基于白蛋白的复合指标对吸入性肺炎患者死亡率的预测能力。

IF 0.9
Northern clinics of Istanbul Pub Date : 2025-06-13 eCollection Date: 2025-01-01 DOI:10.14744/nci.2024.70298
Burcu Akkok, Fulsen Bozkus, Nurhan Atilla, Hasan Kahraman
{"title":"基于白蛋白的复合指标对吸入性肺炎患者死亡率的预测能力。","authors":"Burcu Akkok, Fulsen Bozkus, Nurhan Atilla, Hasan Kahraman","doi":"10.14744/nci.2024.70298","DOIUrl":null,"url":null,"abstract":"<p><strong>Objective: </strong>The incidence of aspiration pneumonia (AP) is rising due to an increasing population with chronic conditions. This study investigates the association between albumin-based composite indicators-blood urea nitrogen/albumin (B/A), lactate dehydrogenase/albumin (L/A), and C-reactive protein/albumin (C/A) ratios-and AP-related mortality.</p><p><strong>Methods: </strong>In this retrospective study, adult patients diagnosed with AP between 2022 and 2023 were analyzed. Patients' demographics, clinical data, and lab results were recorded. Albumin-based composite indicators were calculated, and outcomes were observed up to 28 days post-admission, categorizing patients as survivors or non-survivors.</p><p><strong>Results: </strong>The study involved 67 patients, with a median age of 80. The 28-day mortality rate was 38.8% (n=26). There were no substantial demographic or clinical differences between survivors and non-survivors (p>0.05). However, non-survivors exhibited notably lower serum albumin levels (p>0.001). Additionally, B/A and C/A ratios were significantly higher in non-survivors (p<0.05). B/A ratios above 1.03 and C/A ratios above 6.15 correlated significantly with mortality (p=0.023 and p=0.026).</p><p><strong>Conclusion: </strong>The results indicate that lower serum albumin levels and higher B/A and C/A ratios are significantly linked to AP-induced mortality. These albumin-based indicators may serve as useful markers for early risk assessment and outcome prediction in AP patients.</p>","PeriodicalId":94347,"journal":{"name":"Northern clinics of Istanbul","volume":"12 3","pages":"298-306"},"PeriodicalIF":0.9000,"publicationDate":"2025-06-13","publicationTypes":"Journal Article","fieldsOfStudy":null,"isOpenAccess":false,"openAccessPdf":"https://www.ncbi.nlm.nih.gov/pmc/articles/PMC12365478/pdf/","citationCount":"0","resultStr":"{\"title\":\"The predictive power of albumin-based composite indicators for mortality in patients with aspiration pneumonia.\",\"authors\":\"Burcu Akkok, Fulsen Bozkus, Nurhan Atilla, Hasan Kahraman\",\"doi\":\"10.14744/nci.2024.70298\",\"DOIUrl\":null,\"url\":null,\"abstract\":\"<p><strong>Objective: </strong>The incidence of aspiration pneumonia (AP) is rising due to an increasing population with chronic conditions. This study investigates the association between albumin-based composite indicators-blood urea nitrogen/albumin (B/A), lactate dehydrogenase/albumin (L/A), and C-reactive protein/albumin (C/A) ratios-and AP-related mortality.</p><p><strong>Methods: </strong>In this retrospective study, adult patients diagnosed with AP between 2022 and 2023 were analyzed. Patients' demographics, clinical data, and lab results were recorded. Albumin-based composite indicators were calculated, and outcomes were observed up to 28 days post-admission, categorizing patients as survivors or non-survivors.</p><p><strong>Results: </strong>The study involved 67 patients, with a median age of 80. The 28-day mortality rate was 38.8% (n=26). There were no substantial demographic or clinical differences between survivors and non-survivors (p>0.05). However, non-survivors exhibited notably lower serum albumin levels (p>0.001). Additionally, B/A and C/A ratios were significantly higher in non-survivors (p<0.05). B/A ratios above 1.03 and C/A ratios above 6.15 correlated significantly with mortality (p=0.023 and p=0.026).</p><p><strong>Conclusion: </strong>The results indicate that lower serum albumin levels and higher B/A and C/A ratios are significantly linked to AP-induced mortality. These albumin-based indicators may serve as useful markers for early risk assessment and outcome prediction in AP patients.</p>\",\"PeriodicalId\":94347,\"journal\":{\"name\":\"Northern clinics of Istanbul\",\"volume\":\"12 3\",\"pages\":\"298-306\"},\"PeriodicalIF\":0.9000,\"publicationDate\":\"2025-06-13\",\"publicationTypes\":\"Journal Article\",\"fieldsOfStudy\":null,\"isOpenAccess\":false,\"openAccessPdf\":\"https://www.ncbi.nlm.nih.gov/pmc/articles/PMC12365478/pdf/\",\"citationCount\":\"0\",\"resultStr\":null,\"platform\":\"Semanticscholar\",\"paperid\":null,\"PeriodicalName\":\"Northern clinics of Istanbul\",\"FirstCategoryId\":\"1085\",\"ListUrlMain\":\"https://doi.org/10.14744/nci.2024.70298\",\"RegionNum\":0,\"RegionCategory\":null,\"ArticlePicture\":[],\"TitleCN\":null,\"AbstractTextCN\":null,\"PMCID\":null,\"EPubDate\":\"2025/1/1 0:00:00\",\"PubModel\":\"eCollection\",\"JCR\":\"\",\"JCRName\":\"\",\"Score\":null,\"Total\":0}","platform":"Semanticscholar","paperid":null,"PeriodicalName":"Northern clinics of Istanbul","FirstCategoryId":"1085","ListUrlMain":"https://doi.org/10.14744/nci.2024.70298","RegionNum":0,"RegionCategory":null,"ArticlePicture":[],"TitleCN":null,"AbstractTextCN":null,"PMCID":null,"EPubDate":"2025/1/1 0:00:00","PubModel":"eCollection","JCR":"","JCRName":"","Score":null,"Total":0}
引用次数: 0

