温度的变化而非日粮的变化决定了纬向性状的稳定性及其可塑性。

IF 3.5
Proceedings. Biological sciences Pub Date : 2025-09-01 Epub Date: 2025-09-03 DOI:10.1098/rspb.2025.1337
Greg M Walter, Avishikta Chakraborty, Fiona E Cockerell, Vanessa M Kellermann, Matthew D Hall, Craig R White, Carla M Sgrò
{"title":"温度的变化而非日粮的变化决定了纬向性状的稳定性及其可塑性。","authors":"Greg M Walter, Avishikta Chakraborty, Fiona E Cockerell, Vanessa M Kellermann, Matthew D Hall, Craig R White, Carla M Sgrò","doi":"10.1098/rspb.2025.1337","DOIUrl":null,"url":null,"abstract":"<p><p>Latitudinal clines are routinely used as evidence of adaptation across broad climatic gradients. However, if environmental variation influences the strength of latitudinal clines, then clinal patterns will be unstable, and using patterns of adaptation to predict population responses to global change will be difficult. To test whether environmental variation influences latitudinal clines, we sampled five populations of <i>Drosophila melanogaster</i> spanning 3000 km of east coast Australia, and measured stress tolerance (heat, cold and desiccation) and body size on flies that developed in six combinations of temperature (13°C, 25°C and 29°C) and diet (standard and low-calorie) treatments. We found latitudinal clines where populations further from the equator had larger wings, higher cold tolerance and lower heat tolerance. For all traits, temperature determined the strength of latitudinal clines, whereas diet had little influence. Steeper clines often emerged in warmer treatments, created by latitudinal clines in plasticity. In the warmest temperature, higher latitude populations showed larger increases in heat tolerance, larger reductions in desiccation tolerance but smaller decreases in cold tolerance. Heat tolerance was the only trait that supported the climate variability hypothesis and a trade-off between plasticity and tolerance. Environment-dependent latitudinal clines are therefore likely to determine variation in population responses to global change.</p>","PeriodicalId":520757,"journal":{"name":"Proceedings. Biological sciences","volume":"292 2054","pages":"20251337"},"PeriodicalIF":3.5000,"publicationDate":"2025-09-01","publicationTypes":"Journal Article","fieldsOfStudy":null,"isOpenAccess":false,"openAccessPdf":"https://www.ncbi.nlm.nih.gov/pmc/articles/PMC12404823/pdf/","citationCount":"0","resultStr":"{\"title\":\"Variation in temperature but not diet determines the stability of latitudinal clines in tolerance traits and their plasticity.\",\"authors\":\"Greg M Walter, Avishikta Chakraborty, Fiona E Cockerell, Vanessa M Kellermann, Matthew D Hall, Craig R White, Carla M Sgrò\",\"doi\":\"10.1098/rspb.2025.1337\",\"DOIUrl\":null,\"url\":null,\"abstract\":\"<p><p>Latitudinal clines are routinely used as evidence of adaptation across broad climatic gradients. However, if environmental variation influences the strength of latitudinal clines, then clinal patterns will be unstable, and using patterns of adaptation to predict population responses to global change will be difficult. To test whether environmental variation influences latitudinal clines, we sampled five populations of <i>Drosophila melanogaster</i> spanning 3000 km of east coast Australia, and measured stress tolerance (heat, cold and desiccation) and body size on flies that developed in six combinations of temperature (13°C, 25°C and 29°C) and diet (standard and low-calorie) treatments. We found latitudinal clines where populations further from the equator had larger wings, higher cold tolerance and lower heat tolerance. For all traits, temperature determined the strength of latitudinal clines, whereas diet had little influence. Steeper clines often emerged in warmer treatments, created by latitudinal clines in plasticity. In the warmest temperature, higher latitude populations showed larger increases in heat tolerance, larger reductions in desiccation tolerance but smaller decreases in cold tolerance. Heat tolerance was the only trait that supported the climate variability hypothesis and a trade-off between plasticity and tolerance. Environment-dependent latitudinal clines are therefore likely to determine variation in population responses to global change.</p>\",\"PeriodicalId\":520757,\"journal\":{\"name\":\"Proceedings. Biological sciences\",\"volume\":\"292 2054\",\"pages\":\"20251337\"},\"PeriodicalIF\":3.5000,\"publicationDate\":\"2025-09-01\",\"publicationTypes\":\"Journal Article\",\"fieldsOfStudy\":null,\"isOpenAccess\":false,\"openAccessPdf\":\"https://www.ncbi.nlm.nih.gov/pmc/articles/PMC12404823/pdf/\",\"citationCount\":\"0\",\"resultStr\":null,\"platform\":\"Semanticscholar\",\"paperid\":null,\"PeriodicalName\":\"Proceedings. Biological sciences\",\"FirstCategoryId\":\"1085\",\"ListUrlMain\":\"https://doi.org/10.1098/rspb.2025.1337\",\"RegionNum\":0,\"RegionCategory\":null,\"ArticlePicture\":[],\"TitleCN\":null,\"AbstractTextCN\":null,\"PMCID\":null,\"EPubDate\":\"2025/9/3 0:00:00\",\"PubModel\":\"Epub\",\"JCR\":\"\",\"JCRName\":\"\",\"Score\":null,\"Total\":0}","platform":"Semanticscholar","paperid":null,"PeriodicalName":"Proceedings. Biological sciences","FirstCategoryId":"1085","ListUrlMain":"https://doi.org/10.1098/rspb.2025.1337","RegionNum":0,"RegionCategory":null,"ArticlePicture":[],"TitleCN":null,"AbstractTextCN":null,"PMCID":null,"EPubDate":"2025/9/3 0:00:00","PubModel":"Epub","JCR":"","JCRName":"","Score":null,"Total":0}
引用次数: 0

