血液透析患者血液感染的临床特征、微生物学和结果——澳大利亚网络队列研究。

IF 1.9
Aliya N Bryce, Brett Sobey, Paul Kinsella, Steven Y C Tong, Nigel D Toussaint
{"title":"血液透析患者血液感染的临床特征、微生物学和结果——澳大利亚网络队列研究。","authors":"Aliya N Bryce, Brett Sobey, Paul Kinsella, Steven Y C Tong, Nigel D Toussaint","doi":"10.1111/nep.70113","DOIUrl":null,"url":null,"abstract":"<p><strong>Aim: </strong>This study reviewed the morbidity and mortality of bloodstream infections (BSIs) in patients with kidney failure receiving haemodialysis (HD).</p><p><strong>Methods: </strong>We conducted a retrospective cohort study reviewing clinical characteristics, microbiology and outcomes of BSIs in patients receiving HD from 1 December 2017 to 1 December 2023 using data from an integrated network of dialysis sites. Descriptive and regression analyses were conducted, as well as Kaplan-Meier analysis for survival.</p><p><strong>Results: </strong>Of 1461 patients who received HD over the study period, 171 positive blood cultures occurred in 137 patients. Sixty blood cultures (35%) were considered non-significant contaminants, leaving 111 significant BSIs in 97 patients. Patients with BSIs had a median age of 65 years (interquartile range [IQR]: 50-76); 61% were males, with 48% having diabetes mellitus and 57% cardiovascular disease. A high proportion of BSI episodes (66/111, 59%) were determined to be HD access-associated, primarily in patients with central venous catheters (55/111, 50%). The most frequent non-HD access-associated sources were intra-abdominal/biliary (9%) and urinary (8%). Staphylococcus aureus (25%) was the most isolated organism, followed by Staphylococcus epidermis (12%). Polymicrobial BSI occurred in 10% of episodes. Median hospitalisation length was 9 days (IQR: 6-15). Mortality at 90 days was high (24%), and on multivariate analysis was associated with increasing age (odds ratio: 1.06 per year [IQR: 1.01-1.10]).</p><p><strong>Conclusion: </strong>BSIs remain a major issue in patients receiving HD, contributing to prolonged hospitalisations and high mortality rates. HD access-associated BSIs account for a substantial proportion of BSIs and remain a pertinent target for intervention.</p>","PeriodicalId":520716,"journal":{"name":"Nephrology (Carlton, Vic.)","volume":"30 9","pages":"e70113"},"PeriodicalIF":1.9000,"publicationDate":"2025-09-01","publicationTypes":"Journal Article","fieldsOfStudy":null,"isOpenAccess":false,"openAccessPdf":"https://www.ncbi.nlm.nih.gov/pmc/articles/PMC12377933/pdf/","citationCount":"0","resultStr":"{\"title\":\"Clinical Characteristics, Microbiology and Outcomes of Bloodstream Infections in Patients Undergoing Haemodialysis-An Australian Network Cohort Study.\",\"authors\":\"Aliya N Bryce, Brett Sobey, Paul Kinsella, Steven Y C Tong, Nigel D Toussaint\",\"doi\":\"10.1111/nep.70113\",\"DOIUrl\":null,\"url\":null,\"abstract\":\"<p><strong>Aim: </strong>This study reviewed the morbidity and mortality of bloodstream infections (BSIs) in patients with kidney failure receiving haemodialysis (HD).</p><p><strong>Methods: </strong>We conducted a retrospective cohort study reviewing clinical characteristics, microbiology and outcomes of BSIs in patients receiving HD from 1 December 2017 to 1 December 2023 using data from an integrated network of dialysis sites. Descriptive and regression analyses were conducted, as well as Kaplan-Meier analysis for survival.</p><p><strong>Results: </strong>Of 1461 patients who received HD over the study period, 171 positive blood cultures occurred in 137 patients. Sixty blood cultures (35%) were considered non-significant contaminants, leaving 111 significant BSIs in 97 patients. Patients with BSIs had a median age of 65 years (interquartile range [IQR]: 50-76); 61% were males, with 48% having diabetes mellitus and 57% cardiovascular disease. A high proportion of BSI episodes (66/111, 59%) were determined to be HD access-associated, primarily in patients with central venous catheters (55/111, 50%). The most frequent non-HD access-associated sources were intra-abdominal/biliary (9%) and urinary (8%). Staphylococcus aureus (25%) was the most isolated organism, followed by Staphylococcus epidermis (12%). Polymicrobial BSI occurred in 10% of episodes. Median hospitalisation length was 9 days (IQR: 6-15). Mortality at 90 days was high (24%), and on multivariate analysis was associated with increasing age (odds ratio: 1.06 per year [IQR: 1.01-1.10]).</p><p><strong>Conclusion: </strong>BSIs remain a major issue in patients receiving HD, contributing to prolonged hospitalisations and high mortality rates. HD access-associated BSIs account for a substantial proportion of BSIs and remain a pertinent target for intervention.</p>\",\"PeriodicalId\":520716,\"journal\":{\"name\":\"Nephrology (Carlton, Vic.)\",\"volume\":\"30 9\",\"pages\":\"e70113\"},\"PeriodicalIF\":1.9000,\"publicationDate\":\"2025-09-01\",\"publicationTypes\":\"Journal Article\",\"fieldsOfStudy\":null,\"isOpenAccess\":false,\"openAccessPdf\":\"https://www.ncbi.nlm.nih.gov/pmc/articles/PMC12377933/pdf/\",\"citationCount\":\"0\",\"resultStr\":null,\"platform\":\"Semanticscholar\",\"paperid\":null,\"PeriodicalName\":\"Nephrology (Carlton, Vic.)\",\"FirstCategoryId\":\"1085\",\"ListUrlMain\":\"https://doi.org/10.1111/nep.70113\",\"RegionNum\":0,\"RegionCategory\":null,\"ArticlePicture\":[],\"TitleCN\":null,\"AbstractTextCN\":null,\"PMCID\":null,\"EPubDate\":\"\",\"PubModel\":\"\",\"JCR\":\"\",\"JCRName\":\"\",\"Score\":null,\"Total\":0}","platform":"Semanticscholar","paperid":null,"PeriodicalName":"Nephrology (Carlton, Vic.)","FirstCategoryId":"1085","ListUrlMain":"https://doi.org/10.1111/nep.70113","RegionNum":0,"RegionCategory":null,"ArticlePicture":[],"TitleCN":null,"AbstractTextCN":null,"PMCID":null,"EPubDate":"","PubModel":"","JCR":"","JCRName":"","Score":null,"Total":0}
引用次数: 0