摘要

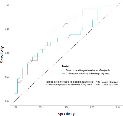
目的:吸入性肺炎(AP)的发病率随着慢性疾病人群的增加而上升。本研究探讨了以白蛋白为基础的复合指标——血尿素氮/白蛋白(B/A)、乳酸脱氢酶/白蛋白(L/A)和C反应蛋白/白蛋白(C/A)比率与ap相关死亡率之间的关系。方法:回顾性分析2022 - 2023年间诊断为AP的成年患者。记录患者的人口统计、临床数据和实验室结果。计算基于白蛋白的复合指标,并观察入院后28天的结果,将患者分为幸存者或非幸存者。结果:该研究涉及67例患者,中位年龄为80岁。28天死亡率为38.8% (n=26)。生存者和非生存者之间没有显著的人口学或临床差异(p < 0.05)。然而,非幸存者表现出明显较低的血清白蛋白水平(p < 0.001)。此外,在非幸存者中,B/A和C/A比率显著较高(p)。结论:结果表明,较低的血清白蛋白水平和较高的B/A和C/A比率与ap诱导的死亡率显著相关。这些基于白蛋白的指标可以作为AP患者早期风险评估和预后预测的有用标记。
本文章由计算机程序翻译,如有差异,请以英文原文为准。

The predictive power of albumin-based composite indicators for mortality in patients with aspiration pneumonia.

The predictive power of albumin-based composite indicators for mortality in patients with aspiration pneumonia.

Objective: The incidence of aspiration pneumonia (AP) is rising due to an increasing population with chronic conditions. This study investigates the association between albumin-based composite indicators-blood urea nitrogen/albumin (B/A), lactate dehydrogenase/albumin (L/A), and C-reactive protein/albumin (C/A) ratios-and AP-related mortality.

Methods: In this retrospective study, adult patients diagnosed with AP between 2022 and 2023 were analyzed. Patients' demographics, clinical data, and lab results were recorded. Albumin-based composite indicators were calculated, and outcomes were observed up to 28 days post-admission, categorizing patients as survivors or non-survivors.

Results: The study involved 67 patients, with a median age of 80. The 28-day mortality rate was 38.8% (n=26). There were no substantial demographic or clinical differences between survivors and non-survivors (p>0.05). However, non-survivors exhibited notably lower serum albumin levels (p>0.001). Additionally, B/A and C/A ratios were significantly higher in non-survivors (p<0.05). B/A ratios above 1.03 and C/A ratios above 6.15 correlated significantly with mortality (p=0.023 and p=0.026).

Conclusion: The results indicate that lower serum albumin levels and higher B/A and C/A ratios are significantly linked to AP-induced mortality. These albumin-based indicators may serve as useful markers for early risk assessment and outcome prediction in AP patients.

求助全文
通过发布文献求助,成功后即可免费获取论文全文。 去求助
来源期刊
自引率
0.00%
发文量
0
×
引用
GB/T 7714-2015
复制
MLA
复制
APA
复制
导出至
BibTeX EndNote RefMan NoteFirst NoteExpress
×
提示
您的信息不完整,为了账户安全,请先补充。
现在去补充
×
提示
您因"违规操作"
具体请查看互助需知
我知道了
×
提示
确定
请完成安全验证×
copy
已复制链接
快去分享给好友吧!
我知道了
右上角分享
点击右上角分享
0
联系我们:info@booksci.cn Book学术提供免费学术资源搜索服务,方便国内外学者检索中英文文献。致力于提供最便捷和优质的服务体验。 Copyright © 2023 布克学术 All rights reserved.
京ICP备2023020795号-1
ghs 京公网安备 11010802042870号
Book学术文献互助
Book学术文献互助群
群 号:604180095
Book学术官方微信