摘要

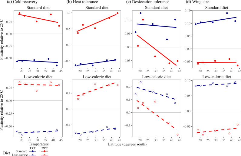
纬向线通常被用作跨大气候梯度适应的证据。然而,如果环境变化影响了纬向线的强度,那么纬向线格局将是不稳定的,并且使用适应格局来预测人口对全球变化的反应将是困难的。为了测试环境变化是否会影响纬度变化,我们对横跨澳大利亚东海岸3000公里的黑腹果蝇(Drosophila melanogaster)的5个种群进行了采样,并测量了果蝇在6种温度(13°C、25°C和29°C)和饮食(标准和低热量)处理下的耐受性(热、冷和干燥)和体型。我们发现,在纬度上,远离赤道的种群翅膀更大,耐寒性更高,耐热性更低。在各性状中,温度决定了纬向线的强度,而日粮对其影响不大。更陡峭的曲线经常出现在温暖的处理中,这是由可塑性的纬度曲线造成的。在最温暖的温度下,高纬度种群的耐热性提高幅度较大,干燥性降低幅度较大,而耐冷性降低幅度较小。耐热性是唯一支持气候变率假说和可塑性与耐受性之间权衡的性状。因此,依赖于环境的纬向线很可能决定人口对全球变化反应的变化。
本文章由计算机程序翻译,如有差异,请以英文原文为准。

Variation in temperature but not diet determines the stability of latitudinal clines in tolerance traits and their plasticity.

Variation in temperature but not diet determines the stability of latitudinal clines in tolerance traits and their plasticity.

Variation in temperature but not diet determines the stability of latitudinal clines in tolerance traits and their plasticity.

Variation in temperature but not diet determines the stability of latitudinal clines in tolerance traits and their plasticity.

Latitudinal clines are routinely used as evidence of adaptation across broad climatic gradients. However, if environmental variation influences the strength of latitudinal clines, then clinal patterns will be unstable, and using patterns of adaptation to predict population responses to global change will be difficult. To test whether environmental variation influences latitudinal clines, we sampled five populations of Drosophila melanogaster spanning 3000 km of east coast Australia, and measured stress tolerance (heat, cold and desiccation) and body size on flies that developed in six combinations of temperature (13°C, 25°C and 29°C) and diet (standard and low-calorie) treatments. We found latitudinal clines where populations further from the equator had larger wings, higher cold tolerance and lower heat tolerance. For all traits, temperature determined the strength of latitudinal clines, whereas diet had little influence. Steeper clines often emerged in warmer treatments, created by latitudinal clines in plasticity. In the warmest temperature, higher latitude populations showed larger increases in heat tolerance, larger reductions in desiccation tolerance but smaller decreases in cold tolerance. Heat tolerance was the only trait that supported the climate variability hypothesis and a trade-off between plasticity and tolerance. Environment-dependent latitudinal clines are therefore likely to determine variation in population responses to global change.

求助全文
通过发布文献求助,成功后即可免费获取论文全文。 去求助
来源期刊
自引率
0.00%
发文量
0
×
引用
GB/T 7714-2015
复制
MLA
复制
APA
复制
导出至
BibTeX EndNote RefMan NoteFirst NoteExpress
×
提示
您的信息不完整,为了账户安全,请先补充。
现在去补充
×
提示
您因"违规操作"
具体请查看互助需知
我知道了
×
提示
确定
请完成安全验证×
copy
已复制链接
快去分享给好友吧!
我知道了
右上角分享
点击右上角分享
0
联系我们:info@booksci.cn Book学术提供免费学术资源搜索服务,方便国内外学者检索中英文文献。致力于提供最便捷和优质的服务体验。 Copyright © 2023 布克学术 All rights reserved.
京ICP备2023020795号-1
ghs 京公网安备 11010802042870号
Book学术文献互助
Book学术文献互助群
群 号:604180095
Book学术官方微信