摘要

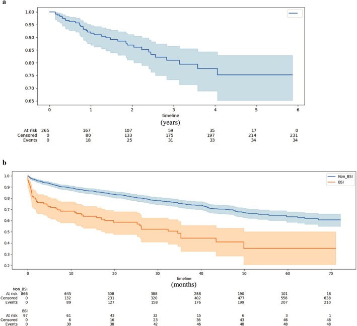
目的:本研究回顾了血液透析(HD)肾衰竭患者血液感染(bsi)的发病率和死亡率。方法:我们进行了一项回顾性队列研究,回顾了2017年12月1日至2023年12月1日HD患者bsi的临床特征、微生物学和结局,使用了透析站点综合网络的数据。进行描述性分析和回归分析,以及Kaplan-Meier生存分析。结果:在研究期间接受HD治疗的1461例患者中,137例患者中有171例血培养阳性。60个血培养(35%)被认为是不显著的污染物,在97名患者中留下111个显著的bsi。bsi患者的中位年龄为65岁(四分位数间距[IQR]: 50-76);61%为男性,其中48%患有糖尿病,57%患有心血管疾病。高比例的BSI发作(66/111,59%)被确定与HD通路相关,主要发生在使用中心静脉导管的患者(55/111,50%)。最常见的非hd通路相关来源是腹腔/胆道(9%)和泌尿(8%)。金黄色葡萄球菌(25%)是分离最多的细菌,其次是表皮葡萄球菌(12%)。多微生物性BSI发生率为10%。中位住院时间为9天(IQR: 6-15)。90天死亡率高(24%),多变量分析显示与年龄增加有关(比值比:1.06 /年[IQR: 1.01-1.10])。结论:bsi仍然是HD患者的主要问题,导致住院时间延长和死亡率高。与高清接入相关的脑损伤占脑损伤的很大比例,仍然是干预的相关目标。
本文章由计算机程序翻译,如有差异,请以英文原文为准。

