and ecological influences on human paternal investment are relatively well documented, cultural influences remain less well understood. It has been proposed that religion can be an important socio-cultural factor shaping paternal investment. First, religions often instill pro-family values in fathers, potentially increasing their investment. Second, if religions promote pro-family values in mothers, these values may be communicated through religious behaviours, encouraging greater paternal investment. Alternatively, fathers may use maternal religiosity as a strategic cue of maternal pro-family commitment to reduce their own investment, shifting responsibility to mothers. To evaluate these hypotheses, we analyse data from 1238 children under 17 years old across 822 households in India and Bangladesh. Our findings suggest that in India, paternal religiosity is positively associated with fathers' housework assistance and emotional support to mothers. In Bangladesh, maternal religiosity is positively associated with paternal emotional support to mothers and child provisioning. In both countries, maternal religiosity positively associates with paternal investment among the most religious fathers. These findings indicate that religion plays a complex role in paternal investment, shaped by the interplay of parental religiosity and socio-ecological context.

求助全文
通过发布文献求助,成功后即可免费获取论文全文。 去求助
来源期刊
自引率
0.00%
发文量
0
×
引用
GB/T 7714-2015
复制
MLA
复制
APA
复制
导出至
BibTeX EndNote RefMan NoteFirst NoteExpress
×
提示
您的信息不完整,为了账户安全,请先补充。
现在去补充
×
提示
您因"违规操作"
具体请查看互助需知
我知道了
×
提示
确定
请完成安全验证×
copy
已复制链接
快去分享给好友吧!
我知道了
右上角分享
点击右上角分享
0
联系我们:info@booksci.cn Book学术提供免费学术资源搜索服务,方便国内外学者检索中英文文献。致力于提供最便捷和优质的服务体验。 Copyright © 2023 布克学术 All rights reserved.
京ICP备2023020795号-1
ghs 京公网安备 11010802042870号
Book学术文献互助
Book学术文献互助群
群 号:604180095
Book学术官方微信