Clinical Characteristics, Microbiology and Outcomes of Bloodstream Infections in Patients Undergoing Haemodialysis-An Australian Network Cohort Study.

Clinical Characteristics, Microbiology and Outcomes of Bloodstream Infections in Patients Undergoing Haemodialysis-An Australian Network Cohort Study.

Clinical Characteristics, Microbiology and Outcomes of Bloodstream Infections in Patients Undergoing Haemodialysis-An Australian Network Cohort Study.

Aim: This study reviewed the morbidity and mortality of bloodstream infections (BSIs) in patients with kidney failure receiving haemodialysis (HD).

Methods: We conducted a retrospective cohort study reviewing clinical characteristics, microbiology and outcomes of BSIs in patients receiving HD from 1 December 2017 to 1 December 2023 using data from an integrated network of dialysis sites. Descriptive and regression analyses were conducted, as well as Kaplan-Meier analysis for survival.

Results: Of 1461 patients who received HD over the study period, 171 positive blood cultures occurred in 137 patients. Sixty blood cultures (35%) were considered non-significant contaminants, leaving 111 significant BSIs in 97 patients. Patients with BSIs had a median age of 65 years (interquartile range [IQR]: 50-76); 61% were males, with 48% having diabetes mellitus and 57% cardiovascular disease. A high proportion of BSI episodes (66/111, 59%) were determined to be HD access-associated, primarily in patients with central venous catheters (55/111, 50%). The most frequent non-HD access-associated sources were intra-abdominal/biliary (9%) and urinary (8%). Staphylococcus aureus (25%) was the most isolated organism, followed by Staphylococcus epidermis (12%). Polymicrobial BSI occurred in 10% of episodes. Median hospitalisation length was 9 days (IQR: 6-15). Mortality at 90 days was high (24%), and on multivariate analysis was associated with increasing age (odds ratio: 1.06 per year [IQR: 1.01-1.10]).

Conclusion: BSIs remain a major issue in patients receiving HD, contributing to prolonged hospitalisations and high mortality rates. HD access-associated BSIs account for a substantial proportion of BSIs and remain a pertinent target for intervention.

求助全文
通过发布文献求助,成功后即可免费获取论文全文。 去求助
来源期刊
自引率
0.00%
发文量
0
×
引用
GB/T 7714-2015
复制
MLA
复制
APA
复制
导出至
BibTeX EndNote RefMan NoteFirst NoteExpress
×
提示
您的信息不完整,为了账户安全,请先补充。
现在去补充
×
提示
您因"违规操作"
具体请查看互助需知
我知道了
×
提示
确定
请完成安全验证×
copy
已复制链接
快去分享给好友吧!
我知道了
右上角分享
点击右上角分享
0
联系我们:info@booksci.cn Book学术提供免费学术资源搜索服务,方便国内外学者检索中英文文献。致力于提供最便捷和优质的服务体验。 Copyright © 2023 布克学术 All rights reserved.
京ICP备2023020795号-1
ghs 京公网安备 11010802042870号
Book学术文献互助
Book学术文献互助群
群 号:604180095
Book学术官方微信